一级a片在线观看 電磁流量計的三維可視化研究-江蘇省霸展包装机械有限公司
;                  
                   
          首(shou)   頁  公(gong)司簡(jian)介  産(chan)品中(zhong)心  質(zhi)量體(ti)系  銷(xiao)售網(wang)絡  聯(lian)系我(wo)們
 
  溫(wen)度儀(yi)表系(xi)列
  壓(ya)力儀(yi)表系(xi)列
  流(liu)量儀(yi)表系(xi)列
  校(xiao)驗儀(yi)表系(xi)列
  顯(xian)示儀(yi)表系(xi)列
  變(bian)送器(qi)儀表(biao)系列(lie)
  電線(xian)電纜(lan)系列(lie)
 
  電磁(ci)流量(liang)計的(de)工🐕一级a片在线观看🌈作(zuo)原理(li)
  氧化(hua)锆氧(yang)傳感(gan)器的(de)原理(li)及應(ying)用
  有(you)害氣(qi)體檢(jian)測報(bao)警儀(yi)選用(yong)原則(ze)
  我國(guo)計量(liang)用儀(yi)器儀(yi)表的(de)發展(zhan)和現(xian)狀
  國(guo)内儀(yi)器儀(yi)表行(hang)業将(jiang)發生(sheng)高科(ke)....
  西安(an)交大(da)研制(zhi)出超(chao)高溫(wen)沖擊(ji)壓....
采(cai)用半(ban)導體(ti)精密(mi)溫度(du)傳感(gan)......
 
  簡述(shu)幾種(zhong)氣體(ti)檢測(ce)傳感(gan)器.....
  利(li)用傳(chuan)感器(qi)技術(shu)制造(zao)智能(neng)服裝(zhuang)
  新型(xing)傳感(gan)器監(jian)控魚(yu)群數(shu)量
 
 
聯(lian)系方(fang)式
 電(dian)話(市(shi)場部(bu)):  
       
        
   (拓展(zhan)部):
 傳(chuan)真:
 節(jie)假日(ri)商務(wu)聯系(xi)電話(hua):
 何經(jing)理:
 劉(liu)經理(li):
 網址(zhi):/
    http://banyunshe.cc/
 E-mail:[email protected]
 地址(zhi):江蘇(su)省金(jin)湖縣(xian)工業(ye)園區(qu)環城(cheng)西
 路(lu)269号
 您(nin)現在(zai)的位(wei)置 > 首(shou)頁 > 行(hang)業新(xin)聞 > 大(da)口徑(jing)流量(liang)計在(zai)線校(xiao)準實(shi)踐
     

大(da)口徑(jing)流量(liang)計在(zai)線校(xiao)準實(shi)踐
發(fa)布時(shi)間:2025-11-26

[摘(zhai)要]文(wen)章主(zhu)要介(jie)紹中(zhong)國城(cheng)鎮供(gong)水排(pai)水協(xie)會設(she)備委(wei)組織(zhi)♋、國家(jia)🌈水大(da)流量(liang)計量(liang)站主(zhu)持實(shi)施、全(quan)國六(liu)家單(dan)位共(gong)同參(can)與的(de)一項(xiang)實驗(yan),實驗(yan)中各(ge)參與(yu)單位(wei)攜🍉帶(dai)各自(zi)的 便(bian)攜式(shi)超聲(sheng)流量(liang)計 至(zhi)國家(jia)站進(jin)行定(ding)點校(xiao)準,然(ran)後至(zhi)事先(xian)選定(ding)的被(bei)校表(biao)(管道(dao)式電(dian)磁流(liu)量計(ji))所在(zai)地,輸(shu)入定(ding)點校(xiao)準得(de)到的(de)修正(zheng)系數(shu),分别(bie)對被(bei)校表(biao)進行(hang)校準(zhun)。通過(guo)校準(zhun)結果(guo)分析(xi),使用(yong)校準(zhun)合格(ge)的便(bian)攜式(shi)超聲(sheng)流量(liang)計作(zuo)爲标(biao)準表(biao)對 管(guan)道式(shi)電磁(ci)流量(liang)計 進(jin)行在(zai)線校(xiao)準是(shi)一種(zhong)可行(hang)的方(fang)法。在(zai)線校(xiao)準大(da)口徑(jing)流量(liang)計的(de)‼️實驗(yan)驗證(zheng)
  大口(kou)徑流(liu)量計(ji) 在線(xian)校準(zhun)是流(liu)量計(ji)量領(ling)域一(yi)個亟(ji)待解(jie)決的(de)技術(shu)難㊙️題(ti),由中(zhong)國城(cheng)鎮供(gong)排水(shui)協會(hui)設備(bei)委組(zu)織,國(guo)家水(shui)大流(liu)量計(ji)量站(zhan)主持(chi)對這(zhe)🌏一課(ke)題進(jin)行了(le)實驗(yan)驗證(zheng),以期(qi)用實(shi)驗結(jie)🍉果證(zheng)明👈采(cai)用便(bian)攜式(shi)液體(ti)超聲(sheng)流量(liang)🏃🏻計對(dui)在線(xian)使用(yong)的大(da)口徑(jing)流量(liang)計進(jin)行校(xiao)準的(de)可行(hang)性。
1實(shi)驗背(bei)景
  随(sui)着水(shui)資源(yuan)的日(ri)趨緊(jin)張,水(shui)計量(liang)問題(ti)日顯(xian)突出(chu),大口(kou)徑流(liu)🐆量計(ji)的在(zai)線校(xiao)準問(wen)題成(cheng)了人(ren)們關(guan)注的(de)熱☁️點(dian)。
  由于(yu)在線(xian)使用(yong)的大(da)口徑(jing)流量(liang)計拆(chai)裝困(kun)難,難(nan)以做(zuo)🔅到在(zai)不影(ying)響🈲正(zheng)常供(gong)水情(qing)況下(xia)進行(hang)送檢(jian),因此(ci)超過(guo)檢定(ding)周期(qi)的流(liu)量計(ji)🐅使用(yong)♊準确(que)度難(nan)以保(bao)證。如(ru)果能(neng)在不(bu)影響(xiang)正常(chang)😄供水(shui)的情(qing)況下(xia),對這(zhe)些流(liu)量計(ji)進行(hang)在線(xian)校準(zhun)♊,對于(yu)加強(qiang)水資(zi)源管(guan)理、提(ti)高流(liu)量計(ji)的計(ji)量管(guan)理水(shui)平有(you)着十(shi)分重(zhong)要的(de)意義(yi)。因此(ci)供水(shui)行業(ye)🐉對編(bian)制一(yi)個關(guan)于大(da)口徑(jing)流量(liang)計在(zai)線校(xiao)準要(yao)🏃🏻求的(de)國家(jia)行業(ye)标準(zhun)十📐分(fen)迫切(qie)。
  由中(zhong)國城(cheng)鎮供(gong)水排(pai)水協(xie)會設(she)備委(wei)組織(zhi),國家(jia)水大(da)流量(liang)計量(liang)站與(yu)長春(chun)水務(wu)集團(tuan)有限(xian)責任(ren)公司(si)、廣州(zhou)💞市自(zi)♍來水(shui)公司(si)、大連(lian)自來(lai)水公(gong)司、成(cheng)都自(zi)來水(shui)公司(si)等十(shi)餘個(ge)單位(wei)參加(jia)編寫(xie)我國(guo)城鎮(zhen)建設(she)行業(ye)标準(zhun)CJ/T364—2011《管道(dao)式電(dian)磁流(liu)量計(ji)在線(xian)校準(zhun)🈲要求(qiu)》,該标(biao)準已(yi)于2025年(nian)11月26日(ri)發布(bu),2025年11月(yue)26日起(qi)實施(shi)☎️。起草(cao)期間(jian),爲了(le)有效(xiao)地驗(yan)🎯證用(yong)便攜(xie)式超(chao)✍️聲流(liu)量計(ji)作标(biao)準表(biao)在線(xian)校準(zhun)電磁(ci)🧡流量(liang)計的(de)可行(hang)性,組(zu)織實(shi)施了(le)一個(ge)大型(xing)實驗(yan)。
2實驗(yan)方案(an)
  采用(yong)自願(yuan)報名(ming)的方(fang)式組(zu)織來(lai)自全(quan)國不(bu)同地(di)區的(de)六家(jia)單位(wei),使用(yong)他們(men)自用(yong)的便(bian)攜式(shi)超聲(sheng)流量(liang)計參(can)與實(shi)驗,各(ge)💘單位(wei)的超(chao)♋聲流(liu)量計(ji)生産(chan)廠家(jia)、型号(hao)及使(shi)🌂用年(nian)限均(jun)不相(xiang)同,保(bao)證🐪實(shi)驗樣(yang)本具(ju)有代(dai)表性(xing)。被校(xiao)表選(xuan)擇台(tai)管道(dao)條件(jian)符合(he)CJ/T364—2011《管道(dao)♍式電(dian)磁流(liu)量計(ji)在線(xian)校準(zhun)要求(qiu)》的在(zai)線使(shi)用的(de)電磁(ci)流量(liang)計。該(gai)流量(liang)計常(chang)用流(liu)量爲(wei):2500m3/h,管👈道(dao)内徑(jing)爲:DN1000。
3實(shi)驗步(bu)驟
(1)将(jiang)六台(tai)作爲(wei)标準(zhun)表使(shi)用的(de)超聲(sheng)流量(liang)計彙(hui)集到(dao)國家(jia)水🐇大(da)流量(liang)計量(liang)站,依(yi)次安(an)裝在(zai)DN1000水流(liu)量标(biao)準裝(zhuang)置上(shang)進行(hang)定點(dian)(2500m3/h)校準(zhun),每台(tai)流量(liang)計均(jun)在該(gai)流量(liang)點重(zhong)複校(xiao)準6遍(bian),确定(ding)每台(tai)标準(zhun)表的(de)修正(zheng)系數(shu)及重(zhong)複性(xing)。
  國家(jia)水大(da)流量(liang)計量(liang)站是(shi)由國(guo)家質(zhi)量監(jian)督檢(jian)驗檢(jian)疫總(zong)局1990年(nian)授權(quan)建立(li)國家(jia)級法(fa)定計(ji)量檢(jian)定機(ji)構,承(cheng)擔全(quan)國範(fan)圍内(nei)🏃🏻大口(kou)徑水(shui)流量(liang)儀表(biao)的檢(jian)定、校(xiao)準和(he)🚶檢測(ce)任👣務(wu)。
  該站(zhan)流量(liang)實驗(yan)室擁(yong)有世(shi)界最(zui)大的(de)恒水(shui)頭(溢(yi)流水(shui)塔式(shi))靜♍态(tai)容積(ji)法水(shui)流量(liang)标準(zhun)裝置(zhi),裝置(zhi)準确(que)度等(deng)級爲(wei)☎️0.1級,最(zui)🤟大組(zu)合供(gong)水能(neng)力達(da)到18000m3/h,常(chang)設管(guan)線有(you)DN300、DN400、DN500、DN600、DN800、DN1000,通過(guo)更換(huan)管道(dao)可對(dui)DN200~DN3000口徑(jing)範圍(wei)内的(de)各類(lei)流量(liang)儀表(biao)進行(hang)檢定(ding)和校(xiao)準。
因(yin)此标(biao)準表(biao)的校(xiao)準工(gong)作選(xuan)定在(zai)國家(jia)水大(da)流量(liang)計量(liang)站流(liu)量實(shi)驗室(shi)進行(hang)。
(2)标準(zhun)表校(xiao)準完(wan)成後(hou)實驗(yan)小組(zu)全體(ti)實驗(yan)人員(yuan)攜帶(dai)流❌量(liang)計乘(cheng)飛機(ji)抵達(da)選定(ding)的被(bei)校表(biao)所在(zai)地。被(bei)校表(biao)✨的數(shu)🥵據由(you)國家(jia)水大(da)流量(liang)計量(liang)站技(ji)術人(ren)員負(fu)責記(ji)錄,其(qi)他實(shi)驗人(ren)員在(zai)實驗(yan)結束(shu)前均(jun)不㊙️得(de)進入(ru)被校(xiao)表轉(zhuan)換器(qi)所在(zai)房間(jian),因此(ci)保證(zheng)了六(liu)家參(can)試單(dan)位均(jun)💁是在(zai)盲測(ce)條件(jian)下對(dui)這台(tai)🈲在線(xian)使用(yong)的流(liu)量計(ji)進行(hang)校準(zhun)。各參(can)試單(dan)位按(an)照事(shi)先安(an)📐排的(de)順序(xu)單獨(du)進入(ru)儀表(biao)井對(dui)管線(xian)進行(hang)流量(liang)測量(liang),測量(liang)結果(guo)交國(guo)家水(shui)大流(liu)量計(ji)量站(zhan)實驗(yan)人員(yuan)保管(guan),不得(de)向其(qi)它單(dan)位告(gao)知測(ce)量結(jie)果。全(quan)部實(shi)驗完(wan)成後(hou)㊙️由國(guo)家水(shui)大流(liu)💘量計(ji)量站(zhan)技術(shu)人員(yuan)彙總(zong)實驗(yan)數據(ju)。
4實驗(yan)實施(shi)
4.1在實(shi)驗室(shi)校準(zhun)标準(zhun)表(超(chao)聲流(liu)量計(ji))具體(ti)方法(fa)
(1)參試(shi)人員(yuan)攜帶(dai)便攜(xie)式超(chao)聲流(liu)量計(ji)至國(guo)家水(shui)大流(liu)量計(ji)量😍站(zhan)🏃🏻。
(2)将參(can)加實(shi)驗單(dan)位編(bian)号爲(wei):01~06。标準(zhun)表編(bian)号也(ye)與其(qi)一緻(zhi)。
(3)各實(shi)驗單(dan)位實(shi)驗人(ren)員在(zai)DN1000管線(xian)上安(an)裝各(ge)自攜(xie)帶的(de)超聲(sheng)流量(liang)計并(bing)調試(shi)信号(hao)。
(4)檢查(cha)設備(bei)運行(hang)情況(kuang),查看(kan)實驗(yan)室環(huan)境條(tiao)件和(he)流量(liang)計的(de)信息(xi)并記(ji)錄。
(5)确(que)認被(bei)校準(zhun)超聲(sheng)流量(liang)計狀(zhuang)态正(zheng)常,實(shi)驗裝(zhuang)置運(yun)行穩(wen)定後(hou),開💯始(shi)實驗(yan)。
(6)實驗(yan)在2500m3/h流(liu)量點(dian)校準(zhun)6次。調(diao)節後(hou)的流(liu)量與(yu)實驗(yan)流量(liang)相比(bi),其偏(pian)離應(ying)不超(chao)過±5%。
(7)流(liu)量點(dian)調節(jie)完成(cheng)後,待(dai)壓力(li)、溫度(du)、流量(liang)穩定(ding)後開(kai)始校(xiao)🈲準。
(8)每(mei)次校(xiao)準至(zhi)少采(cai)集20次(ci)儀表(biao)示值(zhi),取其(qi)平均(jun)值作(zuo)爲該(gai)🌐次🔆校(xiao)準的(de)儀表(biao)示值(zhi)。
(9)校準(zhun)過程(cheng)中,校(xiao)準人(ren)員參(can)照JJG1030—2007《超(chao)聲流(liu)量計(ji)》的要(yao)求工(gong)作,并(bing)認✂️真(zhen)填寫(xie)“超聲(sheng)流量(liang)計校(xiao)準原(yuan)始記(ji)錄”。
(10)校(xiao)準結(jie)束後(hou),校準(zhun)人員(yuan)處理(li)原始(shi)數據(ju),計算(suan)修正(zheng)系數(shu)并出(chu)🈲具校(xiao)準證(zheng)書。具(ju)體數(shu)據見(jian)表1。
4.2管(guan)道式(shi)電磁(ci)流量(liang)計在(zai)線校(xiao)準實(shi)驗的(de)具體(ti)方法(fa)
(1)各單(dan)位實(shi)驗人(ren)員攜(xie)帶定(ding)點校(xiao)準的(de)超聲(sheng)流量(liang)計赴(fu)事先(xian)🔅選定(ding)的在(zai)線被(bei)校表(biao)所在(zai)地。
(2)各(ge)單位(wei)實驗(yan)人員(yuan)到達(da)在線(xian)校準(zhun)地點(dian)———某水(shui)廠計(ji)量井(jing)僅負(fu)☀️責各(ge)自标(biao)準表(biao)。被校(xiao)表由(you)國家(jia)水大(da)流量(liang)計量(liang)站實(shi)驗人(ren)員負(fu)責記(ji)錄。數(shu)據對(dui)其他(ta)實驗(yan)人員(yuan)保密(mi)。
(3)參加(jia)實驗(yan)單位(wei)在各(ge)自的(de)超聲(sheng)流量(liang)計中(zhong)輸入(ru)定點(dian)校準(zhun)後的(de)修正(zheng)系數(shu),并按(an)照實(shi)驗單(dan)位01~06的(de)順序(xu)進行(hang)在線(xian)🤞校準(zhun)DN1000電磁(ci)流量(liang)計的(de)工作(zuo)。
(4)在線(xian)校準(zhun)過程(cheng)中,實(shi)驗人(ren)員負(fu)責記(ji)錄各(ge)自流(liu)量計(ji)的✊示(shi)值(标(biao)👉準表(biao)示值(zhi)),不得(de)向其(qi)他實(shi)驗人(ren)員告(gao)知自(zi)己的(de)測量(liang)🌍結果(guo)。
(5)校準(zhun)完成(cheng)後,國(guo)家水(shui)大流(liu)量計(ji)量站(zhan)校準(zhun)人員(yuan)負責(ze)處理(li)數據(ju)并進(jin)行彙(hui)總、統(tong)計。具(ju)體數(shu)據見(jian)表2。
5實(shi)驗結(jie)果
(1)各(ge)實驗(yan)單位(wei)在國(guo)家水(shui)大流(liu)量計(ji)量站(zhan)流量(liang)實驗(yan)室進(jin)行定(ding)點📱校(xiao)準的(de)超聲(sheng)流量(liang)計數(shu)據彙(hui)總表(biao)1.

(2)經定(ding)點校(xiao)準的(de)超聲(sheng)流量(liang)計在(zai)線校(xiao)準 DN1000電(dian)磁流(liu)量計(ji) 的數(shu)據彙(hui)總表(biao)2。

(3)結果(guo)分析(xi)
對測(ce)量結(jie)果的(de)評定(ding):
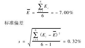
所有(you)各單(dan)位平(ping)均誤(wu)差

按(an)置信(xin)概率(lü)95%應該(gai)保證(zheng):上述(shu)各次(ci)校準(zhun)的相(xiang)對示(shi)值誤(wu)差與(yu)平均(jun)誤差(cha)的差(cha)不應(ying)超過(guo)區間(jian)容許(xu)值Emax=t95s=2.57×0.32%=0.82%
所(suo)以,各(ge)校準(zhun)誤差(cha)的允(yun)許區(qu)間爲(wei)
上所(suo)校誤(wu)差均(jun)在此(ci)區間(jian)内,故(gu)本次(ci)校準(zhun)結果(guo)有效(xiao)。
6結論(lun)
  經過(guo)數據(ju)統計(ji)分析(xi),參加(jia)實驗(yan)的6台(tai)超聲(sheng)流量(liang)計其(qi)在線(xian)校準(zhun)誤👅差(cha)大口(kou)徑流(liu)量計(ji)在按(an)置信(xin)概率(lü)95%計算(suan)的允(yun)❄️許區(qu)間-7.82%-6.17%内(nei)。因此(ci),使用(yong)🏃🏻‍♂️校準(zhun)合格(ge)的便(bian)攜式(shi)超聲(sheng)📞流量(liang)計作(zuo)爲标(biao)準表(biao)對管(guan)道式(shi)電磁(ci)流量(liang)計進(jin)行在(zai)👉線校(xiao)準是(shi)一種(zhong)可行(hang)的方(fang)法。

以(yi)上内(nei)容來(lai)源于(yu)網絡(luo),如有(you)侵權(quan)請聯(lian)系即(ji)删除(chu)!

下篇(pian)文章(zhang): 亞臨(lin)界汽(qi)水兩(liang)相流(liu)量計(ji)在注(zhu)汽爐(lu)中應(ying)用 上(shang)篇文(wen)章 電(dian)磁流(liu)量計(ji)的三(san)維可(ke)視化(hua)研究(jiu)
 
江蘇(su)省霸展包装机械有限公司是(shi)一家(jia)專業(ye)提供(gong) 渦街(jie)流量(liang)計 渦(wo)輪流(liu)量計(ji) 電磁(ci)流量(liang)計 的(de)企業(ye),公司(si)将以(yi)優質(zhi)的服(fu)務優(you)惠的(de)價格(ge),服務(wu)新老(lao)客戶(hu)。
 版權(quan)所有(you):江蘇(su)省霸展包装机械有限公司     技(ji)術支(zhi)持易(yi)品網(wang)絡

·
·
·