亚洲黄色网址 電站鍋爐管道流量計常見問題分析-江蘇省霸展包装机械有限公司

 

;                  
                   
        首   頁│  公(gong)司簡介(jie)  産品中(zhong)心  質量(liang)體系  銷(xiao)售網絡(luo)  聯系我(wo)們
 
  溫度(du)儀表系(xi)列
  壓力(li)儀表系(xi)列
  流量(liang)儀表系(xi)列
  校驗(yan)儀表系(xi)列
  顯示(shi)儀表系(xi)列
  變送(song)器儀表(biao)系列
  電(dian)線電纜(lan)系列
 
  電(dian)磁流量(liang)計的工(gong)作原理(li)🏃🏻亚洲黄色网址㊙️
  氧化锆(gao)氧傳感(gan)器的原(yuan)理及應(ying)用
  有害(hai)氣體檢(jian)測報警(jing)儀選用(yong)原則
我(wo)國計量(liang)用儀器(qi)儀表的(de)發展和(he)現狀
  國(guo)内儀器(qi)儀表行(hang)業将發(fa)生高科(ke)....
  西安交(jiao)大研制(zhi)出超高(gao)溫沖擊(ji)壓....
  采用(yong)半導體(ti)精密溫(wen)度傳感(gan)......
  智能溫(wen)度傳感(gan)器的發(fa)展趨勢(shi)
  簡述幾(ji)種氣體(ti)檢測傳(chuan)感器.....
  利(li)用傳感(gan)器技術(shu)制造智(zhi)能服裝(zhuang)
  新型傳(chuan)感器監(jian)控魚群(qun)數量
 
 
聯(lian)系方式(shi)
  電話(市(shi)場部):  
      
      
   (拓(tuo)展部):
     傳(chuan)真:
  節假(jia)日商務(wu)聯系電(dian)話:
  何經(jing)理:
  劉經(jing)理:
  郵編(bian):211600
 網址:/
    http://banyunshe.cc/
 E-mail:[email protected]
     [email protected]
 地(di)址:江蘇(su)省金湖(hu)縣工業(ye)園區環(huan)城西
 路(lu)269号
  時間(jian):2023-3-28 08:22:40

電站鍋(guo)爐管道(dao)流量計(ji)常見問(wen)題分析(xi)

摘要:電(dian)站鍋爐(lu)管道流(liu)量計 是(shi)鍋爐上(shang)重要的(de)元件組(zu)合裝置(zhi),曾經一(yi)直處于(yu)監管空(kong)白階♊段(duan)。本文首(shou)先介紹(shao)了流量(liang)計的原(yuan)理及常(chang)見結構(gou)。鍋爐管(guan)道上的(de)流量計(ji)主要是(shi) 差壓式(shi)流量計(ji) ,按照結(jie)構的不(bu)同可分(fen)爲:焊接(jie)式、法蘭(lan)式、一體(ti)式和插(cha)入式。然(ran)後🐪介紹(shao)在檢驗(yan)過程中(zhong)發現流(liu)量計存(cun)在的安(an)全隐患(huan),如結構(gou)問題🚶‍♀️、焊(han)接材料(liao)錯用及(ji)流量計(ji)材質錯(cuo)用等。最(zui)後對流(liu)量計的(de)🔞結構、材(cai)㊙️質選擇(ze)、安裝及(ji)監管和(he)檢驗方(fang)面進行(hang)探讨分(fen)析。
  針對(dui)近幾年(nian)電站鍋(guo)爐範圍(wei)内管道(dao)出現的(de)問題,尤(you)其湖北(bei)當陽發(fa)生的主(zhu)蒸汽管(guan)道流量(liang)計焊縫(feng)爆裂事(shi)故,開展(zhan)電站鍋(guo)爐範圍(wei)内管道(dao)隐患專(zhuan)項排查(cha)工作其(qi)中着重(zhong)提到了(le)對于流(liu)量計的(de)相關要(yao)求及補(bu)充檢驗(yan)檢測等(deng)。在此之(zhi)前流量(liang)計的監(jian)管在各(ge)個環⭐節(jie)基本處(chu)于空白(bai)階段,在(zai)515号文之(zhi)後,參與(yu)開展了(le)多家熱(re)電企業(ye)的鍋爐(lu)範圍内(nei)管道流(liu)量計的(de)檢驗工(gong)作,下面(mian)針💋對鍋(guo)爐流量(liang)計存在(zai)的一系(xi)列問題(ti)進行探(tan)讨和分(fen)析。
1電站(zhan)鍋爐常(chang)用流量(liang)計的原(yuan)理及結(jie)構
  電站(zhan)鍋爐範(fan)圍内管(guan)道常用(yong)的流量(liang)計爲差(cha)壓式流(liu)量計,其(qi)原理和(he)結構如(ru)下。
1.1差壓(ya)式流量(liang)計原理(li)
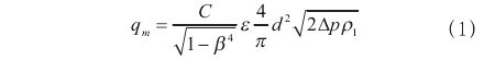
  差壓式(shi)流量計(ji)工作原(yuan)理是基(ji)于封閉(bi)管道中(zhong)流體質(zhi)🌈量🧑🏾‍🤝‍🧑🏼守恒(heng)(連❗續性(xing)方程)和(he)能量守(shou)恒(伯努(nu)利方程(cheng))兩個定(ding)律。根據(ju)GB/T2624.1--2006《用安裝(zhuang)在圓形(xing)截面管(guan)道中的(de)差壓裝(zhuang)置測量(liang)滿管流(liu)體流量(liang)第1部分(fen)🧡:一般原(yuan)理和要(yao)求》中㊙️的(de)規定:以(yi)一次裝(zhuang)置(如孔(kong)闆、噴嘴(zui)、文丘裏(li)管)安裝(zhuang)在👨‍❤️‍👨充滿(man)流體的(de)管線中(zhong)爲依🏃🏻據(ju)确立的(de)。裝人一(yi)次裝置(zhi)後裝置(zhi)的上遊(you)側與喉(hou)部或下(xia)遊側之(zhi)間産生(sheng)一個靜(jing)壓差。根(gen)📱據該壓(ya)📧差的實(shi)測值和(he)流體流(liu)動的特(te)性以💯及(ji)裝置的(de)使用環(huan)💔境,并假(jia)設該裝(zhuang)置與經(jing)過校準(zhun)的一個(ge)裝☔置幾(ji)何相似(si)且使用(yong)條件相(xiang)同就可(ke)以确定(ding)流量。簡(jian)單而言(yan)👅就是根(gen)據流量(liang)與壓差(cha)的關系(xi),通過測(ce)定壓差(cha),從而計(ji)算出流(liu)量,關系(xi)式如下(xia):
 
式中:
qm一(yi)質量流(liu)量;
C一流(liu)出系數(shu);
β一直徑(jing)比;
Ɛ一膨(peng)脹系數(shu);
d--節流孔(kong)或喉部(bu)直徑;
△p一(yi)壓差;
ρ一(yi)流體密(mi)度。
1.2流量(liang)計結構(gou)與特點(dian)
  按照一(yi)次裝置(zhi)的不同(tong),可将流(liu)量計分(fen)爲 孔闆(pan)流量計(ji) 、噴嘴流(liu)量計和(he)文丘裏(li)管流量(liang)計。根據(ju)連接結(jie)構的不(bu)同可分(fen)爲法蘭(lan)式流量(liang)計、焊接(jie)式流量(liang)計和一(yi)體式流(liu)量計。法(fa)蘭式流(liu)量計常(chang)爲孔闆(pan)流量計(ji);焊接式(shi)流量計(ji)又分爲(wei)焊接孔(kong)✊闆和焊(han)接噴嘴(zui)流量計(ji);一體式(shi)流量計(ji)常爲長(zhang)頸噴嘴(zui)流量計(ji)。結構分(fen)别見圖(tu)(1)~圖(3)法蘭(lan)式流量(liang)計常用(yong)于主給(gei)水管道(dao)和低參(can)數鍋爐(lu)的主蒸(zheng)汽管道(dao)🔴,焊接式(shi)流量計(ji)常用于(yu)高壓主(zhu)給水㊙️和(he)主蒸汽(qi)管道,一(yi)體式流(liu)‼️量計主(zhu)要用于(yu)高壓主(zhu)蒸汽管(guan)道”。
 
  除以(yi)上常見(jian)流量計(ji)結構外(wai),近幾年(nian)發展起(qi)來的還(hai)有一種(zhong)插人😄式(shi)流量計(ji),又稱均(jun)速管流(liu)量計,對(dui)在用✂️鍋(guo)爐的檢(jian)🛀驗過程(cheng)中,此種(zhong)♊結構流(liu)量計較(jiao)爲少見(jian)。插人式(shi)流量計(ji)是依據(ju)皮托管(guan)測量原(yuan)理測量(liang)均速管(guan)高、低壓(ya)端的壓(ya)力差,從(cong)而達到(dao)測量流(liu)量的目(mu)的,本質(zhi)上也屬(shu)于⭐差壓(ya)式流量(liang)計,與圓(yuan)柱繞流(liu)原理關(guan)系密切(qie)2,見圖4。此(ci)種結構(gou)相比前(qian)幾💛種流(liu)量計安(an)裝簡便(bian)、壓損小(xiao),且無對(dui)接焊口(kou),但也存(cun)在輸出(chu)壓差低(di)、容易堵(du)塞、還沒(mei)有标準(zhun)化等一(yi)些不足(zu),目前正(zheng)處于發(fa)展過程(cheng)中。
 
2鍋爐(lu)流量計(ji)存在的(de)問題
2.1結(jie)構問題(ti)
  對流量(liang)計(殼體(ti))的結構(gou)要求,原(yuan)則_上應(ying)由整段(duan)無縫鋼(gang)管制🔞成(cheng),不💯得存(cun)在異種(zhong)鋼焊接(jie)的環縫(feng)。特殊情(qing)況需要(yao)使用兩(liang)截✉️管段(duan)用環縫(feng)焊接流(liu)量計(殼(ke)體)的,應(ying)❌經鍋爐(lu)設計文(wen)件鑒定(ding)💘機構書(shu)面同意(yi)。法蘭式(shi)流量計(ji)和焊接(jie)式流量(liang)計❗均有(you)兩截管(guan)段制成(cheng),對于焊(han)接式流(liu)量計在(zai)制造環(huan)節多出(chu)一道焊(han)口,在515号(hao)文之前(qian)✊,既未進(jin)行過監(jian)督檢驗(yan),也無鍋(guo)爐設計(ji)文件鑒(jian)定機構(gou)出具的(de)書面同(tong)意資料(liao),而且有(you)文獻表(biao)面4焊接(jie)式流量(liang)計殼體(ti)與孔闆(pan)焊接的(de)根部位(wei)置存在(zai)較大的(de)🚩應力,因(yin)此焊接(jie)式流量(liang)計此種(zhong)🔞結構存(cun)在一定(ding)的安♉全(quan)隐患。
2.2流(liu)量計焊(han)材錯用(yong)
  流量計(ji)的安裝(zhuang)一般在(zai)鍋爐沖(chong)管結束(shu)後進行(hang),而鍋爐(lu)及🧡四⛷️大(da)🌏管道的(de)檢驗檢(jian)測都已(yi)在吹管(guan)前結束(shu),因此對(dui)在用🌍流(liu)量計的(de)補充檢(jian)驗檢測(ce)應包含(han)流量計(ji)與主蒸(zheng)🧡汽管道(dao)的安裝(zhuang)焊口。515号(hao)文要求(qiu)對在用(yong)電站鍋(guo)爐流量(liang)計合金(jin)鋼材質(zhi)對接接(jie)頭進行(hang)100%化學成(cheng)分💛光譜(pu)分析和(he)硬度檢(jian)測。在一(yi)次主蒸(zheng)汽管道(dao)檢驗工(gong)📱作中,發(fa)現流量(liang)計與主(zhu)蒸汽管(guan)道連接(jie)的兩個(ge)環焊縫(feng)現場光(guang)譜分析(xi)顯示含(han)Cr約20%,含Ni約(yue)10%,屬于奧(ao)氏體焊(han)材。管材(cai)和流量(liang)計材質(zhi)✉️均爲12Cr1MoVG,管(guan)材規格(ge)爲φ219x7mm;工作(zuo)溫度450℃,工(gong)作壓力(li)3.82MPa。
  奧氏體(ti)不鏽鋼(gang)的線膨(peng)脹系數(shu)比12Cr1MoVG高30%~50%,在(zai)高溫條(tiao)件下存(cun)✔️在顯著(zhe)的熱應(ying)力;奧氏(shi)體鋼的(de)彈性模(mo)量較12Cr1MoVG小(xiao)5%左右、屈(qu)🌂服應力(li)低20%~30%,易于(yu)産生彈(dan)塑性變(bian)形,增加(jia)奧氏體(ti)區城的(de)♋應變。采(cai)👄用數值(zhi)模拟的(de)方法模(mo)拟流量(liang)計與主(zhu)蒸汽管(guan)♉道連接(jie)處焊接(jie)接頭的(de)應力水(shui)平,如圖(tu)5顯示450C時(shi)焊接接(jie)頭的熱(re)應力(MISES等(deng)效應力(li),單位Pa)。可(ke)見焊縫(feng)㊙️及其近(jin)鄰區🌂域(yu)🈲普遍存(cun)在較大(da)的熱應(ying)力,且焊(han)縫金屬(shu)的全部(bu)以及母(mu)材.上沿(yan)坡口寬(kuan)約2mm的帶(dai)狀區城(cheng)均産生(sheng)了屈服(fu)。又考慮(lü)到焊縫(feng)金屬和(he)母材🔴的(de)化學成(cheng)分差異(yi)較大,在(zai)高溫條(tiao)⭕件下碳(tan)的遷移(yi)會形成(cheng)擴散✌️遷(qian)移層(脆(cui)化層和(he)軟化層(ceng))I5],增加焊(han)接接頭(tou)開裂的(de)風🏃險。基(ji)于此,對(dui)此流量(liang)計提出(chu)了更換(huan)或修理(li)的建議(yi)。
 
2.3流量計(ji)材質與(yu)主蒸汽(qi)管道材(cai)質不同(tong)
  在檢驗(yan)的過程(cheng)中經常(chang)遇到流(liu)量計材(cai)質與主(zhu)蒸汽管(guan)✏️道材質(zhi)不同的(de)情況,主(zhu)要分爲(wei)以下三(san)種:1)流量(liang)計👉爲碳(tan)鋼(20G),主蒸(zheng)汽💞管道(dao)爲低合(he)金鋼,如(ru)15CrMoG/12Cr1MoVG;2)流量計(ji)爲低合(he)金鋼,主(zhu)蒸汽管(guan)🈲道爲碳(tan)鋼;3)流量(liang)計與主(zhu)蒸汽管(guan)道均爲(wei)低合金(jin)鋼,但材(cai)質不同(tong),如流量(liang)計爲15CrMoG,主(zhu)蒸汽管(guan)道爲12Cr1MoVG,或(huo)反之。
  流(liu)量計殼(ke)體不允(yun)許存在(zai)異種鋼(gang)焊接環(huan)縫,但是(shi)對于流(liu)⛷️量🔴計與(yu)🌐主蒸汽(qi)管道連(lian)接焊縫(feng)未做具(ju)體要求(qiu)🔆。基于在(zai)檢驗中(zhong)✔️發現的(de)問㊙️題,流(liu)量計與(yu)主蒸汽(qi)管道連(lian)接焊縫(feng)往往更(geng)容易出(chu)現問題(ti),因此應(ying)該做同(tong)等要求(qiu)。針對前(qian)面說的(de)⭐第一-種(zhong)情況,20G在(zai)管道.上(shang)允許使(shi)用溫度(du)≤430℃,低合金(jin)鋼主蒸(zheng)汽管道(dao)的使用(yong)溫度一(yi)般都🐆超(chao)過450℃,流量(liang)計材質(zhi)存在超(chao)溫運行(hang)的危險(xian),因此這(zhe)種👅情況(kuang),流量計(ji)應予以(yi)更換。針(zhen)對第二(er)種情況(kuang),主蒸汽(qi)管道爲(wei)碳鋼,流(liu)量計爲(wei)低合金(jin)鋼,流量(liang)計不存(cun)在超溫(wen)運行的(de)風險,雖(sui)同爲異(yi)種鋼焊(han)接,但是(shi)碳鋼和(he)低合金(jin)鋼彈性(xing)模量相(xiang)差不大(da),線膨脹(zhang)系數基(ji)本相同(tong)✉️,由此帶(dai)來的熱(re)應力不(bu)大😘,建議(yi)加強監(jian)控。對于(yu)第三📱種(zhong)情況,同(tong)屬低合(he)金鋼,不(bu)🎯屬于♌異(yi)種鋼焊(han)接接頭(tou),因此.是(shi)符合要(yao)求的。
3分(fen)析與探(tan)讨
3.1流量(liang)計結構(gou)選擇
  流(liu)量計在(zai)制造、選(xuan)型和安(an)裝過程(cheng)沒有相(xiang)應的監(jian)督和約(yue)束,因此(ci)導緻出(chu)現了一(yi)系列問(wen)題。鍋爐(lu)範圍内(nei)管道,主(zhu)給水和(he)🌈主蒸汽(qi)管道上(shang)一般都(dou)裝有流(liu)量計,對(dui)于母🤟管(guan)制運行(hang)的鍋爐(lu),鍋爐至(zhi)母管、母(mu)管至汽(qi)機管道(dao)上分别(bie)裝有流(liu)🧑🏾‍🤝‍🧑🏼量計。流(liu)量計安(an)裝的位(wei)置不同(tong),工作環(huan)境也有(you)差别。對(dui)于主給(gei)水管道(dao),雖工作(zuo)壓力🧡高(gao),但是工(gong)作溫💔度(du)低,一般(ban)的流🈲量(liang)計均可(ke)滿足要(yao)求。而對(dui)于主蒸(zheng)汽管🏃‍♂️道(dao),由前文(wen)的讨論(lun)可知,在(zai)結構上(shang),一體式(shi)流量計(ji)和插人(ren)式流量(liang)計均滿(man)足515号文(wen)流量計(ji)殼體整(zheng)🔴段無縫(feng)鋼管制(zhi)成的要(yao)求,法蘭(lan)式和焊(han)接🐪式均(jun)爲兩段(duan)式。在檢(jian)驗的過(guo)程中應(ying)對存在(zai)結構不(bu)合理的(de)流量計(ji)應當立(li)即更換(huan)滿足通(tong)知規定(ding)的,但是(shi)對👉于不(bu)合理結(jie)構未給(gei)予明确(que)❤️說明。從(cong)安裝角(jiao)度來說(shuo),插人式(shi)流量計(ji)不存在(zai)安裝環(huan)焊縫,更(geng)易于保(bao)💃🏻證流量(liang)計的安(an)🍉全運行(hang)。
3.2流量計(ji)材質選(xuan)擇與安(an)裝
  從前(qian)文所述(shu)的在檢(jian)驗中所(suo)遇到的(de)問題可(ke)知,流量(liang)計在♋主(zhu)蒸汽管(guan)道的安(an)裝過程(cheng)中,會出(chu)現焊接(jie)材料錯(cuo)用和流(liu)🧑🏽‍🤝‍🧑🏻量計與(yu)管道連(lian)接存在(zai)異種鋼(gang)焊接接(jie)頭情況(kuang)。這都是(shi)由于流(liu)量計曾(ceng)經疏于(yu)監管,使(shi)用單位(wei)或者安(an)裝單位(wei)自行安(an)裝或者(zhe)更換所(suo)導緻。因(yin)此在📞流(liu)量計的(de)選擇方(fang)面,要選(xuan)擇材質(zhi)與主蒸(zheng)汽管道(dao)材質相(xiang)同的流(liu)量🔴計,避(bi)免出現(xian)異種鋼(gang)焊接接(jie)頭。且在(zai)流量計(ji)安📐裝後(hou),應對安(an)裝焊口(kou)進行相(xiang)應檢驗(yan)檢測㊙️,如(ru)射線檢(jian)測、光譜(pu)複🏃檢等(deng),以防止(zhi)焊接♈接(jie)頭出現(xian)焊材錯(cuo)用、未焊(han)透.夾渣(zha)等🌈質量(liang)問題。
3.3流(liu)量計的(de)監管與(yu)檢驗
  新(xin)發布的(de)TSG07--2019《特種設(she)備生産(chan)和充裝(zhuang)單位許(xu)可規則(ze)》将流😍量(liang)計(殼體(ti)㊙️)正式納(na)人行政(zheng)許可,明(ming)确了流(liu)量計(殼(ke)體)的行(hang)政許可(ke)歸類👅一(yi)壓力管(guan)道元件(jian)。但是流(liu)量計(殼(ke)體)的制(zhi)造尚無(wu)相應的(de)國家标(biao)準或者(zhe)行業标(biao)準,在鍋(guo)爐範圍(wei)内使用(yong)的流量(liang)計應滿(man)足鍋爐(lu)标準對(dui)材料、設(she)計、制造(zao)和強度(du)的要求(qiu)。
  在安裝(zhuang)環節,新(xin)裝的流(liu)量計除(chu)要經過(guo)制造監(jian)檢外,在(zai)安裝監(jian)檢的過(guo)程中,也(ye)應涵蓋(gai)對安裝(zhuang)焊口的(de)抽查,以(yi)确保流(liu)量計的(de)安裝🙇‍♀️質(zhi)量。對于(yu)已經在(zai)用的流(liu)量計,除(chu)♻️對流量(liang)計制造(zao)焊接接(jie)頭進行(hang)補充檢(jian)驗檢測(ce)外,對流(liu)✌️量計與(yu)主蒸汽(qi)管道管(guan)道連接(jie)焊縫也(ye)應💃🏻做同(tong)等要求(qiu)🤞。同時針(zhen)對不同(tong)結構的(de)流量計(ji)也應采(cai)取不同(tong)的檢測(ce)手段,如(ru)焊接式(shi)流量計(ji)中間焊(han)㊙️縫的檢(jian)測,由于(yu)傳統超(chao)聲檢測(ce)的局限(xian)性”,可采(cai)用如TOFD.相(xiang)控陣等(deng)多檢測(ce)手段相(xiang)結合的(de)方式。
4結(jie)束語
  流(liu)量計是(shi)鍋爐上(shang)不可或(huo)缺的元(yuan)件組合(he)裝置,流(liu)量計形(xing)🔴式多樣(yang)、結構各(ge)有不同(tong),流量計(ji)從制造(zao)、安裝和(he)🐪使用環(huan)節尚未(wei)形成系(xi)統的監(jian)管。在以(yi)後的工(gong)作中,對(dui)流量計(ji)應給予(yu)足夠🙇🏻的(de)重視,保(bao)證鍋爐(lu)的安全(quan)穩😘定運(yun)行。

本文(wen)來源于(yu)網絡,如(ru)有侵權(quan)聯系即(ji)删除!


下(xia)篇文章(zhang): 渦街流(liu)量計在(zai)工業生(sheng)産中的(de)使用與(yu)維護 上(shang)篇文章(zhang): 脈動流(liu)對天然(ran)氣孔闆(pan)流量計(ji)計量影(ying)響
 
江蘇(su)省霸展包装机械有限公司是一(yi)家專業(ye)提供 渦(wo)街流量(liang)計 渦輪(lun)流量計(ji) 電磁流(liu)量計 的(de)企業,公(gong)司将以(yi)優質的(de)服務優(you)惠的價(jia)格,服務(wu)新老客(ke)戶。
 版權(quan)所有:江(jiang)蘇省霸展包装机械有限公司       技(ji)術支持(chi)易品網(wang)絡

 
 
 
·
·