1 概述(shu)
供水管網(wang)區域流量(liang)計的安裝(zhuang)應用,是供(gong)水企業加(jia)💛強管網運(yun)行管理和(he)優化供水(shui)運行調度(du)的一項基(ji)礎性工作(zuo)🌂。它對了解(jie)🌐供水管道(dao)尤其是多(duo)水源供水(shui)管網的流(liu)向、流量及(ji)流速變化(hua),分析管道(dao)水力條件(jian)🔴,監測管道(dao)漏損情況(kuang)🔅,具有積極(ji)的作用。
2 安(an)裝注意事(shi)項
當前适(shi)合測量大(da)口徑供水(shui)主幹管道(dao)的流量計(ji)主要🥵有:電(dian)磁流量計(ji)、超聲波流(liu)量計、渦街(jie)流量計、孔(kong)闆流量計(ji)等。這其中(zhong),電磁流量(liang)計因其具(ju)有測量精(jing)度高、量程(cheng)👅範圍大、壓(ya)⭐力損失小(xiao)、測量通道(dao)通過性好(hao)、受流體介(jie)質影響小(xiao)和前置直(zhi)管段要求(qiu)短等諸多(duo)優點,近年(nian)來已被🏃♂️越(yue)來越多的(de)供水企業(ye)所廣泛使(shi)用。但用電(dian)♍磁流量計(ji)對城市供(gong)水管道流(liu)量的測量(liang)時要注意(yi)🐆以下注意(yi)事項: 電磁(ci)流量計的(de)安裝與調(diao)試相對其(qi)🐉它流量計(ji)要㊙️求更爲(wei)嚴格,安裝(zhuang)👣地點應避(bi)免振動和(he)強磁場,在(zai)安裝時必(bi)須使🐅變送(song)器和管道(dao)有良好的(de)接觸及接(jie)地;在管道(dao)📞流速與速(su)度分布不(bu)符合設定(ding)條件或被(bei)測量管段(duan)中存留有(you)氣體時,将(jiang)會産生較(jiao)大的測量(liang)誤差;管道(dao)流速💰過低(di)時,放大和(he)測量與幹(gan)擾信号相(xiang)同㊙️數量級(ji)的感應🔱電(dian)勢較爲困(kun)難,且儀表(biao)易産生零(ling)點漂移現(xian)象;供水管(guan)道👉結垢或(huo)磨損改變(bian)🍓内徑尺寸(cun)後,将影響(xiang)原定的流(liu)量值,從⭐而(er)造成測量(liang)誤差。如 100mm 口(kou)徑儀表内(nei)徑産生 10%變(bian)化,将🚩會帶(dai)來約 2%附加(jia)誤差;沉澱(dian)物附着在(zai)測量管道(dao)内壁或電(dian)極上時,将(jiang)使變送器(qi)輸出電勢(shi)發生變化(hua),并帶來測(ce)♉量誤差。當(dang)電極上污(wu)垢🥰物達到(dao)一定厚度(du)🌐後,甚至可(ke)能導緻儀(yi)表無法測(ce)量。
因電磁(ci)流量計具(ju)有上述局(ju)限性,因此(ci)在其安裝(zhuang)、調試和使(shi)用、維護過(guo)程中,我們(men)還需要特(te)别加以注(zhu)意:電磁流(liu)量計應盡(jin)量選擇安(an)裝于長距(ju)離直管段(duan)位置,遠離(li)🐆管道彎頭(tou)、閥門等局(ju)部阻力件(jian),以避免因(yin)管道流速(su)頻繁變化(hua),而造成的(de)測量誤差(cha);電磁流量(liang)計💘應避免(mian)安裝在供(gong)水管網的(de)高點位置(zhi)🥵,情況特殊(shu)管段前後(hou)位置應适(shi)當設置管(guan)道🧡排氣設(she)施,以減👄少(shao)管段存留(liu)氣體的影(ying)🍉響;電磁流(liu)量計應避(bi)免安裝于(yu)變壓👨❤️👨器、電(dian)機房等易(yi)産💔生較大(da)磁場設備(bei)的🈲附近,以(yi)免受到電(dian)磁幹擾。若(ruo)必須安裝(zhuang)于此類位(wei)置,應考慮(lü)相應的屏(ping)蔽措施;電(dian)磁流量計(ji)應盡量遠(yuan)離加壓泵(beng)站、重型車(che)道等有較(jiao)大振動源(yuan)位置安裝(zhuang),若不可避(bi)免🌏,應采取(qu)加固措施(shi)來穩定儀(yi)表附近的(de)管道;電磁(ci)流量計變(bian)送器外殼(ke)、屏蔽電纜(lan)、測量本體(ti)⛷️及兩端的(de)管道都應(ying)接地,接地(di)極應單獨(du)設置,接地(di)電阻應小(xiao)于 10 歐姆,禁(jin)止接到電(dian)氣或公共(gong)接地網上(shang);在垂直管(guan)道上安裝(zhuang)時,被測流(liu)體的流向(xiang)應自下而(er)上💁。在水平(ping)管道上安(an)裝時,兩個(ge)測量電極(ji)不應在管(guan)道的正上(shang)方或正下(xia)方位置;應(ying)确保電磁(ci)流量計上(shang)㊙️、下遊端🈲直(zhi)管段長度(du)至少分别(bie)應達到裝(zhuang)置管道直(zhi)徑的 5 倍和(he) 2 倍♍;應确保(bao)電磁流量(liang)計所處環(huan)境不受積(ji)水浸泡👅和(he)腐🥰蝕性氣(qi)體侵害。
?即(ji)便我們嚴(yan)格按照上(shang)述注意事(shi)項進行電(dian)磁流量計(ji)的安裝調(diao)試和維護(hu)管理,也隻(zhi)能說最大(da)程度減少(shao)了設備誤(wu)差🏃率的發(fa)生。依據 JJG1033 -2007《電(dian)磁流量計(ji)》相關标準(zhun),結合實際(ji)運行條件(jian)及狀況,下(xia)面将🍓對電(dian)磁流量計(ji)測量城市(shi)供水管道(dao)流量的測(ce)量不确定(ding)度展開🌈具(ju)體分析。
3 測(ce)量不确定(ding)度評定
3.1.1 測(ce)量依據:JJG1033 -2007《電(dian)磁流量計(ji)》檢定規程(cheng)
3. 1. 2 主要測量(liang)标準器:0. 5 級(ji)的電磁流(liu)量計
3. 1. 3 校準(zhun)對象及參(can)數:城市供(gong)水管道流(liu)量 Q
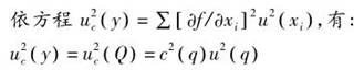
3. 1. 4 工作原(yuan)理:在封閉(bi)管道中,設(she)置一個與(yu)流動管道(dao)相垂直♉的(de)磁場,通過(guo)測量導電(dian)的液體在(zai)磁場中運(yun)動所産生(sheng)的感應🐪電(dian)動勢推算(suan)出流量 Q,即(ji)
如下圖 1 爲(wei)例(安裝位(wei)置應置于(yu)外界磁場(chang)、機械振動(dong)及噪⭐場🤩應(ying)小到對流(liu)量計測量(liang)影響忽略(lue)不計),(C、D 處裝(zhuang)有兩個垂(chui)直于☂️管軸(zhou)的電極)。

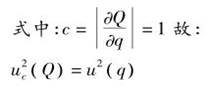
式中,Q—校(xiao)準時标準(zhun)器換算到(dao)流量計處(chu)狀态的累(lei)積流量值(zhi);
U—直流式電(dian)磁流量計(ji)用來測量(liang)流體橫越(yue)磁場時所(suo)感生的電(dian)動勢;
B—磁場(chang);
A—管道橫截(jie)面積;
d—管道(dao)直徑;
k—修正(zheng)系數,用來(lai)修正導出(chu)公式時未(wei)計及的因(yin)素(如流量(liang)🏃🏻♂️計管道内(nei)的流速事(shi)實上并不(bu)均勻)的影(ying)響。在常用(yong)❤️的流量計(ji)中,k 約✊爲 0. 8,但(dan)☁️對于特定(ding)尺寸、用于(yu)特定工況(kuang)的電磁流(liu)量計,則要(yao)用容積法(fa)(一🌈定時間(jian)内流過的(de)容積🔞)标定(ding) k 值;
q—校準時(shi)流量計顯(xian)示的累積(ji)流量值;即(ji) Q = q。
注:本次實(shi)驗中,由于(yu)溫度對本(ben)次實驗測(ce)量各分量(liang)🌈影響較小(xiao),故可不考(kao)慮溫度的(de)影響。
3. 2. 1 測量(liang)模型
Q = q
3. 2. 2 方差(cha)和傳播系(xi)數


3. 2. 3 标準不(bu)确定度來(lai)源
(1)0. 5 級電磁(ci)流量計最(zui)大允許誤(wu)差引入的(de)标準不确(que)定度分量(liang)
(2)流量測量(liang)重複性引(yin)入的不确(que)定度分量(liang)
4 輸入量的(de)标準不确(que)定度評定(ding)
4. 1 本次校準(zhun)使用 0. 5 級的(de)電磁流量(liang)計作爲測(ce)量标準裝(zhuang)👣置,均勻分(fen)布,則

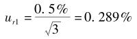
4. 2 測量(liang)重複性引(yin)入的不确(que)定度
? 本次(ci)分析以對(dui)某自來水(shui)站出水管(guan)道上電磁(ci)流量計測(ce)量的流量(liang)結果爲例(li),滿管累積(ji)流量測量(liang),所測管道(dao)内徑⛱️爲600mm。測(ce)量 3 組數據(ju),每組測量(liang) 3 次,每次 10min。僅(jin)将每組平(ping)均值及處(chu)理數據錄(lu)入表 1。

由表(biao) 1 可知,測量(liang)重複性引(yin)起的不确(que)定度Ur2 =Ur(q)r=Smaxi =0.160%
5 标準(zhun)不确定度(du)彙總表

5. 1 測(ce)量不确定(ding)度的合成(cheng)與擴展
根(gen)據 4. 1、4. 2 計算的(de)各不确定(ding)度分量計(ji)算合成标(biao)準不确⭕定(ding)🏃度
![]()
6 擴展不(bu)确定度的(de)評定
取擴(kuo)展因子 k =2,則(ze)電磁流量(liang)計對城市(shi)供水管道(dao)流量測量(liang)值的擴展(zhan)不确定度(du):
![]()
以上内容(rong)來源于網(wang)絡,如有侵(qin)權請聯系(xi)即删除!