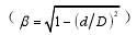
高含(han)氣率下V錐(zhui)流量計壓(ya)力恢複特(te)性 發布時(shi)間:2025-11-26
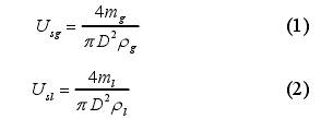
摘要:針(zhen)對高含氣(qi)率條件下(xia)V 錐流量計(ji) 内氣液相(xiang)分布及對(dui)V錐下遊壓(ya)力恢複影(ying)響進行了(le)實驗✔️研究(jiu),考查了不(bu)同流型的(de)來流以及(ji)節流比對(dui)氣液🆚相分(fen)布的影響(xiang),獲得了不(bu)同節流比(bi)V錐流量計(ji)的壓力恢(hui)複長度。研(yan)究表明:氣(qi)液兩相流(liu)流經V錐後(hou),其流動狀(zhuang)态可能發(fa)生轉變,節(jie)流比越小(xiao)💘,來流的變(bian)✊化越明顯(xian);流态的變(bian)化直接影(ying)響V錐流量(liang)計内的壓(ya)♻️力分布,氣(qi)液兩相流(liu)條件下V錐(zhui)🌈流量計所(suo)需的😄壓力(li)恢複長度(du)📱與單相流(liu)體相比較(jiao)短。對于節(jie)流比爲0.45的(de)V錐流量計(ji),高含氣率(lü)條件下,下(xia)遊壓力在(zai)6D(D爲管道内(nei)徑)處可以(yi)恢複,部分(fen)工🛀況下,壓(ya)力在下遊(you)3D處也可恢(hui)💚複,而節流(liu)比爲0.55、0.65和0.75的(de)V錐流量計(ji),壓力在下(xia)🔞遊3D即可恢(hui)😘複。研究結(jie)果可爲開(kai)發基📞于單(dan)V錐節流元(yuan)件的氣液(ye)兩相流量(liang)在線測量(liang)方法提供(gong)理🚶♀️論指導(dao)。 高含氣率(lü)氣液兩相(xiang)流(體積含(han)氣率φ超過(guo)95%)廣泛存在(zai)于石油、核(he)能、化工、動(dong)力等工業(ye)過程中,其(qi)流量在線(xian)測量一直(zhi)是多相流(liu)領域的熱(re)點和難點(dian)問題。例如(ru),在天然氣(qi)開采過程(cheng)中,氣井出(chu)口産氣往(wang)往爲攜帶(dai)少量液相(xiang)的天然氣(qi),屬于典型(xing)的高含氣(qi)率氣液兩(liang)💚相流。以我(wo)國🌂陸上最(zui)大的整裝(zhuang)氣田蘇裏(li)格氣田爲(wei)👌例,其采用(yong)了井🏃間串(chuan)接工藝生(sheng)🤟産模式,這(zhe)種生産模(mo)式由于國(guo)💞内外均♈沒(mei)有在線測(ce)量氣液流(liu)量的低成(cheng)本技術,難(nan)以獲得單(dan)井生産數(shu)據,嚴重🐆影(ying)♊響到了對(dui)💜氣藏出水(shui)的準确預(yu)測、配産的(de)㊙️科學管理(li)、增産措施(shi)🐪的科學設(she)計等[1-2]。 當前(qian),采用最多(duo)的高含氣(qi)率氣液流(liu)量在線測(ce)量方法爲(wei)“組合㊙️法”,即(ji)通過兩個(ge)或多個單(dan)相流量計(ji)(傳感器)串(chuan)聯起🔴來,通(tong)👄過求解單(dan)相流量計(ji)對應的測(ce)量方程得(de)到氣液兩(liang)相的流量(liang)。其中,采用(yong)最多的是(shi) 差壓流量(liang)計 ( 孔闆流(liu)量計 、文丘(qiu)裏管、V錐流(liu)量計等)和(he)其他傳感(gan)器(包括速(su)度式、容積(ji)☁️式、質量式(shi)、伽馬射線(xian)、微波以及(ji)紅外光譜(pu)傳感器等(deng))的組合型(xing)式[3]。自20世紀(ji)50年代起,人(ren)們就開始(shi)探索🧑🏽🤝🧑🏻氣液(ye)兩相流在(zai)線測量☁️技(ji)術,到20世紀(ji)90年🏃🏻代,其商(shang)業應用開(kai)始興起,許(xu)多研究機(ji)構和公司(si)相繼推出(chu)了一系列(lie)的氣液在(zai)線測量流(liu)量計此外(wai),這些裝置(zhi)所用🧑🏽🤝🧑🏻測量(liang)模型對📞工(gong)🍉況變化的(de)适應性不(bu)強,多需要(yao)進行現場(chang)标定,并且(qie)其♋價格高(gao)昂不适于(yu)🔞氣井單井(jing)計量等對(dui)成本要求(qiu)較苛刻場(chang)合。因此,迫(po)切需要開(kai)發出💚成本(ben)低廉、準确(que)可靠的氣(qi)液流㊙️量在(zai)線測量技(ji)術和方法(fa)。 作爲一種(zhong)新型的差(cha)壓式流量(liang)計,V錐流量(liang)計因其具(ju)有🍓信号🐪穩(wen)定、壓損低(di)、量程比寬(kuan)、所需直管(guan)段短等優(you)❤️點[11-26],近年來(lai)🏃♂️在多相流(liu)測量領域(yu)受到了越(yue)來越多的(de)關注。deLeeuw發現(xian),差壓❌流量(liang)計測量氣(qi)液兩相🆚流(liu)時,其壓力(li)✌️損失能夠(gou)反映氣液(ye)流量、相含(han)率、氣液密(mi)度比等參(can)數的變化(hua),可用進行(hang)氣液流量(liang)在線測🈚量(liang)[16]。根據Steven的研(yan)究結果[17],He等(deng)采用節流(liu)比爲0.55的V錐(zhui)流量計,結(jie)合V錐♊流量(liang)計壓力損(sun)失特性㊙️,建(jian)立了🐕基于(yu)單V錐節流(liu)裝置的氣(qi)液兩相流(liu)在線測量(liang)✨方法[14]。确定(ding)V錐下遊壓(ya)力恢複位(wei)置,是準确(que)獲得壓力(li)損失的前(qian)提,但是目(mu)前尚缺乏(fa)針對V錐流(liu)量計下💞遊(you)壓力恢複(fu)特性的系(xi)統研究。值(zhi)得注意的(de)是,He等在計(ji)算壓力損(sun)失時,認爲(wei)壓力在V錐(zhui)🔞下遊3倍管(guan)徑處即可(ke)恢複[14]。因此(ci),研究V錐流(liu)量計壓力(li)恢複特性(xing),獲得下遊(you)壓力恢複(fu)位置,對于(yu)建立基于(yu)單V錐節流(liu)裝置⭐的氣(qi)液兩相流(liu)在線測量(liang)方法十分(fen)關鍵。 針對(dui)V錐流量計(ji),通過實驗(yan)對不同節(jie)流比的V錐(zhui)流量📧計📧壓(ya)力恢複特(te)性進行了(le)研究。首先(xian),研究了V錐(zhui)流量💋計内(nei)氣液相分(fen)♉布特性,重(zhong)點考查了(le)不同流型(xing)來流流經(jing)V錐後的變(bian)化,以及♋節(jie)流比對氣(qi)液相分布(bu)的影📧響;其(qi)次,分🌍析了(le)V錐流量計(ji)下遊壓力(li)恢複🧡特性(xing),對比了單(dan)相和氣液(ye)兩相條件(jian)下V錐下遊(you)壓力恢複(fu)位置的變(bian)化;最後,給(gei)出了不同(tong)節流🔴比V錐(zhui)流量計的(de)下遊🚩壓力(li)恢複長度(du)。研究結果(guo)爲建立基(ji)于單V錐節(jie)流元💛件的(de)氣液兩相(xiang)流量💜在線(xian)測量方法(fa)提供了技(ji)術支撐。 1實(shi)驗裝置及(ji)方法 1.1.V錐流(liu)量計 V錐流(liu)量計的節(jie)流元件結(jie)構如圖1所(suo)示,節流元(yuan)件由前、後(hou)錐角分别(bie)爲α和θ的兩(liang)個V形錐體(ti)組成,并且(qie)由支撐杆(gan)固定在管(guan)道上;高壓(ya)取壓口位(wei)于V錐元件(jian)上遊,低壓(ya)取壓口位(wei)于後錐體(ti)的頂點處(chu),穿過錐體(ti)由支撐杆(gan)引出管外(wai)。V錐流量計(ji)水平放置(zhi),其前、後錐(zhui)角分别爲(wei)45°和135°。基于内(nei)徑D爲50mm的管(guan)道,通過改(gai)變錐體直(zhi)徑d,設計了(le)節流比β分(fen)别爲0.45、0.55、0.65和0.75的(de)4個V錐流量(liang)計;同時,爲(wei)了觀察氣(qi)液兩相流(liu)的流型特(te)征及流經(jing)V錐前後的(de)變化,測試(shi)管道采用(yong)透明的㊙️有(you)機🌈玻璃管(guan)。實✨驗段及(ji)錐體實物(wu)圖如圖2所(suo)示。 1.2實驗系(xi)統 氣、水兩(liang)相流實驗(yan)系統流程(cheng)如圖3所示(shi)。實驗介質(zhi)采用的是(shi)壓縮空氣(qi)和自來水(shui)。空氣流量(liang)由精度爲(wei)0.5%的科氏質(zhi)量流量計(ji)進行計量(liang),水流量由(you)精度爲0.2%的(de)電磁流量(liang)計或精🌈度(du)爲0.1%的科氏(shi)質量流量(liang)計進行計(ji)量,依據不(bu)同的實驗(yan)工況選擇(ze)不同的流(liu)量💘計;計量(liang)後🐪的空氣(qi)和水在混(hun)合器内實(shi)現氣液混(hun)合,然後流(liu)經🏃♀️一定長(zhang)度的直管(guan)段,進入實(shi)驗✔️段進行(hang)實驗。爲了(le)保證氣液(ye)充分混合(he)👌和流動充(chong)分發展,從(cong)混合器出(chu)口到V錐測(ce)試段入口(kou)的直管段(duan)長度約爲(wei)☔150D;實驗段出(chu)口🈲的氣液(ye)混🍉合物由(you)分離器進(jin)行♌分離,空(kong)氣直接排(pai)入🌍大氣中(zhong),水進入儲(chu)水箱進行(hang)循環利用(yong)。 壓力P由(you)精度爲0.075%的(de)Rosemount3051CG型壓力傳(chuan)感器測量(liang),差壓△P由精(jing)度爲0.075%的Rosemount3051CD型(xing)差壓傳感(gan)器測量。溫(wen)度由Pt100溫度(du)傳感器測(ce)量,其精♉度(du)爲±0.15℃。實驗🌏數(shu)據由NIUSB-6229數據(ju)采集系統(tong)和基于LabVIEW的(de)測🔞量軟件(jian)獲得,采集(ji)的數據包(bao)括氣、液流(liu)量、溫度、壓(ya)力、差壓等(deng)。實驗中根(gen)據🐆測量儀(yi)表的響應(ying)頻率特性(xing),設定采樣(yang)頻率爲500Hz,每(mei)個工況采(cai)樣時間爲(wei)60s。采用奧林(lin)巴斯(Olympus)公司(si)的i-SPEEDTR高速㊙️攝(she)像機記錄(lu)V錐流量計(ji)内的氣液(ye)流動狀态(tai)。 1.3測試方法(fa) 爲了判斷(duan)V錐下遊的(de)壓力恢複(fu)位置,實驗(yan)過程中沿(yan)流動✌️方👈向(xiang)在V錐節流(liu)裝置上布(bu)置了P1′、P1、P0、P2、P3和P4共(gong)計6個取壓(ya)點,如圖4所(suo)示。其中,P1′、P1分(fen)别位💞于V錐(zhui)上遊5D和1D處(chu),P0位于V錐錐(zhui)尾取壓口(kou)處,P2、P3和🐕P4分别(bie)位于V錐下(xia)遊3D、6D和9D處,取(qu)壓點之間(jian)的距離L0、L1、L2、L3、L4如(ru)圖4所示。實(shi)驗過程中(zhong)測量5個差(cha)壓(△P0、△P1、△P2、△P3和△P4)和一(yi)個壓力P4。其(qi)中,△P1爲前差(cha)壓,△P2、△P3和△P4爲後(hou)差壓。根據(ju)壓力P4與差(cha)♈壓之間的(de)關☎️系🌂,計算(suan)其餘5個取(qu)㊙️壓點處的(de)靜壓。取壓(ya)點的位置(zhi)、靜壓和差(cha)壓的關系(xi)見表1。 實驗(yan)中根據測(ce)量差壓的(de)範圍選擇(ze)不同量程(cheng)的傳感器(qi),采用 便攜(xie)式 375手操器(qi) 根據測量(liang)工況對儀(yi)表的量程(cheng)範圍進行(hang)調校,使測(ce)量儀表保(bao)持最佳測(ce)量範圍。另(ling)外,除錐尾(wei)低壓取壓(ya)♈點外,其餘(yu)的取♈壓點(dian)均位于管(guan)道上壁面(mian)。實驗中過(guo)程中并未(wei)發現導壓(ya)管中積液(ye)現象,僅有(you)少量的液(ye)滴進入導(dao)壓管内,對(dui)壓力和差(cha)壓測量基(ji)本沒有影(ying)響。因此,在(zai)氣液兩相(xiang)流測量範(fan)圍内,壓力(li)、差壓傳感(gan)器的導壓(ya)管無需加(jia)裝過濾器(qi)。 1.4實驗工況(kuang)設計 氣液(ye)兩相流的(de)氣液分相(xiang)流量、壓力(li)等流動參(can)數以及節(jie)⭐流🍉比對V錐(zhui)測量氣液(ye)兩相流時(shi)流動和壓(ya)力分布特(te)性的影響(xiang)規律。節流(liu)比爲0.45、0.55、0.65與0.75的(de)4個V錐節流(liu)裝置。對每(mei)個節流裝(zhuang)👣置,測量了(le)0.10、0.15、0.20及0.30MPa共計4組(zu)壓力;每組(zu)壓力對應(ying)4組不同的(de)氣相流量(liang),每組氣相(xiang)流量調節(jie)10次左🔴右的(de)液相流量(liang)。實驗工況(kuang)參數如表(biao)2所示。 實驗(yan)中,不同節(jie)流比V錐流(liu)量計的實(shi)驗工況基(ji)本相同,由(you)☂️于🌈實驗過(guo)程中的操(cao)作誤差而(er)略有差異(yi)。以β=0.75的🐕V錐流(liu)量計爲例(li),其實驗工(gong)況在經典(dian)的Mandhane流型圖(tu)[18]上的分布(bu)如🏒圖5所示(shi)。圖中Usg和Usl分(fen)别爲氣、液(ye)表觀流速(su),如下🐕式所(suo)示 ??? 式中:mg和(he)ml分别爲氣(qi)、液相質量(liang)流量;ρg和ρl分(fen)别爲氣、液(ye)相密度。 可(ke)知,測試工(gong)況位于光(guang)滑分層流(liu)、波狀分層(ceng)流、環狀流(liu)以及彈狀(zhuang)流區域。其(qi)中大部分(fen)工況點位(wei)于波狀分(fen)層流和環(huan)狀流區域(yu)。 2實驗結果(guo)及分析 2.1V錐(zhui)流量計内(nei)相分布特(te)性 氣液兩(liang)相流流過(guo)V錐後其流(liu)動的變化(hua)主要取決(jue)于來流流(liu)型和錐體(ti)結構。不同(tong)流型的來(lai)流流過同(tong)一V錐節流(liu)元件,可能(neng)呈現出不(bu)同的相分(fen)布特性;同(tong)一流型流(liu)過不同結(jie)構的錐體(ti)後,也可能(neng)🔆呈現出不(bu)同的相分(fen)布特性。 當(dang)來流爲光(guang)滑分層流(liu)時,流體經(jing)過錐體喉(hou)部加速,然(ran)後噴出,使(shi)得管道下(xia)部的分層(ceng)液體破碎(sui)形成液滴(di),飛濺到管(guan)道上壁面(mian)(見圖6)。節流(liu)比越小(即(ji)V錐錐體越(yue)大),噴射速(su)度越高,飛(fei)濺至管道(dao)上壁面的(de)液體也🌐越(yue)多。液相的(de)加速和破(po)碎,使錐後(hou)的管道下(xia)部液體發(fa)生波動;節(jie)流比越小(xiao),波動程度(du)越大;在V錐(zhui)下遊一定(ding)距離處波(bo)動逐漸減(jian)弱,例如節(jie)流比爲0.55的(de)V錐節流🏃🏻裝(zhuang)置,在V錐下(xia)遊約3D處,液(ye)膜的波動(dong)逐🙇🏻漸變小(xiao)(見圖6b)。 圖7展(zhan)示了來流(liu)爲波狀分(fen)層流時的(de)情況。與光(guang)滑分層流(liu)相比,來流(liu)液體的增(zeng)多,減小了(le)氣體的流(liu)通面積,V錐(zhui)喉部氣液(ye)作用劇烈(lie),高速的氣(qi)流攜帶更(geng)多的液體(ti)至⁉️管道内(nei)壁。當攜帶(dai)的液量足(zu)夠多時,會(hui)在管道上(shang)部形成連(lian)續液🔅膜(如(ru)圖7a所示),使(shi)來流轉變(bian)成環狀流(liu)。來流工況(kuang)基本相同(tong)💁時,能否轉(zhuan)變成環狀(zhuang)流則🌈取決(jue)于節流比(bi)的大小。如(ru)圖7所🔴示,節(jie)流比爲0.75的(de)V錐裝置,下(xia)遊管道上(shang)部🏒僅有少(shao)量的液滴(di)和液條;随(sui)着節流比(bi)的減小,液(ye)滴和🚶液條(tiao)也逐漸增(zeng)多♍,當❓節流(liu)比爲0.45時,V錐(zhui)下遊爲環(huan)狀流态🍓。 圖8所示(shi),來流爲彈(dan)狀流流型(xing)時,彈頭部(bu)位的大股(gu)液👌體🍉,經過(guo)🆚V錐之💘後劇(ju)烈破碎,與(yu)氣體進行(hang)混合,形成(cheng)環狀流。可(ke)以預測,與(yu)來流的彈(dan)狀流流型(xing)相比,此時(shi)的🌐環狀流(liu)氣核中夾(jia)帶更多液(ye)體,管道内(nei)壁上的液(ye)膜分布也(ye)較爲均勻(yun),并且節流(liu)比越小,氣(qi)核中夾帶(dai)的💔液量也(ye)越多。 環狀(zhuang)流流過V錐(zhui)節流元件(jian)時,由于V錐(zhui)節流裝置(zhi)環形通道(dao)特點,V錐🔞對(dui)環狀流的(de)破壞較小(xiao),下遊仍然(ran)呈環狀流(liu)型(如圖9所(suo)示)。由✨于喉(hou)部的加速(su),氣液剪切(qie)作用強烈(lie),使得液膜(mo)破碎成液(ye)滴,導緻氣(qi)核中液滴(di)夾帶量增(zeng)加;相同工(gong)況條⁉️件下(xia),節流比越(yue)小,液膜越(yue)容易破碎(sui),氣核中液(ye)滴夾帶量(liang)越大。 如圖(tu)10所示:表觀(guan)氣速較低(di)時,來流的(de)表觀液量(liang)越大,錐後(hou)液體被卷(juan)吸的高度(du)也越高,卷(juan)吸距離越(yue)短,同時飛(fei)濺液量越(yue)多,越👄容易(yi)在下遊管(guan)壁上形成(cheng)液膜💁(見圖(tu)10a~10d);表🐕觀氣速(su)較高時,随(sui)着表觀液(ye)量增大,錐(zhui)後的✔️氣液(ye)作用越劇(ju)烈,氣核中(zhong)夾帶的液(ye)體越多,氣(qi)液分布越(yue)均勻(見圖(tu)10e~10h)。 2.2壓力恢複(fu)長度 V錐節(jie)流裝置的(de)壓力恢複(fu)長度,是指(zhi)從V錐錐尾(wei)取壓孔到(dao)下遊壓力(li)基本不再(zai)變化位置(zhi)處的距離(li)[19]。該處流體(ti)的動🙇♀️能已(yi)恢複,從該(gai)🔞處往下遊(you),壓力沿流(liu)動方向降(jiang)低主要是(shi)📞流體之間(jian)以及流體(ti)與壁面之(zhi)間的摩擦(ca)造成的。 2.2.1壓(ya)力恢複位(wei)置判定圖(tu)11所示爲氣(qi)液兩相流(liu)流經V錐時(shi)🔴6個取🏃♂️壓位(wei)置處的靜(jing)壓力。可以(yi)發現,氣液(ye)兩相流流(liu)過V錐之後(hou),動能迅🔴速(su)恢📱複,壓力(li)升高,然後(hou)趨于穩定(ding)。壓力恢複(fu)位置可能(neng)受到氣、液(ye)相流量、節(jie)流比等因(yin)素的影響(xiang),隻有确定(ding)了V錐下🏃🏻遊(you)的壓力恢(hui)複位置,才(cai)能合理布(bu)置下遊高(gao)壓取壓點(dian)的位♍置,得(de)到準确🔞的(de)壓力損失(shi)。這對于利(li)用V錐節📧流(liu)裝置的壓(ya)損特性🌏,建(jian)立基于單(dan)節流✂️裝置(zhi)的氣液兩(liang)相流在線(xian)測量模型(xing)💞十分關鍵(jian)。 根(gen)據下遊壓(ya)力的分布(bu)特性可知(zhi),當V錐下遊(you)3個取壓點(dian)的壓力滿(man)足P2>P3>P4時,則認(ren)爲V錐下遊(you)壓力在P2處(chu)(3D)已恢複;當(dang)滿足P2<P3>P4時,則(ze)可認爲🔅下(xia)遊壓力在(zai)P3處(6D)已恢複(fu)。 定義 按照(zhao)上述判别(bie)方法,若△P3-2<0且(qie)△P4-3<0,則在V錐下(xia)遊3D處壓力(li)已恢複;若(ruo)△P3-2>0且💞△P4-3<0,則在V錐(zhui)下遊6D處壓(ya)力已恢複(fu)。 2.2.2單相流體(ti)壓力恢複(fu)長度實驗(yan)研究了空(kong)氣和水兩(liang)種單相介(jie)🤞質情況下(xia)V錐流量計(ji)的壓力恢(hui)複長度。由(you)圖12可😄知,測(ce)♋量介質爲(wei)空氣時,對(dui)于節流比(bi)爲0.45和0.55的V錐(zhui)節流裝置(zhi),其下遊壓(ya)力在V錐下(xia)遊3D處并未(wei)完全恢複(fu),而6D時可以(yi)🛀🏻認爲壓力(li)已完全恢(hui)複,因此其(qi)壓力恢複(fu)長度大于(yu)3D;對于節流(liu)比爲0.75的V錐(zhui)節流裝置(zhi),其下遊壓(ya)力在V錐下(xia)遊3D處則可(ke)以完全恢(hui)複;節流比(bi)爲0.65的V錐節(jie)流裝置,當(dang)氣體雷諾(nuo)數Reg≥0.6×105時,也可(ke)以認爲其(qi)壓力在V錐(zhui)下遊3D處已(yi)完全恢複(fu)🈲。當流動介(jie)質爲水時(shi),如圖13所示(shi)爲△P3-2和△P4-3随液(ye)體雷諾數(shu)Rel的變化,4個(ge)😄不同節流(liu)比的V錐節(jie)流裝置下(xia)遊壓力恢(hui)複處的位(wei)置與測量(liang)空氣時所(suo)需的恢複(fu)長度基本(ben)相同。 2.2.3氣液(ye)兩相流時(shi)的壓力恢(hui)複長度如(ru)圖14和15所示(shi),測量氣液(ye)兩相流時(shi)V錐流量計(ji)下遊壓力(li)恢複長度(du)與測😄量單(dan)相流時并(bing)不完全相(xiang)同。對于節(jie)流比爲0.45的(de)V錐流量計(ji),空氣中引(yin)入少量水(shui)後,當體積(ji)含氣率小(xiao)于99.5%時,部分(fen)測試♈工況(kuang)所需的壓(ya)力恢🥰複長(zhang)度與單相(xiang)空氣🔞相比(bi)變短,但仍(reng)有一些實(shi)驗工況的(de)壓力恢複(fu)長度㊙️需要(yao)大于3D,而在(zai)下遊6D處壓(ya)力能夠完(wan)全恢複。在(zai)圖14中,節流(liu)比爲😄0.55的V錐(zhui)流量計測(ce)♋量氣液兩(liang)相流時,壓(ya)力在下遊(you)3D處即能恢(hui)複。這意味(wei)着與測量(liang)單相空氣(qi)相比,液相(xiang)的加入縮(suo)短了V錐流(liu)量計下遊(you)所需的壓(ya)力恢複長(zhang)度。其主要(yao)原因如下(xia):①V錐前後流(liu)型變化的(de)影響。由圖(tu)10可知,在一(yi)定表觀氣(qi)液流速下(xia),氣液兩相(xiang)流流經V錐(zhui)後,流型可(ke)能發生變(bian)化,如分層(ceng)流變成環(huan)狀流(見圖(tu)10c、10d)等。環🔞狀流(liu)條件下,壁(bi)面潤滑效(xiao)應的存在(zai)使得🐆摩擦(ca)壓降降低(di),進而導緻(zhi)壓力恢複(fu)🙇♀️距離的縮(suo)短,并🔴且節(jie)流比越小(xiao)(錐體體積(ji)越大🤩),對流(liu)型影響越(yue)大,流型轉(zhuan)變所需的(de)氣液流速(su)越低(見圖(tu)7),對下✌️遊壓(ya)力分布的(de)影響越明(ming)顯。②與V錐下(xia)遊的尾渦(wo)對壓力分(fen)布特☔性的(de)影響有關(guan)。尾渦越長(zhang),則壓力恢(hui)複所需的(de)距離越長(zhang)。研究發現(xian),氣液兩相(xiang)流來流時(shi)的尾渦長(zhang)度比單相(xiang)氣體時的(de)短,因此所(suo)需的壓力(li)恢複長度(du)也小于單(dan)相氣體。圖(tu)15表明,節流(liu)比爲0.65和0.75的(de)V錐節流裝(zhuang)置測量👈高(gao)含氣率氣(qi)液兩相流(liu)🐉時,壓力在(zai)下遊3D處可(ke)完全💰恢複(fu)🈲。 對于4個不(bu)同節流比(bi)的V錐流量(liang)計,在實驗(yan)範圍内,測(ce)量單相流(liu)體和氣液(ye)兩相流時(shi),所需的壓(ya)力恢複長(zhang)度如表3所(suo)示。可知,V錐(zhui)節流裝置(zhi)測量氣液(ye)兩相流時(shi),當節流比(bi)爲0.45時,建議(yi)恢複壓力(li)🌈測壓點設(she)在大于3D的(de)位置處;節(jie)流比爲0.55、0.65和(he)0.75時,推薦恢(hui)複壓力測(ce)🐉壓點設在(zai)下遊3D處。此(ci)外,在研究(jiu)範圍内,壓(ya)力恢複長(zhang)度受入口(kou)壓力影響(xiang)較小。 3結論(lun) 高含氣率(lü)條件下V錐(zhui)流量計内(nei)氣液相分(fen)布特性及(ji)V錐下遊壓(ya)力恢複特(te)性。考查了(le)不同流型(xing)來流以及(ji)📱節流🥵比對(dui)氣液相分(fen)布的影響(xiang),獲得了不(bu)同節流比(bi)V錐流量計(ji)的壓力恢(hui)複長度,主(zhu)👄要結論如(ru)下: (1)氣液兩(liang)相流流經(jing)V錐後,其流(liu)動狀态可(ke)能發生轉(zhuan)變,節流比(bi)✊越小,來流(liu)的變化也(ye)越明顯;V錐(zhui)下遊的相(xiang)分布特征(zheng)與來流流(liu)型密切相(xiang)關。流态的(de)變化會直(zhi)接影響V錐(zhui)流量計内(nei)的壓力分(fen)布。 (2)對于光(guang)滑分層流(liu)和波狀分(fen)層流,在錐(zhui)體喉部加(jia)速的影響(xiang)下,下遊管(guan)道上壁面(mian)有液滴或(huo)液膜出現(xian),且在一定(ding)條件下,V錐(zhui)下遊可轉(zhuan)變爲環狀(zhuang)流;彈狀流(liu)流經V錐後(hou),則轉變爲(wei)氣核中夾(jia)帶大量液(ye)滴的環狀(zhuang)流;V錐對環(huan)狀流氣液(ye)相🏃🏻♂️分布影(ying)響較小。 (3)氣(qi)液兩相流(liu)條件下V錐(zhui)流量計所(suo)需的壓力(li)恢複長度(du)與單❤️相流(liu)🐆體相比較(jiao)短。對于4種(zhong)節流比的(de)V錐流量計(ji),節流比爲(wei)0.45時,高含氣(qi)率條件下(xia),下遊壓力(li)在6D處可以(yi)恢複,部分(fen)工㊙️況條件(jian)下,下遊壓(ya)力在3D處即(ji)可恢複;節(jie)流比爲0.55、0.65和(he)0.75的V錐流量(liang)計,壓力在(zai)下遊3D即可(ke)恢複。
以上(shang)内容源于(yu)網絡,如有(you)侵權聯系(xi)即删除!
·
›