97在线观视频免费观 蒸汽測量中渦街流量計誤差分析-江蘇省霸展包装机械有限公司
;                  
                 
       公司(si)簡介(jie)  産品(pin)中心(xin)  質量(liang)體系(xi)  銷售(shou)網絡(luo)  聯系(xi)我們(men)
  溫度(du)儀表(biao)系列(lie)
  壓力(li)儀表(biao)系列(lie)
  流量(liang)儀表(biao)系列(lie)
  校驗(yan)儀表(biao)系列(lie)
  顯示(shi)儀表(biao)系列(lie)
  變送(song)器儀(yi)表系(xi)列
  電(dian)線電(dian)纜系(xi)列
 
 
  氧(yang)化锆(gao)氧傳(chuan)感器(qi)的原(yuan)理及(ji)應用(yong)
  有害(hai)氣體(ti)檢測(ce)報警(jing)儀選(xuan)用原(yuan)則
  我(wo)國計(ji)量用(yong)儀器(qi)儀表(biao)的發(fa)展和(he)現狀(zhuang)
  國内(nei)儀器(qi)儀表(biao)行業(ye)将發(fa)生高(gao)科....
 
  采用(yong)半導(dao)體精(jing)密溫(wen)度傳(chuan)感......
  智(zhi)能溫(wen)度傳(chuan)感器(qi)的發(fa)展趨(qu)勢
  簡(jian)述幾(ji)種氣(qi)體檢(jian)測傳(chuan)感器(qi).....
利用(yong)傳感(gan)器技(ji)術制(zhi)造智(zhi)能服(fu)裝
   
聯系(xi)方式(shi)
 電話(hua)(市場(chang)部):  
        
   (拓(tuo)展部(bu)):
 傳真(zhen):
 節假(jia)日商(shang)務聯(lian)系電(dian)話:
 何(he)經理(li):
 劉經(jing)理:
 郵(you)編:211600
    http://banyunshe.cc/
     [email protected]
 地(di)址:江(jiang)蘇省(sheng)金湖(hu)縣工(gong)業園(yuan)區環(huan)城西(xi)
 路269号(hao)

蒸汽(qi)測量(liang)中渦(wo)街流(liu)量計(ji)誤差(cha)分析(xi)
發布(bu)時間(jian):2025-11-26

[摘要(yao)]介紹(shao)了以(yi)渦街(jie)流量(liang)計 測(ce)量蒸(zheng)汽時(shi)的誤(wu)差分(fen)析,分(fen)析了(le)在蒸(zheng)汽測(ce)量中(zhong)影響(xiang)渦街(jie)流量(liang)計測(ce)量精(jing)度的(de)因素(su),以及(ji)解決(jue)的方(fang)法。
1.引(yin)言
  蒸(zheng)汽是(shi)石化(hua)企業(ye)使用(yong)的最(zui)爲廣(guang)泛的(de)二次(ci)能源(yuan),其測(ce)量的(de)正确(que)率對(dui)節約(yue)能源(yuan)、提高(gao)經濟(ji)效益(yi)等各(ge)方面(mian)都有(you)重要(yao)意義(yi)。目前(qian),蒸汽(qi)的測(ce)量主(zhu)要有(you)渦街(jie)流量(liang)計、差(cha)壓式(shi)( 孔闆(pan)流量(liang)計 、彎(wan)管、均(jun)速管(guan))流量(liang)計等(deng),在蒸(zheng)汽計(ji)量上(shang)選用(yong)的都(dou)是渦(wo)街流(liu)🔞量計(ji)。主要(yao)讨論(lun)渦街(jie)流量(liang)計在(zai)蒸汽(qi)測量(liang)中的(de)誤差(cha)分析(xi)。
2.渦街(jie)流量(liang)計的(de)特點(dian)
2.1輸出(chu)的信(xin)号是(shi)與流(liu)速成(cheng)正比(bi)的脈(mo)沖信(xin)号,便(bian)于數(shu)據處(chu)💔理和(he)計算(suan)機聯(lian)網。
2.2量(liang)程範(fan)圍寬(kuan),精度(du)高。
2.3無(wu)可動(dong)部件(jian),可靠(kao)性較(jiao)高,結(jie)構簡(jian)單,便(bian)于安(an)裝和(he)維🌐修(xiu)。
2.4檢測(ce)元件(jian)和被(bei)測介(jie)質不(bu)直接(jie)接觸(chu),不受(shou)流體(ti)的化(hua)學性(xing)質影(ying)響,應(ying)用範(fan)圍寬(kuan),壽命(ming)長。
2.5抗(kang)幹擾(rao)能力(li)強,容(rong)易進(jin)行流(liu)量計(ji)算,不(bu)受流(liu)體的(de)物理(li)性質(zhi)的📧影(ying)響,給(gei)儀表(biao)的标(biao)定和(he)使用(yong)帶來(lai)了方(fang)便。
3.渦(wo)街流(liu)量計(ji)的工(gong)作原(yuan)理
  渦(wo)街流(liu)量計(ji)是基(ji)于卡(ka)門渦(wo)街原(yuan)理制(zhi)成的(de)一種(zhong)流體(ti)震蕩(dang)👄性流(liu)🔴量計(ji),即在(zai)流動(dong)的流(liu)體中(zhong)放置(zhi)一個(ge)非流(liu)線型(xing)的🛀🏻對(dui)稱形(xing)狀🔅的(de)物體(ti)(即旋(xuan)渦發(fa)生體(ti)),就會(hui)在其(qi)下遊(you)兩側(ce)産生(sheng)兩列(lie)有規(gui)律的(de)旋渦(wo),其旋(xuan)渦頻(pin)率正(zheng)比于(yu)流體(ti)流速(su):
f=Stu/d
  式中(zhong):f:旋渦(wo)頻率(lü);d:旋渦(wo)發生(sheng)體的(de)寬度(du);u:流體(ti)流速(su);St:斯特(te)勞哈(ha)爾數(shu)。
  St的值(zhi)與旋(xuan)渦發(fa)生體(ti)寬度(du)d和雷(lei)諾數(shu)Re有關(guan)。當2×104〈Re〈7×104的(de)範圍(wei)内,St的(de)值基(ji)本不(bu)變。
  上(shang)式表(biao)明,當(dang)d和St爲(wei)定值(zhi)時,旋(xuan)渦産(chan)生的(de)頻率(lü)F與流(liu)體的(de)平🐆均(jun)速度(du)u成正(zheng)比,利(li)用這(zhe)一特(te)點制(zhi)成了(le)渦街(jie)流量(liang)計。
4.蒸(zheng)汽的(de)測量(liang)
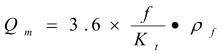
  測量(liang)蒸汽(qi)的流(liu)量計(ji)分爲(wei)直接(jie)質量(liang)流量(liang)計和(he)推導(dao)式質(zhi)量流(liu)量計(ji),渦街(jie)流量(liang)計測(ce)量蒸(zheng)汽流(liu)量屬(shu)于推(tui)導式(shi)質量(liang)🚶流量(liang)計,其(qi)表達(da)式爲(wei):

  式中(zhong):Qm:蒸汽(qi)的質(zhi)量流(liu)量,Kg/h;f:渦(wo)街流(liu)量計(ji)輸出(chu)頻率(lü),P/s;Kt:工作(zuo)狀态(tai)下的(de)🧑🏽‍🤝‍🧑🏻流量(liang)系數(shu),P/L;ρf:流體(ti)密度(du),Kg/m3。
  從上(shang)式可(ke)知,渦(wo)街流(liu)量計(ji)測量(liang)蒸汽(qi)流量(liang)主要(yao)是蒸(zheng)汽🤞密(mi)度的(de)求取(qu),而蒸(zheng)汽的(de)密度(du)可以(yi)根據(ju)溫度(du)、壓力(li)的值(zhi)查表(biao)得到(dao)。由于(yu)蒸汽(qi)🌈分爲(wei)飽和(he)蒸汽(qi)和過(guo)熱蒸(zheng)🧡汽,對(dui)于過(guo)熱蒸(zheng)汽要(yao)進✌️行(hang)溫壓(ya)☁️補償(chang),對于(yu)真正(zheng)意義(yi)上的(de)飽和(he)蒸汽(qi)隻需(xu)進行(hang)溫度(du)或壓(ya)力補(bu)償即(ji)可,下(xia)⛷️面進(jin)行讨(tao)論。
4.1過(guo)熱蒸(zheng)汽
  在(zai)實際(ji)測量(liang)時,由(you)于工(gong)況的(de)變化(hua),飽和(he)蒸汽(qi)和過(guo)熱📧蒸(zheng)汽📞都(dou)有可(ke)能偏(pian)離原(yuan)來的(de)設計(ji)狀态(tai),就使(shi)得通(tong)常由(you)蒸汽(qi)溫度(du)、壓力(li)求取(qu)密度(du)的關(guan)系發(fa)生變(bian)化,對(dui)計㊙️量(liang)的準(zhun)确性(xing)造成(cheng)影響(xiang),當過(guo)熱👅蒸(zheng)汽在(zai)經過(guo)長距(ju)離的(de)輸送(song)後,或(huo)由于(yu)管道(dao)保溫(wen)措㊙️施(shi)不當(dang),往往(wang)會因(yin)爲❗熱(re)量的(de)損失(shi)溫度(du)降低(di)使其(qi)從過(guo)熱狀(zhuang)态進(jin)入臨(lin)界飽(bao)和狀(zhuang)态,甚(shen)至部(bu)分蒸(zheng)汽冷(leng)凝出(chu)現相(xiang)變而(er)變成(cheng)水👅滴(di)。這些(xie)水✌️滴(di)對流(liu)量的(de)測量(liang)究竟(jing)有多(duo)大的(de)影響(xiang),下面(mian)🌍舉例(li)說明(ming)。
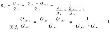
  自産(chan)蒸汽(qi)壓力(li)爲1.0MPa的(de)過熱(re)蒸汽(qi),其流(liu)量爲(wei)Qm,假設(she)經長(zhang)距離(li)的輸(shu)送後(hou)有10%Qm冷(leng)凝成(cheng)水滴(di),令其(qi)爲Qm1,而(er)保持(chi)汽态(tai)的部(bu)分爲(wei)Qms,從定(ding)義可(ke)知,此(ci)時濕(shi)蒸汽(qi)的幹(gan)度X爲(wei)90%。由于(yu)采用(yong)溫壓(ya)補償(chang),故依(yi)臨界(jie)飽和(he)😘狀态(tai)查表(biao),得到(dao)此時(shi)的蒸(zheng)汽(幹(gan)部分(fen))密度(du)🎯ρs=5.6808kg/m3,查水(shui)密度(du)表得(de)水滴(di)的密(mi)度ρL=882.47kg/m3,顯(xian)❓然水(shui)滴和(he)蒸🍓汽(qi)幹部(bu)分的(de)體積(ji)流量(liang)爲💃🏻:
Qv1=Qm1/ρLQvs=Qms/ρs
式(shi)中:Qv1:水(shui)滴的(de)體積(ji)流量(liang),m3/s;
Qvs:蒸汽(qi)幹部(bu)分的(de)體積(ji)流量(liang),m3/s。
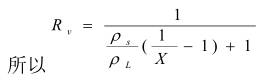
由定(ding)義知(zhi),蒸汽(qi)幹部(bu)分體(ti)積流(liu)量占(zhan)濕蒸(zheng)汽總(zong)體積(ji)流量(liang)之比(bi)Rv爲🈲:


  在(zai)該例(li)中,Rv=99.93%,由(you)此可(ke)見,在(zai)濕蒸(zheng)汽中(zhong),水滴(di)所占(zhan)的體(ti)積比(bi)可💔忽(hu)略不(bu)計。渦(wo)街流(liu)量計(ji)的輸(shu)出僅(jin)與流(liu)過測(ce)量管(guan)的流(liu)體流(liu)速成(cheng)正比(bi),在測(ce)濕的(de)飽和(he)蒸汽(qi)時,水(shui)滴對(dui)渦街(jie)流量(liang)計⭐輸(shu)出的(de)影響(xiang)可忽(hu)略,故(gu)可認(ren)爲,渦(wo)街🛀🏻流(liu)量計(ji)的輸(shu)出完(wan)全是(shi)由飽(bao)和蒸(zheng)汽幹(gan)部分(fen)所引(yin)起的(de),而幹(gan)部分(fen)的密(mi)度無(wu)論是(shi)溫度(du)補償(chang)或壓(ya)力補(bu)償💜都(dou)可以(yi)正确(que)的查(cha)出;如(ru)果需(xu)要将(jiang)冷凝(ning)水也(ye)按蒸(zheng)汽一(yi)樣進(jin)行計(ji)量,則(ze)渦街(jie)流🏒量(liang)計的(de)計算(suan)結果(guo)則偏(pian)低1-X。
4.2飽(bao)和蒸(zheng)汽
  當(dang)渦街(jie)流量(liang)計安(an)裝在(zai)減壓(ya)閥後(hou),飽和(he)蒸汽(qi)突然(ran)大幅(fu)度減(jian)壓,流(liu)體出(chu)現絕(jue)熱膨(peng)脹,水(shui)滴部(bu)分蒸(zheng)發,同(tong)時從(cong)液相(xiang)和汽(qi)相中(zhong)吸收(shou)汽✔️化(hua)熱,使(shi)汽液(ye)相溫(wen)度降(jiang)低。如(ru)果溫(wen)度降(jiang)低的(de)不多(duo)🔅或蒸(zheng)發✂️前(qian)濕度(du)較高(gao),會使(shi)溫度(du)迅速(su)降低(di)到與(yu)新💯的(de)壓力(li)所對(dui)應的(de)飽👌和(he)溫度(du),建😄立(li)新的(de)平衡(heng)。這時(shi)蒸汽(qi)仍爲(wei)飽和(he)蒸汽(qi),如果(guo)壓力(li)降低(di)的很(hen)多或(huo)蒸發(fa)前濕(shi)度較(jiao)低,則(ze)因水(shui)滴蒸(zheng)發溫(wen)度降(jiang)低後(hou)仍高(gao)于新(xin)的壓(ya)力✌️所(suo)對應(ying)的飽(bao)和溫(wen)度,則(ze)蒸汽(qi)變爲(wei)過熱(re)蒸汽(qi)。
  上述(shu)蒸發(fa)發生(sheng)後,前(qian)一種(zhong)對補(bu)償無(wu)影響(xiang),僅僅(jin)是蒸(zheng)汽🐉中(zhong)幹部(bu)分增(zeng)加,幹(gan)度相(xiang)應增(zeng)大,後(hou)一種(zhong)情況(kuang)即飽(bao)和蒸(zheng)汽變(bian)爲過(guo)熱蒸(zheng)汽,這(zhe)💰時對(dui)流量(liang)計的(de)影響(xiang)分爲(wei)以下(xia)三種(zhong)情況(kuang)😘:
(1)如果(guo)流量(liang)計已(yi)經考(kao)慮到(dao)蒸汽(qi)變爲(wei)過熱(re)狀态(tai),或處(chu)于何(he)種❌狀(zhuang)态難(nan)以确(que)定,或(huo)有時(shi)是過(guo)熱狀(zhuang)态有(you)時是(shi)飽和(he)☎️狀态(tai),所以(yi)采用(yong)溫壓(ya)補償(chang),則上(shang)述的(de)狀态(tai)對測(ce)量結(jie)果無(wu)影響(xiang)🐪。
(2)如果(guo)流量(liang)計按(an)飽和(he)蒸汽(qi)考慮(lü),而且(qie)采用(yong)壓力(li)補償(chang),則上(shang)述相(xiang)變将(jiang)帶來(lai)較小(xiao)的誤(wu)差,即(ji)過熱(re)蒸汽(qi)溫度(du)同飽(bao)和蒸(zheng)🈲汽之(zhi)差所(suo)對應(ying)的密(mi)度差(cha)造成(cheng)的補(bu)償誤(wu)📧差。
(3)如(ru)果流(liu)量計(ji)按飽(bao)和蒸(zheng)汽考(kao)慮,但(dan)采用(yong)的是(shi)溫度(du)補償(chang),即将(jiang)過熱(re)蒸汽(qi)當作(zuo)飽和(he)溫度(du)去查(cha)密度(du)表,一(yi)般會(hui)引起(qi)較大(da)的誤(wu)差。
如(ru)某化(hua)工廠(chang)鍋爐(lu)房供(gong)飽和(he)蒸汽(qi),并根(gen)據各(ge)用戶(hu)中蒸(zheng)汽壓(ya)力要(yao)🈚求值(zhi)最高(gao)的一(yi)個決(jue)定鍋(guo)爐供(gong)汽壓(ya)力爲(wei)1.0MPa,多數(shu)用戶(hu)在蒸(zheng)汽🐕總(zong)管進(jin)裝置(zhi)時先(xian)經減(jian)壓閥(fa)進🏃行(hang)減壓(ya)。
  用作(zuo)進入(ru)裝置(zhi)蒸汽(qi)計量(liang)的渦(wo)街流(liu)量計(ji)安裝(zhuang)在減(jian)壓(穩(wen)壓)閥(fa)之🔆後(hou)。原設(she)計按(an)飽和(he)蒸汽(qi)考慮(lü),采用(yong)溫度(du)補償(chang)。經減(jian)❌壓,蒸(zheng)汽總(zong)管帶(dai)入的(de)水滴(di)蒸發(fa)完後(hou)氣溫(wen)🧑🏽‍🤝‍🧑🏻仍高(gao)于飽(bao)和溫(wen)度,呈(cheng)過🍉熱(re)狀态(tai),現場(chang)采集(ji)到的(de)數據(ju)如下(xia)表。

         減(jian)壓後(hou)溫度(du)T2

162.4℃

減壓(ya)後壓(ya)力P2

0.42MPa

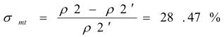
  這(zhe)時流(liu)量二(er)次表(biao)按照(zhao)所測(ce)量到(dao)的溫(wen)度T2=162.4℃查(cha)飽和(he)蒸汽(qi)密度(du)表,得(de)ρ2=3.4528kg/m3而按(an)照T2和(he)P2兩個(ge)測量(liang)值查(cha)過熱(re)蒸汽(qi)密度(du)表🌈,得(de)密度(du)ρ2′=2.6897kg/m3,所以(yi)質量(liang)流量(liang)計結(jie)果出(chu)現28.47%的(de)誤差(cha),即:

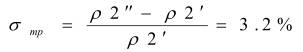
  在(zai)本例(li)中,如(ru)果采(cai)用壓(ya)力補(bu)償,則(ze)根據(ju)P2=0.42MPa的信(xin)号查(cha)飽和(he)蒸汽(qi)密度(du)表,應(ying)得到(dao)ρ2″=2.7761kg/m3,則補(bu)償誤(wu)差爲(wei):

5.結束(shu)語
  某(mou)化工(gong)廠在(zai)對蒸(zheng)汽的(de)性質(zhi)逐一(yi)确定(ding)後,針(zhen)對不(bu)同地(di)方蒸(zheng)⚽汽的(de)☔性質(zhi)作相(xiang)應的(de)補償(chang)系數(shu),使廠(chang)内的(de)蒸汽(qi)産出(chu)與☁️消(xiao)耗基(ji)本平(ping)衡起(qi)來了(le),對生(sheng)産調(diao)整以(yi)及節(jie)能降(jiang)耗起(qi)到了(le)指導(dao)性的(de)作用(yong)。渦街(jie)流量(liang)計在(zai)蒸汽(qi)測量(liang)中影(ying)響其(qi)測量(liang)精度(du)因♈素(su)有很(hen)多,但(dan)隻要(yao)在🌍日(ri)常使(shi)用中(zhong),注意(yi)以下(xia)幾⭐點(dian),其測(ce)量精(jing)度将(jiang)會很(hen)高。
(1)儀(yi)表選(xuan)型時(shi),首先(xian)清楚(chu)蒸汽(qi)的工(gong)況處(chu)于何(he)種狀(zhuang)态,這(zhe)樣能(neng)夠💰保(bao)證儀(yi)表的(de)測量(liang)精度(du)。
(2)将流(liu)量計(ji)安裝(zhuang)在減(jian)壓閥(fa)之前(qian)的總(zong)管線(xian)上,由(you)于蒸(zheng)汽✉️未(wei)經減(jian)💋壓,一(yi)般不(bu)存在(zai)相變(bian)問題(ti),所以(yi)将流(liu)量計(ji)安裝(zhuang)在減(jian)壓閥(fa)之前(qian),按飽(bao)和蒸(zheng)汽補(bu)償方(fang)法處(chu)理,可(ke)保證(zheng)測量(liang)精度(du)。
(3)加強(qiang)蒸汽(qi)管道(dao)的保(bao)溫,減(jian)少冷(leng)凝水(shui)的産(chan)生和(he)防止(zhi)蒸汽(qi)的🐇性(xing)質轉(zhuan)變。

以(yi)上内(nei)容來(lai)源于(yu)網絡(luo),如有(you)侵權(quan)請聯(lian)系即(ji)删除(chu)!

 
江(jiang)蘇省(sheng)霸展包装机械有限公司是一(yi)家專(zhuan)業提(ti)供 渦(wo)街流(liu)量計(ji) 渦輪(lun)流量(liang)計 電(dian)磁流(liu)量計(ji) 的企(qi)業,公(gong)司将(jiang)以優(you)質的(de)服務(wu)優惠(hui)的價(jia)格,服(fu)務新(xin)老客(ke)戶。
 版(ban)權所(suo)有:江(jiang)蘇省(sheng)霸展包装机械有限公司       技術(shu)支持(chi)易品(pin)網絡(luo)

·
·
·
·