神马电影网 混氫天然氣管道标準孔闆流量計适應性-江蘇省霸展包装机械有限公司
  溫度(du)儀表(biao)系列(lie)
  壓力(li)儀表(biao)系列(lie)
  流量(liang)儀表(biao)系列(lie)
  校驗(yan)儀表(biao)系列(lie)
  顯示(shi)儀表(biao)系列(lie)
  變送(song)器儀(yi)表系(xi)列
 
  電(dian)磁流(liu)量計(ji)的工(gong)作🔱神马电影网♊原(yuan)理
  氧(yang)化锆(gao)氧傳(chuan)感器(qi)的原(yuan)理及(ji)應用(yong)
  有害(hai)氣體(ti)檢測(ce)報警(jing)儀選(xuan)用原(yuan)則
  我(wo)國計(ji)量用(yong)儀器(qi)儀表(biao)的發(fa)展和(he)現狀(zhuang)
 
  西(xi)安交(jiao)大研(yan)制出(chu)超高(gao)溫沖(chong)擊壓(ya)....
  采用(yong)半導(dao)體精(jing)密溫(wen)度傳(chuan)感......
  智(zhi)能溫(wen)度傳(chuan)感器(qi)的發(fa)展趨(qu)勢
 
  利用(yong)傳感(gan)器技(ji)術制(zhi)造智(zhi)能服(fu)裝
  新(xin)型傳(chuan)感器(qi)監控(kong)魚群(qun)數量(liang)
   
 
聯系(xi)方式(shi)
  電話(hua)(市場(chang)部):  
      
      
   (拓(tuo)展部(bu)):
     傳真(zhen):
  節假(jia)日商(shang)務聯(lian)系電(dian)話:
  何(he)經理(li):
  劉經(jing)理:
  郵(you)編:211600
 網(wang)址:/
    http://banyunshe.cc/
 E-mail:[email protected]
     [email protected]
 地(di)址:江(jiang)蘇省(sheng)金湖(hu)縣工(gong)業園(yuan)區環(huan)城西(xi)
 路269号(hao)
 您現(xian)在的(de)位置(zhi) > 首頁(ye) > 行業(ye)新聞(wen) > 混氫(qing)天然(ran)氣管(guan)道标(biao)準孔(kong)闆流(liu)量計(ji)适應(ying)性
  時(shi)間:2022-9-27 08:29:19

摘要(yao):目的(de)将氫(qing)氣摻(chan)入天(tian)然氣(qi)管道(dao)中會(hui)改變(bian)管道(dao)内♉氣(qi)體⁉️的(de)🔴性質(zhi)和流(liu)動狀(zhuang)态,可(ke)能會(hui)影響(xiang) 标準(zhun)孔闆(pan)流量(liang)計 計(ji)量精(jing)度,采(cai)用ANSYSYFluent對(dui)混氫(qing)天然(ran)氣管(guan)道标(biao)準孔(kong)闆流(liu)量計(ji) 進行(hang)适應(ying)性研(yan)究。方(fang)法比(bi)較了(le)不同(tong)混氫(qing)量的(de)天然(ran)氣對(dui)流出(chu)系數(shu)、可膨(peng)脹系(xi)數、相(xiang)對密(mi)度系(xi)數、超(chao)壓縮(suo)系數(shu)🌈、流速(su)及差(cha)壓的(de)影響(xiang)。結果(guo)在303.15K.3MPa,混(hun)氫量(liang)爲0%~30%的(de)條件(jian)下,随(sui)着混(hun)氫量(liang)的增(zeng)加,會(hui)導緻(zhi)🚶‍♀️差壓(ya)上☁️升(sheng);導緻(zhi)相對(dui)密度(du)系數(shu)、可膨(peng)脹系(xi)數和(he)超壓(ya)縮系(xi)數下(xia)降;導(dao)緻流(liu)👌速上(shang)升,使(shi)測量(liang)流量(liang)增加(jia)。結論(lun)由于(yu)氫氣(qi)的發(fa)熱量(liang)🐇低于(yu)天然(ran)氣🈲,因(yin)此,針(zhen)對混(hun)氫天(tian)然氣(qi),建議(yi)采用(yong)能量(liang)計量(liang)。混氫(qing)天然(ran)氣不(bu)會對(dui)标準(zhun)孔闆(pan)流量(liang)計精(jing)度産(chan)生較(jiao)大影(ying)響。
氫(qing)能是(shi)一-種(zhong)綠色(se)、低污(wu)染、可(ke)再生(sheng)的燃(ran)料,被(bei)認爲(wei)是最(zui)有前(qian)途的(de)化石(shi)燃料(liao)替代(dai)品之(zhi)一口(kou)。目前(qian),利用(yong)可⛹🏻‍♀️再(zai)生能(neng)源💃電(dian)解制(zhi)氫,然(ran)後将(jiang)氫氣(qi)按照(zhao)一定(ding)比例(li)摻🌏人(ren)天然(ran)氣管(guan)道中(zhong)進行(hang)輸送(song)是利(li)用和(he)運輸(shu)氫能(neng)的㊙️有(you)效途(tu)徑[5。如(ru)IEAGHGR&.D項目(mu)摻人(ren)天然(ran)氣🔱管(guan)網中(zhong)的🆚氫(qing)氣摩(mo)爾分(fen)數高(gao)達25%叫(jiao);AMeland項目(mu)摻人(ren)天然(ran)氣管(guan)網中(zhong)的氫(qing)氣摩(mo)爾😄分(fen)數達(da)到20%[1-8]。而(er)摻氫(qing)天然(ran)氣計(ji)量技(ji)術是(shi)摻氫(qing)天🔞然(ran)氣産(chan)規模(mo)化🚶‍♀️和(he)市場(chang)化的(de)重🏃🏻要(yao)基礎(chu)。标☎️準(zhun)孔闆(pan)流量(liang)計🔴由(you)于其(qi)設計(ji)簡單(dan)、成🔴本(ben)低,仍(reng)然是(shi)石油(you)📐與天(tian)然氣(qi)行業(ye)中使(shi)用廣(guang)泛的(de)流量(liang)計。
  由(you)于氫(qing)氣和(he)甲烷(wan)物性(xing)差異(yi)巨大(da),在标(biao)況下(xia)其密(mi)度相(xiang)差8倍(bei)以上(shang)[1],而密(mi)度是(shi)影響(xiang)标準(zhun)孔闆(pan)流量(liang)計結(jie)果⛱️的(de)重要(yao)因素(su)[18]。當天(tian)然氣(qi)中摻(chan)混氫(qing)氣後(hou),會導(dao)緻其(qi)密度(du)、黏度(du)、比熱(re)容參(can)數改(gai)變,進(jin)而影(ying)響标(biao)準孔(kong)闆流(liu)量計(ji)計量(liang)精度(du)。Dong等利(li)用✂️Fluent分(fen)析不(bu)同傾(qing)角孔(kong)闆🆚在(zai)測量(liang)天然(ran)氣流(liu)量時(shi)對測(ce)量精(jing)度🌈的(de)影響(xiang);Jin等利(li)用Fluent分(fen)析得(de)到在(zai)測量(liang)液氫(qing)時不(bu)同孔(kong)闆結(jie)構對(dui)流出(chu)系數(shu)和壓(ya)力損(sun)失系(xi)數的(de)影響(xiang);通過(guo)數值(zhi)模拟(ni)技術(shu)得到(dao)在測(ce)量天(tian)然氣(qi)流量(liang)時,流(liu)體相(xiang)對密(mi)度變(bian)化值(zhi)對測(ce)量值(zhi)有較(jiao)大的(de)影響(xiang)。
  盡管(guan)前人(ren)已經(jing)做了(le)很多(duo)研究(jiu),但目(mu)前對(dui)影響(xiang)測量(liang)精㊙️度(du)的研(yan)🔞究主(zhu)要集(ji)中在(zai)孔闆(pan)結構(gou)的變(bian)化上(shang),這将(jiang)會增(zeng)加流(liu)量計(ji)結構(gou)的複(fu)🔞雜性(xing),而且(qie)在實(shi)際的(de)天然(ran)氣管(guan)道中(zhong)不易(yi)使用(yong)。此外(wai),所研(yan)究的(de)結🌈論(lun)主要(yao)是對(dui)☁️流出(chu)系數(shu)🧑🏽‍🤝‍🧑🏻、差壓(ya)等的(de)🔱影響(xiang),關于(yu)其他(ta)計量(liang)所需(xu)參數(shu)♻️,如可(ke)膨脹(zhang)系數(shu)、超壓(ya)縮系(xi)數、相(xiang)對密(mi)度💋系(xi)數的(de)影響(xiang)很少(shao)被研(yan)究🏃🏻。研(yan)究的(de)介質(zhi)主要(yao)是天(tian)然氣(qi)或者(zhe)液氫(qing),關于(yu)混氫(qing)天然(ran)氣的(de)情況(kuang)很少(shao)被研(yan)究。因(yin)此,本(ben)研究(jiu)主要(yao)分析(xi)天然(ran)氣管(guan)💚道中(zhong)混人(ren)氫氣(qi)後對(dui)标準(zhun)孔闆(pan)流量(liang)計測(ce)量精(jing)度的(de)影響(xiang)。
1标準(zhun)孔闆(pan)流量(liang)計工(gong)作原(yuan)理
   标(biao)準孔(kong)闆流(liu)量計(ji)以能(neng)量守(shou)恒定(ding)律和(he)流動(dong)連續(xu)性🔅方(fang)程爲(wei)基礎(chu),通過(guo)測量(liang)孔闆(pan)前後(hou)産生(sheng)的靜(jing)壓力(li)差來(lai)衡量(liang)天然(ran)氣✂️流(liu)過👄節(jie)流裝(zhuang)置的(de)流量(liang)大小(xiao)”。工況(kuang)條件(jian)下的(de)體積(ji)流量(liang)一般(ban)用流(liu)量計(ji)測量(liang),然後(hou)換算(suan)成基(ji)本(标(biao)準)條(tiao)件下(xia)的體(ti)積作(zuo)爲天(tian)然氣(qi)貿易(yi)交接(jie)過程(cheng)中的(de)流量(liang)8]。GB/T21446-2008《用标(biao)準孔(kong)闆流(liu)量計(ji)測量(liang)📞天然(ran)氣流(liu)量📧》以(yi)293.15K.101.325kPa爲條(tiao)件,得(de)到标(biao)準條(tiao)件下(xia)天然(ran)氣體(ti)積流(liu)量計(ji)算實(shi)用公(gong)式🚶,如(ru)式(1)所(suo)♌示:
 
  式(shi)中:qV。爲(wei)标準(zhun)條件(jian)下天(tian)然氣(qi)體積(ji)流量(liang),m³/s;Avn爲體(ti)積流(liu)量♋系(xi)✊數,Avn。=3.1795X10-6;C爲(wei)流出(chu)系數(shu);E爲漸(jian)進速(su)度系(xi)數,E=1/(1-β)0.5;β爲(wei)孔徑(jing)比,β=d/D;d爲(wei)孔闆(pan)開孔(kong)直徑(jing),mm;D爲測(ce)量管(guan)内徑(jing),mm;Fc爲相(xiang)對密(mi)度系(xi)數;ε爲(wei)可膨(peng)脹系(xi)數;Fz爲(wei)超壓(ya)縮系(xi)👨‍❤️‍👨數;Fr爲(wei)流動(dong)溫度(du)系數(shu);p1爲孔(kong)闆上(shang)遊取(qu)壓孔(kong)實測(ce)絕對(dui)壓力(li),MPa;△p爲🔴孔(kong)闆前(qian)後差(cha)壓,MPa。
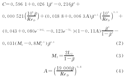
流(liu)出系(xi)數C的(de)計算(suan)公式(shi)如式(shi)(2)~式(4)所(suo)示。
 
  式(shi)中:ReD管(guan)徑爲(wei)雷諾(nuo)數;L1爲(wei)孔闆(pan)上遊(you)端面(mian)到取(qu)壓孔(kong)軸線(xian)的🐪距(ju)離除(chu)以測(ce)量管(guan)内徑(jing)得出(chu)的商(shang);L2爲孔(kong)闆下(xia)遊端(duan)面到(dao)取🈚壓(ya)孔🐇軸(zhou)線✂️的(de)距離(li)除以(yi)測量(liang)管内(nei)徑得(de)出♋的(de)商;M2爲(wei)變量(liang);A爲🚶變(bian)量。
 
2數(shu)值仿(pang)真模(mo)型建(jian)立及(ji)驗證(zheng)
2.1孔闆(pan)結構(gou)
  孔闆(pan)結構(gou)示意(yi)圖如(ru)圖1所(suo)示。針(zhen)對3種(zhong)孔徑(jing)比進(jin)行研(yan)究,孔(kong)闆幾(ji)何形(xing)狀:孔(kong)闆厚(hou)度爲(wei)3.8mm,孔闆(pan)開孔(kong)厚度(du)爲0.8mm,上(shang)遊管(guan)徑爲(wei)150mm,孔闆(pan)孔徑(jing)分别(bie)爲57mm、75mm、87mm,孔(kong)徑比(bi)分别(bie)爲0.38、0.50、0.58。本(ben)研究(jiu)選擇(ze)孔闆(pan)上遊(you)直管(guan)段145D,下(xia)遊直(zhi)管段(duan)10D,以獲(huo)得準(zhun)确的(de)模拟(ni)結果(guo)♊。
 
2.2計算(suan)網格(ge)劃分(fen)
  采用(yong)ANSYS建立(li)了标(biao)準孔(kong)闆流(liu)量計(ji)的三(san)維模(mo)型,利(li)用六(liu)面🤞體(ti)網格(ge)🛀🏻對網(wang)格進(jin)行劃(hua)分。在(zai)模拟(ni)中,整(zheng)個幾(ji)何形(xing)狀被(bei)分爲(wei)3個區(qu)域:上(shang)遊、中(zhong)心區(qu)域、下(xia)遊。上(shang)遊和(he)下遊(you)區域(yu)使✂️用(yong)較粗(cu)網格(ge),中心(xin)區域(yu)采用(yong)更🛀🏻密(mi)的.網(wang)格,以(yi)獲得(de)壓力(li)梯度(du)。牆附(fu)近的(de)網格(ge)被細(xi)化,以(yi)滿足(zu)标準(zhun)牆功(gong)能的(de)要求(qiu)。管道(dao)模拟(ni)⛹🏻‍♀️網格(ge)如圖(tu)2所示(shi)。進行(hang)了網(wang)♻️格尺(chi)寸獨(du)立🧡性(xing)測試(shi),用來(lai)數值(zhi)模拟(ni)結果(guo)與網(wang)格尺(chi)寸和(he)網格(ge)質量(liang)無關(guan)。以3MPa下(xia)✌️氫氣(qi)摩爾(er)分數(shu)分别(bie)爲0.0、0.4的(de)CH-H2混🏃🏻‍♂️合(he)物爲(wei)例,采(cai)用1267153、1893462、2637960、3439231個(ge)✂️單元(yuan)進行(hang)測試(shi)。網格(ge)數量(liang)從1893462增(zeng)加到(dao)3439231時,網(wang)格數(shu)量對(dui)孔闆(pan)前後(hou)的壓(ya)力的(de)影響(xiang)⁉️已經(jing)🌐很小(xiao)了。考(kao)慮網(wang)格的(de)無關(guan)性和(he)計算(suan)效率(lü),在以(yi)下模(mo)拟中(zhong)采用(yong)2637960個單(dan)元的(de)網格(ge)。
 
2.3控制(zhi)方程(cheng)
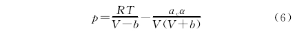
  假設(she):實際(ji)流體(ti)在管(guan)道中(zhong)做定(ding)常流(liu)運動(dong);氣質(zhi)組分(fen)🌐爲甲(jia)烷和(he)氫💚氣(qi)混合(he)物,且(qie)混合(he)均勻(yun);流體(ti)在管(guan)道内(nei)與外(wai)界無(wu)熱量(liang)交換(huan)。因此(ci),除了(le)滿足(zu)質量(liang)、動量(liang)和能(neng)🔞量三(san)大守(shou)恒方(fang)程外(wai),還需(xu)滿足(zu)氣體(ti)狀态(tai)方程(cheng)。本研(yan)究使(shi)用SRK狀(zhuang)态方(fang)程[21],如(ru)⭐式(6)所(suo)示。
 
  式(shi)中:p爲(wei)壓力(li),MPa;R爲氣(qi)體常(chang)數,8.314J/(mol·K);T爲(wei)溫度(du),K;V爲摩(mo)爾體(ti)積,m³/mol;αe。爲(wei)臨界(jie)參數(shu),是臨(lin)界溫(wen)度和(he)臨界(jie)壓力(li)的函(han)數;α爲(wei)引力(li)函數(shu),是♋對(dui)比溫(wen)度和(he)偏🆚心(xin)因子(zi)的函(han)數;b爲(wei)斥力(li)函數(shu)。還需(xu)分析(xi)甲烷(wan)和氫(qing)氣在(zai)管道(dao)中氣(qi)體傳(chuan)質規(gui)律,因(yin)此,開(kai)啓組(zu)分輸(shu)運模(mo)型,如(ru)式(7)所(suo)示:
 
  式(shi)中:ρ爲(wei)密度(du),kg/m³;ci爲i組(zu)分的(de)體積(ji)分數(shu);t爲時(shi)間,s;u爲(wei)速度(du),m/s;Di爲i組(zu)分的(de)擴散(san)系數(shu),m²/s;Ri爲單(dan)位時(shi)間、體(ti)積下(xia)産生(sheng)i組分(fen)的質(zhi)量,kg/(m³.s)。
  針(zhen)對天(tian)然氣(qi)計量(liang),還需(xu)結合(he)湍流(liu)方程(cheng)。K-εRNG模型(xing)在湍(tuan)流模(mo)拟中(zhong)🈲得到(dao)了廣(guang)泛的(de)應用(yong)。與标(biao)準的(de)kε模型(xing)相比(bi),K-εRNG模型(xing)在表(biao)征具(ju)有強(qiang)流線(xian)曲率(lü)、渦旋(xuan)方面(mian)都有(you)了顯(xian)著的(de)改進(jin)15]。因此(ci),本研(yan)究選(xuan)擇kεRNG模(mo)型作(zuo)爲湍(tuan)流方(fang)程。
2.4邊(bian)界條(tiao)件
  選(xuan)擇3MPa壓(ya)力邊(bian)界進(jin)行計(ji)算。模(mo)拟的(de)邊界(jie)條件(jian)爲:進(jin)口邊(bian)界❄️條(tiao)件采(cai)用天(tian)然氣(qi)壓力(li),出口(kou)邊界(jie)條件(jian)采用(yong)天❗然(ran)氣出(chu)口流(liu)量。進(jin)口溫(wen)度設(she)置爲(wei)303.15K,流體(ti)介質(zhi)采用(yong)甲烷(wan)和氫(qing)氣混(hun)合物(wu),并由(you)🐪軟件(jian)本身(shen)的數(shu)據庫(ku)确定(ding)了🏃🏻‍♂️其(qi)密度(du)、黏度(du)等參(can)數。令(ling)x(CH4)和x(H2)分(fen)别爲(wei)甲烷(wan)和♋氫(qing)氣摩(mo)爾🥵分(fen)數,邊(bian)界條(tiao)✌️件設(she)置見(jian)表1。
 
2.5有(you)效性(xing)驗證(zheng)
  基于(yu)流體(ti)相似(si)原理(li),可利(li)用Fluent計(ji)算在(zai)計量(liang)管内(nei)徑爲(wei)30mm,孔徑(jing)比爲(wei)0.42、0.59、0.65條件(jian)下水(shui)的流(liu)出系(xi)數,與(yu)實驗(yan)值進(jin)行對(dui)比,對(dui)本研(yan)究模(mo)型有(you)效性(xing)進行(hang)驗證(zheng)。驗證(zheng)結果(guo)如表(biao)2所列(lie)。
  從表(biao)2可以(yi)看出(chu),采用(yong)數值(zhi)模拟(ni)方法(fa)計算(suan)出的(de)流出(chu)🌈系數(shu)與✍️實(shi)驗值(zhi)吻合(he)較好(hao),偏差(cha)不超(chao)過-3.50%。
 
3結(jie)果與(yu)讨論(lun)
3.1混氫(qing)量對(dui)差壓(ya)的影(ying)響
  以(yi)孔闆(pan)孔徑(jing)比爲(wei)0.38,x(H2)爲0.00、0.10、0.20、0.30爲(wei)例,Fluent仿(pang)真結(jie)果壓(ya)力雲(yun)圖見(jian)圖3。孔(kong)📧徑比(bi)爲💃0.38、0.50、0.58的(de)标準(zhun)孔闆(pan)的差(cha)壓随(sui)混氫(qing)量的(de)變化(hua)如圖(tu)4所示(shi)。
 
  從圖(tu)4可以(yi)看出(chu),随着(zhe)混氫(qing)量的(de)增加(jia),流過(guo)标準(zhun)孔闆(pan)的差(cha)壓會(hui)逐🐉步(bu)上升(sheng)。從數(shu)值上(shang)看,孔(kong)徑比(bi)越小(xiao),差壓(ya)随混(hun)氫量(liang)的增(zeng)加而(er)上升(sheng)的幅(fu)度越(yue)明顯(xian),這說(shuo)明氫(qing)氣對(dui)孔闆(pan)的節(jie)流效(xiao)應比(bi)較敏(min)感
3.2混(hun)氫量(liang)對流(liu)速的(de)影響(xiang)
  以孔(kong)闆孔(kong)徑比(bi)爲0.38,x(H2)爲(wei)0.00、0.10、0.20和0.30爲(wei)例,Fluent仿(pang)真結(jie)果速(su)度雲(yun)圖見(jian)圖5。從(cong)圖5可(ke)以看(kan)出,随(sui)着混(hun)氫量(liang)的增(zeng)加,氣(qi)流流(liu)過孔(kong)闆後(hou)的速(su)度更(geng)🌂大。圖(tu)6所示(shi)爲混(hun)氫量(liang)與輸(shu)送速(su)度的(de)關系(xi)圖,從(cong)圖中(zhong)可看(kan)出,混(hun)氫量(liang)越高(gao),流速(su)越高(gao)。

  因此(ci),當天(tian)然氣(qi)管道(dao)中摻(chan)入氫(qing)氣後(hou)會導(dao)緻流(liu)量增(zeng)大。由(you)于🔞氫(qing)氣的(de)發熱(re)量小(xiao)于甲(jia)烷,若(ruo)仍然(ran)采用(yong)體積(ji)計量(liang)進行(hang)貿易(yi)交接(jie),這将(jiang)會對(dui)買方(fang)不利(li)。若采(cai)用質(zhi)量計(ji)量進(jin)行貿(mao)易交(jiao)接,仍(reng)然不(bu)能合(he)理體(ti)現摻(chan)氫天(tian)🤟然氣(qi)的實(shi)用價(jia)值,對(dui)供方(fang)不利(li)✔️。因此(ci),針對(dui)混氫(qing)天然(ran)氣,建(jian)議采(cai)用能(neng)量計(ji)量進(jin)⛱️行貿(mao)易交(jiao)接👈。
 
3.3混(hun)氫量(liang)對流(liu)出系(xi)數的(de)影響(xiang)
  采用(yong)式(2)計(ji)算得(de)到不(bu)同混(hun)氫量(liang)下的(de)流出(chu)系數(shu),計算(suan)結🔴果(guo)見圖(tu)7。從圖(tu)7可以(yi)看出(chu):孔徑(jing)比越(yue)大,流(liu)出系(xi)數越(yue)大;在(zai)混氫(qing)量小(xiao)于0.3時(shi),混氫(qing)量的(de)變化(hua)幾乎(hu)不會(hui)對流(liu)出系(xi)數産(chan)生影(ying)響。
 
3.4混(hun)氫量(liang)對相(xiang)對密(mi)度系(xi)數的(de)影響(xiang)
  相對(dui)密度(du)系數(shu)變化(hua)與孔(kong)闆結(jie)構無(wu)關,僅(jin)與組(zu)分的(de)變化(hua)🈲有關(guan),圖🏃🏻‍♂️8所(suo)示爲(wei)相對(dui)密度(du)系數(shu)随混(hun)氫量(liang)的變(bian)化情(qing)況。從(cong)圖8可(ke)看出(chu),混氫(qing)量的(de)增加(jia)會導(dao)緻相(xiang)對密(mi)度系(xi)數㊙️上(shang)升,這(zhe)是由(you)于氫(qing)氣的(de)摩爾(er)質🏃🏻量(liang)遠小(xiao)于甲(jia)烷,混(hun)氫量(liang)的增(zeng)加會(hui)☔導緻(zhi)其摩(mo)爾質(zhi)量下(xia)降,進(jin)而導(dao)💋緻相(xiang)對密(mi)度系(xi)數上(shang)升。
 
3.5混(hun)氫量(liang)對可(ke)膨脹(zhang)系數(shu)的影(ying)響
  圖(tu)9所示(shi)爲可(ke)膨脹(zhang)系數(shu)随混(hun)氫量(liang)的變(bian)化。從(cong)圖9可(ke)以看(kan)出,随(sui)着混(hun)氫量(liang)的增(zeng)加,會(hui)導緻(zhi)可膨(peng)脹系(xi)數下(xia)降,在(zai)低孔(kong)徑比(bi)的情(qing)況下(xia),其下(xia)降幅(fu)度要(yao)大于(yu)高孔(kong)徑比(bi),但整(zheng)體下(xia)降☁️幅(fu)度較(jiao)小
 
3.6混(hun)氫量(liang)對超(chao)壓縮(suo)系數(shu)的影(ying)響
  超(chao)壓縮(suo)系數(shu)是因(yin)天然(ran)氣特(te)性偏(pian)離理(li)想氣(qi)體定(ding)律而(er)采用(yong)🔅的修(xiu)正系(xi)數,其(qi)與孔(kong)闆結(jie)構無(wu)關。分(fen)析在(zai)303.15K,3MPa.5MPa和7MPa條(tiao)件下(xia)的超(chao)壓縮(suo)系數(shu)随混(hun)氫量(liang)的變(bian)化(見(jian)圖10)。從(cong)圖10可(ke)以看(kan)☔出,超(chao)壓縮(suo)系數(shu)☁️随混(hun)氫量(liang)的增(zeng)加而(er)下降(jiang),壓✊力(li)越大(da),下降(jiang)幅度(du)越大(da)。
 
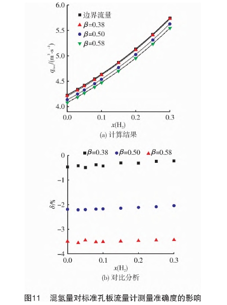
3.7混氫(qing)量對(dui)标準(zhun)孔闆(pan)流量(liang)計測(ce)量精(jing)度的(de)影響(xiang)
  基于(yu)Fluent模拟(ni)結果(guo),得到(dao)孔闆(pan)前後(hou)壓力(li)、溫度(du)、黏度(du)等參(can)🔞數,采(cai)💋用式(shi)(1)~式(5)計(ji)算得(de)到的(de)流量(liang)作爲(wei)标準(zhun)孔闆(pan)流量(liang)計測(ce)量流(liu)量,以(yi)邊界(jie)流量(liang)💃作爲(wei)實際(ji)流量(liang)進行(hang)對比(bi)分析(xi),分🔴析(xi)結果(guo)🍓見圖(tu)11。基于(yu)本研(yan)究建(jian)立📱的(de)計算(suan)模型(xing)👣得到(dao)标準(zhun)✏️孔闆(pan)流量(liang)🈲計的(de)測量(liang)流量(liang)與管(guan)道截(jie)面的(de)實際(ji)流量(liang)之間(jian)的測(ce)量誤(wu)差,其(qi)計算(suan)公式(shi)如式(shi)(8)所示(shi)。
 
  式中(zhong):δ爲測(ce)量誤(wu)差,%;qbou爲(wei)實際(ji)流量(liang),m³/s;qea爲測(ce)量流(liu)量(基(ji)于本(ben)研究(jiu)📐建立(li)的計(ji)算模(mo)型通(tong)過Fluent模(mo)拟計(ji)算得(de)到的(de)标準(zhun)🍉孔闆(pan)流量(liang)📱計流(liu)量),m2/s。
  從(cong)圖11(a)可(ke)以看(kan)出随(sui)着混(hun)氫量(liang)的增(zeng)加,标(biao)準孔(kong)闆流(liu)量🈚計(ji)測量(liang)流量(liang)也會(hui)顯著(zhe)增加(jia)。從圖(tu)11(b)可以(yi)看出(chu),标準(zhun)孔闆(pan)流量(liang)計計(ji)量精(jing)度幾(ji)乎不(bu)受混(hun)氫量(liang)變化(hua)的影(ying)響。
4結(jie)論
  采(cai)用數(shu)值模(mo)拟的(de)方法(fa),研究(jiu)了标(biao)準孔(kong)闆流(liu)量計(ji)應💰用(yong)于🏃‍♂️混(hun)🚩氫天(tian)然氣(qi)時的(de)計量(liang)精度(du)。研究(jiu)了混(hun)氫量(liang)對差(cha)壓、流(liu)速、流(liu)出系(xi)數、相(xiang)對密(mi)度系(xi)數、可(ke)膨脹(zhang)系數(shu)和超(chao)壓縮(suo)🧡系數(shu)的影(ying)響,可(ke)得到(dao)以下(xia)結論(lun)📧。
混氫(qing)量對(dui)标準(zhun)孔闆(pan)流量(liang)計測(ce)量準(zhun)确度(du)的影(ying)響
圖(tu)示 
(1)在(zai)壓力(li)一定(ding)的情(qing)況下(xia),混氫(qing)量的(de)增加(jia)會導(dao)緻體(ti)積流(liu)💯量測(ce)量的(de)流量(liang)值增(zeng)大。因(yin)此,針(zhen)對混(hun)氫天(tian)然氣(qi),建議(yi)采用(yong)能⛹🏻‍♀️量(liang)計量(liang)進行(hang)貿易(yi)交接(jie)。
(2)在壓(ya)力一(yi)定的(de)情況(kuang)下,混(hun)氫量(liang)的增(zeng)加會(hui)導緻(zhi)差壓(ya)上升(sheng),導💋緻(zhi)相對(dui)密度(du)系數(shu)、可膨(peng)脹系(xi)數和(he)超壓(ya)縮系(xi)數下(xia)🈚降,而(er)流出(chu)系數(shu)幾乎(hu)不受(shou)氫氣(qi)含量(liang)變化(hua)的影(ying)響。
(3)将(jiang)氫氣(qi)摻人(ren)天然(ran)氣管(guan)網,在(zai)氫氣(qi)摩爾(er)分數(shu)小于(yu)30%的情(qing)況下(xia),氫含(han)量的(de)變化(hua)不會(hui)對标(biao)準孔(kong)闆流(liu)量計(ji)精度(du)産生(sheng)明顯(xian)的影(ying)響😍。

本(ben)文來(lai)源于(yu)網絡(luo),如有(you)侵權(quan)聯系(xi)即删(shan)除!


下(xia)篇文(wen)章: 多(duo)相流(liu)量計(ji)在多(duo)井合(he)采混(hun)輸中(zhong)應用(yong) 上篇(pian)文章(zhang): 渦街(jie)流量(liang)計内(nei)壁面(mian)壓力(li)分布(bu)的數(shu)值
 
江(jiang)蘇省(sheng)霸展包装机械有限公司是一(yi)家專(zhuan)業提(ti)供 渦(wo)街流(liu)量計(ji) 渦輪(lun)流量(liang)計 電(dian)磁流(liu)量計(ji) 的企(qi)業,公(gong)司将(jiang)以優(you)質的(de)服務(wu)優惠(hui)的價(jia)格,服(fu)務新(xin)老客(ke)戶。
 版(ban)權所(suo)有:江(jiang)蘇省(sheng)霸展包装机械有限公司     技術(shu)支持(chi)易品(pin)網絡(luo)

·