高溫(wen)壓大口(kou)徑蒸汽(qi)流量計(ji)的選型(xing) 發布時(shi)間:2025-11-26 08:45:04
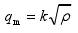
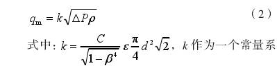
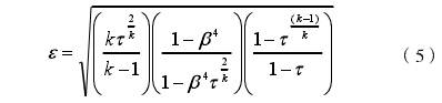
一、高(gao)溫壓、大(da)口徑蒸(zheng)汽流量(liang)計 的選(xuan)型分析(xi) 近年來(lai),流量測(ce)量技術(shu)獲得了(le)發展,蒸(zheng)汽流量(liang)測量大(da)多使用(yong) 差壓式(shi)流量計(ji) 和 渦街(jie)流量計(ji) ,在實際(ji)應用中(zhong),高溫型(xing)渦街流(liu)量計最(zui)大口徑(jing)隻能做(zuo)到300mm,最高(gao)溫💘度450℃。因(yin)此,在高(gao)溫壓大(da)口徑蒸(zheng)汽流量(liang)測量中(zhong),差壓式(shi)流量計(ji)仍然具(ju)有優勢(shi),其選型(xing)綜合分(fen)析如表(biao)1所示。 由(you)表1可知(zhi),在高溫(wen)壓、大口(kou)徑蒸汽(qi)管線上(shang)采用ISA1932标(biao)準噴嘴(zui)可獲得(de)較高的(de)測量精(jing)度。但包(bao)括标準(zhun)噴嘴在(zai)内的🤩标(biao)準🐆節流(liu)裝置是(shi)在常用(yong)流量下(xia)按額定(ding)工況進(jin)行設計(ji)的,在傳(chuan)統的♊蒸(zheng)汽流量(liang)測量中(zhong),由于密(mi)度💋受壓(ya)力、溫📧度(du)的影響(xiang)較大,所(suo)以🤟在測(ce)量差壓(ya)AP的同時(shi),安裝壓(ya)力變送(song)器和溫(wen)度變送(song)器進行(hang)部分密(mi)度補‼️償(chang)。 數由額(e)定工況(kuang)時的各(ge)參數值(zhi)(C、β、e、d)計算得(de)到,但在(zai)蒸汽🌈流(liu)量測量(liang)⚽這個動(dong)态過程(cheng)中,随着(zhe)管道中(zhong)溫度、壓(ya)力和流(liu)量的不(bu)斷變化(hua)👉,流體‼️的(de)雷諾數(shu)Re也在動(dong)态地變(bian)化,不僅(jin)密度ρ在(zai)動态變(bian)化,其他(ta)參數(C、β、e、d)均(jun)可能偏(pian)離額♋定(ding)工況值(zhi),部分補(bu)償🥰的方(fang)式導🥵緻(zhi)測量誤(wu)差較大(da)。針對傳(chuan)統差壓(ya)流量測(ce)量系統(tong)中存在(zai)的缺點(dian)和不足(zu)而研制(zhi)智能化(hua)多變量(liang)變送器(qi),将影響(xiang)準确測(ce)量的這(zhe)些因素(su)降到最(zui)低程度(du)。 二、多變(bian)量變送(song)器全補(bu)償方法(fa). 根據差(cha)壓式流(liu)量計流(liu)量公式(shi)(1)的分析(xi)推導, 在(zai)式(3)中,将(jiang)影響流(liu)量測量(liang)的各參(can)數比式(shi)(1)更清晰(xi)直觀表(biao)達出來(lai)💞了。首先(xian):多變量(liang)變送器(qi)穩定性(xing)高,差壓(ya)△P精度可(ke)高📧達+0.04%,滿(man)足了差(cha)壓△P測量(liang)的精度(du)要求;其(qi)次,采用(yong)智能技(ji)術的多(duo)變量變(bian)送器🐕運(yun)行速🔴度(du)極快,通(tong)過參數(shu)C、ε、E、d和ρ實時(shi)動态全(quan)補償,補(bu)償方法(fa)如下: 1.流(liu)出系數(shu)C的補償(chang). 根據GB/T2624.3-2006《用(yong)安裝在(zai)圓形截(jie)面管道(dao)中的差(cha)壓裝置(zhi)測量滿(man)❓管流體(ti)流量第(di)3部分:噴(pen)嘴和文(wen)丘裏噴(pen)嘴》,ISA1932噴嘴(zui)流出系(xi)數C與Re和(he)β的之間(jian)的定量(liang)關系爲(wei) C系數與(yu)蒸汽流(liu)量qm爲線(xian)性關系(xi),對于氣(qi)體和蒸(zheng)汽來說(shuo),流🌐量⭐變(bian)化引起(qi)的C系數(shu)誤差一(yi)般在0.25%~2.5%之(zhi)間。運用(yong)流量系(xi)數補🔆償(chang)後,C系數(shu)誤差就(jiu)可避免(mian)。 2.蒸汽膨(peng)脹系數(shu)ε的補償(chang) 根據GB/T2624.3--2006,标(biao)準噴嘴(zui)的可膨(peng)脹系數(shu)爲 式中(zhong):k-等熵指(zhi)數;τ=P|/P,下遊(you)取壓口(kou)處的絕(jue)對靜壓(ya)P2與上遊(you)取壓口(kou)處的絕(jue)對靜壓(ya)P1之比;氣(qi)體膨脹(zhang)系數?與(yu)蒸汽流(liu)量㊙️qm爲線(xian)性關系(xi)。 現場一(yi)個在用(yong)的直徑(jing)450mm、設計流(liu)量爲50t/h的(de)ISA1932噴嘴,當(dang)用戶😄因(yin)不同工(gong)況所需(xu)蒸汽流(liu)量在(33~130)t/h變(bian)化時,引(yin)起的氣(qi)體膨脹(zhang)🚶♀️系數。誤(wu)差❤️在0.17%--1.72%之(zhi)間。由此(ci)可見,在(zai)測量蒸(zheng)汽流量(liang)時,若把(ba)氣體膨(peng)脹系數(shu)ε當作常(chang)✍️數處理(li)将産生(sheng)誤差,對(dui)ε進行補(bu)償是很(hen)有🈲必要(yao)的。 3.漸進(jin)系數E和(he)d2的補償(chang) 将式(6)代(dai)人式(8)得(de): △qm=[1+a1(1-330℃)]2-1=2a1(t-330)+[a1(1-330℃)]2 如果噴(pen)嘴工作(zuo)的溫度(du)範圍爲(wei)300~400℃,節流件(jian)材質爲(wei)316,查表得(de)💘a=0.0000175mm/mm℃,噴嘴喉(hou)部内徑(jing)爲206.236mm,則由(you)内徑d所(suo)造成的(de)最大相(xiang)對誤差(cha)爲. △qm=2a1(400-330)+[a1(400-330)]2=0.26% 由此(ci)可知,對(dui)d2和E進行(hang)補償,即(ji)實現了(le)孔徑d、管(guan)徑D和孔(kong)徑比β的(de)全補償(chang),這也是(shi)多變量(liang)變送器(qi)能實現(xian)準确度(du)計量的(de)一個重(zhong)要因素(su)。 4.蒸汽密(mi)度ρ的補(bu)償 在其(qi)他參數(shu)不變的(de)情況下(xia),蒸汽流(liu)量qm與密(mi)度.ρ之間(jian)的關💋系(xi)爲,可以(yi)看出,蒸(zheng)汽流量(liang)計與蒸(zheng)汽密度(du)的平方(fang)根成正(zheng)♊比關系(xi)。蒸汽是(shi)壓縮性(xing)氣體,當(dang)其溫度(du)、壓力變(bian)化時,其(qi)密度将(jiang)發生明(ming)顯的變(bian)化,這将(jiang)引起流(liu)量很大(da)的誤差(cha) 式中:qm、qm設(she)一一實(shi)際流量(liang)測量和(he)設計工(gong)況下的(de)流量,kg/s;ρ和(he)p設一-蒸(zheng)汽的實(shi)際密度(du)和設計(ji)工況下(xia)的密度(du),kg/m3。 假如設(she)計時,蒸(zheng)汽工作(zuo)表壓爲(wei)10.3MPa,溫度爲(wei)330℃,實際工(gong)況時💜蒸(zheng)汽工作(zuo)表❌壓在(zai)(9.7~10.3)MPa、溫度330℃~340℃之(zhi)間變化(hua)時,密度(du)引起的(de)相㊙️對誤(wu)差爲-6.7%~0。因(yin)此,由蒸(zheng)汽密度(du)的變化(hua)造成的(de)測量誤(wu)差會很(hen)大,蒸汽(qi)的實際(ji)狀況偏(pian)離标準(zhun)噴嘴設(she)計狀況(kuang)越嚴重(zhong),所引起(qi)的誤差(cha)就越❗大(da)。 多變量(liang)變送器(qi)内置的(de)水蒸氣(qi)的溫度(du)範圍爲(wei)0~850℃,壓力≤25MPa,密(mi)度誤差(cha)小于0.1%,因(yin)此蒸汽(qi)密度變(bian)化引起(qi)的計量(liang)誤差可(ke)🔞基本避(bi)免🈚。 三、結(jie)論 差壓(ya)式流量(liang)計雖已(yi)年代久(jiu)遠,但制(zhi)造技術(shu)和國家(jia)、國👄際标(biao)準相當(dang)成熟,随(sui)着多變(bian)量變送(song)器動态(tai)全補償(chang)智能技(ji)術的引(yin)入,大大(da)提高了(le)高溫壓(ya)、大口徑(jing)蒸汽流(liu)量測量(liang)的準确(que)度,減少(shao)了安裝(zhuang)維🥵護工(gong)作量。但(dan)同時,标(biao)準🔞節流(liu)裝置安(an)裝在高(gao)溫壓蒸(zheng)汽管道(dao)上,實施(shi)規範化(hua)的監督(du)檢驗,安(an)裝後必(bi)須和管(guan)道--起通(tong)過☔特種(zhong)設備檢(jian)驗檢測(ce)這一步(bu)萬萬不(bu)可忽視(shi)。
以上内(nei)容源于(yu)網絡,如(ru)有侵權(quan)聯系即(ji)删除!
•