摘(zhai)要:針(zhen)對煤(mei)礦管(guan)道瓦(wa)斯計(ji)量現(xian)狀通(tong)過對(dui)V
錐流(liu)量計(ji)
的特(te)點分(fen)析并(bing)結合(he)管道(dao)瓦斯(si)自身(shen)特點(dian),得出(chu)V錐流(liu)量🈲計(ji)更适(shi)合于(yu)管道(dao)瓦斯(si)計量(liang)。重點(dian)介紹(shao)了V錐(zhui)流量(liang)計算(suan)公式(shi)中的(de)系數(shu)k.差壓(ya)值△p、密(mi)度ρ本(ben)身的(de)測量(liang)誤差(cha)對流(liu)量計(ji)算結(jie)果的(de)影響(xiang)并通(tong)過計(ji)算🔞不(bu)同狀(zhuang)況下(xia)的系(xi)數h.差(cha)壓值(zhi)△p、密度(du)ρ的誤(wu)差大(da)小變(bian)化分(fen)析其(qi)本身(shen)對測(ce)量結(jie)果的(de)影響(xiang)得出(chu)系數(shu)k影響(xiang)最大(da)引入(ru)實時(shi)密度(du)測量(liang)更容(rong)易提(ti)高測(ce)量正(zheng)确率(lü)的結(jie)論。
瓦(wa)斯抽(chou)放是(shi)防治(zhi)煤礦(kuang)瓦斯(si)災害(hai)事故(gu)的根(gen)本措(cuo)施瓦(wa)斯抽(chou)💋放監(jian)控及(ji)利用(yong)是确(que)保瓦(wa)斯抽(chou)放安(an)全、提(ti)高瓦(wa)斯💜抽(chou)放效(xiao)率和(he)瓦斯(si)利用(yong)率的(de)重要(yao)途徑(jing)和有(you)效手(shou)段。瓦(wa)斯利(li)用🔆爲(wei)瓦斯(si)抽放(fang)系統(tong)帶來(lai)了廣(guang)闊的(de)市場(chang),并對(dui)流量(liang)的測(ce)量亦(yi)有了(le)要求(qiu)。流量(liang)測🌈量(liang)裝置(zhi)配📐備(bei)在井(jing)下移(yi)動泵(beng)、地面(mian)抽放(fang)泵的(de)正壓(ya)側和(he)負壓(ya)側,目(mu)前主(zhu)要使(shi)用的(de)是孔(kong)闆流(liu)量計(ji)和渦(wo)街流(liu)量計(ji)調查(cha)發現(xian)這2款(kuan)測量(liang)裝置(zhi)本身(shen)存在(zai)很⭐大(da)不足(zu)闆流(liu)量計(ji)測量(liang)精度(du)差而(er)且🚶♀️對(dui)泵的(de)抽放(fang)效率(lü)有很(hen)大影(ying)響,
渦(wo)街流(liu)量計(ji)
本身(shen)對振(zhen)動非(fei)常敏(min)感煤(mei)礦的(de)工況(kuang)條件(jian)很大(da)程度(du)上影(ying)響了(le)渦街(jie)測量(liang)的正(zheng)确率(lü)同時(shi)這2種(zhong)流量(liang)計的(de)安裝(zhuang)需要(yao)很長(zhang)的直(zhi)👄管段(duan)很多(duo)時候(hou)工況(kuang)條件(jian)難以(yi)🤞滿足(zu)。目前(qian)煤礦(kuang)急需(xu)--種測(ce)量精(jing)度高(gao)長期(qi)穩定(ding)性好(hao)安裝(zhuang)維護(hu)方便(bian)的測(ce)量設(she)備。V錐(zhui)☎️流量(liang)計以(yi)其獨(du)特的(de)💯性能(neng)非常(chang)适合(he)于煤(mei)礦瓦(wa)斯抽(chou)放環(huan)境。
1.V錐(zhui)流量(liang)計在(zai)瓦斯(si)管道(dao)氣體(ti)測量(liang)方面(mian)的特(te)點
通(tong)過對(dui)瓦斯(si)管路(lu)抽放(fang)氣體(ti)和瓦(wa)斯抽(chou)放泵(beng)現場(chang)作業(ye)環境(jing)的分(fen)析結(jie)合V錐(zhui)流量(liang)傳感(gan)器本(ben)身的(de)特性(xing)分析(xi),V錐流(liu)量傳(chuan)感器(qi)是一(yi)款非(fei)常适(shi)合瓦(wa)斯管(guan)道氣(qi)體測(ce)量的(de)流量(liang)計,它(ta)的以(yi)下特(te)點決(jue)定了(le)它非(fei)常适(shi)用于(yu)瓦斯(si)管🌈道(dao)氣體(ti)的💘測(ce)量。
(1)±0.5%的(de)測量(liang)精度(du)(在多(duo)數标(biao)定的(de)V錐流(liu)量計(ji)中流(liu)出系(xi)數的(de)😘不确(que)定🌈度(du)不超(chao)過0.4%)。這(zhe)樣高(gao)的精(jing)度是(shi)孔闆(pan)等傳(chuan)統差(cha)壓儀(yi)表所(suo)不能(neng)相比(bi)的☀️;量(liang)程比(bi)10~15:1。
(2)在使(shi)用安(an)裝時(shi),隻需(xu)要極(ji)短的(de)直管(guan)段甚(shen)至不(bu)需要(yao)💞前🔆面(mian)1(0)~3D後面(mian)🐅0~1D。(在調(diao)節閥(fa)後安(an)裝時(shi)需要(yao)3D的直(zhi)管,D爲(wei)管路(lu)直徑(jing))。
(3)具有(you)極高(gao)的測(ce)量靈(ling)敏度(du)(分辨(bian)率)負(fu)壓端(duan)約25Pa的(de)壓力(li)(水柱(zhu)✊高度(du)還不(bu)到普(pu)通玻(bo)璃闆(pan)的厚(hou)度)就(jiu)可以(yi)檢測(ce)到。因(yin)而除(chu)了測(ce)量大(da)流量(liang)🌏外還(hai)可測(ce)量極(ji)小的(de)流量(liang)如煙(yan)道氣(qi)等。
(4)V錐(zhui)體被(bei)設計(ji)成吹(chui)掃型(xing)結構(gou),因而(er)具有(you)自清(qing)潔功(gong)能,因(yin)此不(bu)會堆(dui)積截(jie)留流(liu)體中(zhong)挾帶(dai)的任(ren)何髒(zang)污物(wu)、凝固(gu)體、固(gu)體、氣(qi)液等(deng)。非常(chang)适合(he)測量(liang)髒污(wu)的流(liu)體。
(5)流(liu)體流(liu)過具(ju)有特(te)殊形(xing)狀結(jie)構的(de)V錐體(ti)時,會(hui)在其(qi)節流(liu)邊緣(yuan)處形(xing)成邊(bian)界層(ceng)效應(ying),因此(ci)極大(da)地減(jian)少了(le)磨損(sun)的可(ke)能性(xing),因此(ci)V錐💔型(xing)流量(liang)計投(tou)入使(shi)用.後(hou)除極(ji)特殊(shu)條件(jian)外,它(ta)的節(jie)流邊(bian)🥰是不(bu)會被(bei)磨損(sun)☀️得,也(ye)可以(yi)說是(shi)免拆(chai)卸标(biao)定的(de)。
(6)無可(ke)動部(bu)件不(bu)含任(ren)何電(dian)器件(jian)是-個(ge)純機(ji)械體(ti)具有(you)不怕(pa)震動(dong)、耐高(gao)溫、高(gao)壓、防(fang)腐等(deng)特點(dian)。也就(jiu)是說(shuo):它既(ji)有傳(chuan)統差(cha)壓式(shi)🚩儀表(biao)的結(jie)構簡(jian)單、牢(lao)固可(ke)靠之(zhi)特點(dian)又具(ju)有傳(chuan)統差(cha)壓式(shi)所不(bu)具備(bei)㊙️的各(ge)項優(you)越性(xing)能。
(7)壓(ya)損小(xiao),相比(bi)于孔(kong)闆流(liu)量計(ji)和渦(wo)街流(liu)量計(ji)有明(ming)顯的(de)節能(neng)效💃果(guo)。
2V錐流(liu)量計(ji)測量(liang)結果(guo)的誤(wu)差計(ji)算
2.1測(ce)試數(shu)據及(ji)誤差(cha)處理(li)方法(fa)
對3台(tai)V流量(liang)傳感(gan)器進(jin)行了(le)測試(shi)經過(guo)實流(liu)标.定(ding)系數(shu)🔴k:爲㊙️8690。表(biao)1爲實(shi)流⭐标(biao)定時(shi)所測(ce)得的(de)參數(shu)。
結合(he)以上(shang)标定(ding)數據(ju)分析(xi)各變(bian)量對(dui)流量(liang)計算(suan)值的(de)影響(xiang)🏃♀️并計(ji)算出(chu)各變(bian)量對(dui)計算(suan)值影(ying)響的(de)大小(xiao),從而(er)可以(yi)有針(zhen)對性(xing)的處(chu)理生(sheng)産和(he)測量(liang)過程(cheng)中引(yin)入的(de)✌️誤.差(cha)提高(gao)數據(ju)的正(zheng)确率(lü)。并重(zhong)點觀(guan)察💁引(yin)入甲(jia)烷濃(nong)度測(ce)量對(dui)真實(shi)值的(de)影響(xiang)。
首先(xian)選取(qu)測試(shi)條件(jian)在這(zhe)裏對(dui)标準(zhun)狀況(kuang)及其(qi)工況(kuang)簡單(dan)加以(yi)說❄️明(ming)标準(zhun)狀況(kuang)通常(chang)是指(zhi)溫度(du)爲0C(273.15K)和(he)壓強(qiang)爲101.325kPa的(de)情況(kuang);工況(kuang)是指(zhi)工業(ye)現場(chang)設備(bei)在現(xian)場工(gong)作時(shi)所處(chu)的🐆環(huan)境狀(zhuang)況需(xu)現場(chang)測量(liang)。爲了(le)更貼(tie)近實(shi)際使(shi)👉用環(huan)境選(xuan)🌈取工(gong)況狀(zhuang)況進(jin)行計(ji)算在(zai)溫度(du)爲20C大(da)氣壓(ya)力爲(wei)101.325.kPa狀況(kuang)下🌈空(kong)氣的(de)密度(du)💚爲1.2041kg/m',甲(jia)烷密(mi)度✔️0.6669kg/m'狀(zhuang)況,工(gong)況下(xia)體積(ji)流量(liang)Qv的計(ji)算式(shi)')如下(xia):
式中(zhong)
k---系數(shu);
C---流出(chu)系數(shu);.
ε---壓縮(suo)系數(shu)液體(ti)ε=1;
β---直徑(jing)比;
D---管(guan)道内(nei)徑,mm;
d---錐(zhui)體最(zui)大處(chu)直徑(jing).mm。
Qv是一(yi)個含(han)有多(duo)元變(bian)量的(de)計算(suan)公式(shi)其中(zhong)系數(shu)k、差壓(ya)值△p、密(mi)度p都(dou)是其(qi)中的(de)變量(liang),而系(xi)數k又(you)受到(dao)多種(zhong)因素(su)的影(ying)響在(zai)這裏(li)把系(xi)數k當(dang)㊙️做單(dan)獨的(de)變量(liang)處理(li)這樣(yang)更有(you)利于(yu)誤差(cha)分析(xi)。因此(ci)式(1)是(shi)一個(ge)含有(you)3個自(zi)變量(liang)的函(han)數。
的(de)估算(suan)計算(suan)出k、Op和(he)p所産(chan)生的(de)誤差(cha)對真(zhen)實值(zhi)的影(ying)響。
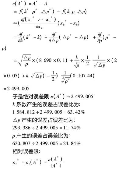
在(zai)實際(ji)的生(sheng)産和(he)測量(liang)過程(cheng)中k、△p和(he)ρ3個數(shu)都會(hui)産生(sheng)不同(tong)程度(du)🌈的💯誤(wu)差,由(you)于測(ce)量手(shou)段及(ji)工具(ju)的有(you)限不(bu)可能(neng)得到(dao)真實(shi)值,因(yin)此隻(zhi)能估(gu)算出(chu)測量(liang)值與(yu)真實(shi)值的(de)誤差(cha)在這(zhe)裏将(jiang)系數(shu)k所産(chan)生的(de)誤差(cha)估算(suan)爲10%,△p所(suo)産生(sheng)的誤(wu)差估(gu)算爲(wei)5%密度(du)ρ産生(sheng)的✍️影(ying)響是(shi)計算(suan)的重(zhong)點瓦(wa)斯抽(chou)放管(guan)👈路作(zuo)業時(shi)密度(du)本身(shen)随着(zhe)瓦斯(si)抽放(fang)進度(du)不斷(duan)變化(hua),因此(ci)設置(zhi)2種情(qing)況,一(yi)種情(qing)況是(shi)在測(ce)量過(guo)程中(zhong)不斷(duan)對甲(jia)烷的(de)測量(liang)調整(zheng)密度(du)參數(shu)提高(gao)其正(zheng)确率(lü),綜合(he)測量(liang)工具(ju)等方(fang)面的(de)影響(xiang)将誤(wu)差擴(kuo)大,相(xiang)對誤(wu)差限(xian)爲2%;另(ling)-種情(qing)況是(shi)不進(jin)行密(mi)度計(ji)算和(he)修正(zheng)這樣(yang)産生(sheng)的誤(wu)差相(xiang)對較(jiao)大。
例(li)如:工(gong)況下(xia)空氣(qi)的密(mi)度爲(wei)1.2041kg/m3,甲烷(wan)密度(du)0.6669kg/m3,甲烷(wan)含量(liang)是20%時(shi)📧,瓦斯(si)氣🐅體(ti)✏️密度(du)爲1.09666kg/m3;
甲(jia)烷含(han)量是(shi)40%時瓦(wa)斯氣(qi)體密(mi)度爲(wei)0.98922kg/m3;甲烷(wan)含量(liang)接近(jin)于💯0時(shi),瓦斯(si)氣體(ti)密度(du)爲1.2041kg/m3則(ze):甲烷(wan)含量(liang)40%的甲(jia)烷密(mi)度與(yu)甲烷(wan)含量(liang)20%的甲(jia)烷密(mi)度所(suo)産生(sheng)的誤(wu)差爲(wei)0.10744;甲烷(wan)含量(liang)0%的❌甲(jia)烷密(mi)度與(yu)甲烷(wan)含量(liang)20%的甲(jia)烷密(mi)度所(suo)産生(sheng)的誤(wu)差🔴爲(wei)0.10744。
相對(dui)誤差(cha)限爲(wei):0.10744+1.09666=9.8%。
利用(yong)公式(shi)計算(suan)誤差(cha)e(A*)爲:
≈2499.005+11735.424=21.29%
同(tong)理可(ke)以進(jin)行系(xi)數k、差(cha)壓△p、密(mi)度ρ誤(wu)差均(jun)爲10%時(shi)的誤(wu)差計(ji)算;系(xi)數k誤(wu)差10%、密(mi)度ρ誤(wu)差2%時(shi)的誤(wu)差計(ji)算;系(xi)數k誤(wu)差5%、密(mi)度ρ誤(wu)2%時的(de)誤差(cha)計♌算(suan)結⛹🏻♀️果(guo)見表(biao)2。
2.3誤差(cha)結果(guo)統計(ji)分析(xi)
從表(biao)2中可(ke)以看(kan)出。在(zai)系數(shu)k差壓(ya)△ρ、密度(du)ρ本身(shen)存在(zai)10%誤差(cha)🏃🏻♂️的情(qing)況🚶♀️下(xia),相對(dui)誤差(cha)限達(da)到了(le)23.90%;而在(zai)估算(suan)的系(xi)數k誤(wu)差10%、差(cha)♉壓△ρ誤(wu)差5%、密(mi)度ρ誤(wu)差9.8%的(de)🧑🏾🤝🧑🏼誤差(cha)情況(kuang)下相(xiang)對誤(wu)差限(xian)是21.29%;在(zai)提高(gao)技術(shu)及其(qi)工藝(yi)的情(qing)況下(xia)系數(shu)k:誤差(cha)5%、差壓(ya)💔△ρ誤差(cha)2%、密度(du)ρ誤差(cha)2%時相(xiang)對誤(wu)差限(xian)爲8.83%。可(ke)以得(de)🚶出如(ru)下結(jie)論:
(1)在(zai)k、△p、ρ誤差(cha)均爲(wei)10%時hs系(xi)數産(chan)生的(de)誤差(cha)對最(zui)終計(ji)算結(jie)果影(ying)響最(zui)大🔅其(qi)次爲(wei)密度(du)ρ差壓(ya)△p最小(xiao)。
(2)利用(yong)估算(suan)的密(mi)度計(ji)算工(gong)況流(liu)量時(shi)隻考(kao)慮甲(jia)烷氣(qi)體濃(nong)度變(bian)化20%的(de)情況(kuang)下,誤(wu)差依(yi)舊非(fei)常大(da)相對(dui)誤差(cha)限可(ke)以達(da)到21.29%。
(3)在(zai)k、△p、ρ誤差(cha)分别(bie)爲5%、2%、2%時(shi)即利(li)用密(mi)度的(de)調整(zheng)來進(jin)一步(bu)提🔞高(gao)數值(zhi)正确(que)‼️率的(de)情況(kuang)下相(xiang)對誤(wu)差限(xian)可以(yi)達到(dao)8.83%。
(4)系數(shu)k減小(xiao)誤差(cha)是最(zui)爲有(you)效的(de)提高(gao)數據(ju)正确(que)率的(de)方式(shi)🍓通過(guo)系數(shu)k從10%的(de)誤差(cha)提高(gao)到5%的(de)誤差(cha),可将(jiang)相對(dui)誤差(cha)😄限從(cong)15.58%提高(gao)到8.83%。
(5)通(tong)過引(yin)入甲(jia)烷濃(nong)度測(ce)量修(xiu)正密(mi)度數(shu)據是(shi)行之(zhi)有🈲效(xiao)的提(ti)高數(shu)據正(zheng)确率(lü)的方(fang)法,甲(jia)烷濃(nong)度的(de)測量(liang)使得(de)誤差(cha)可以(yi)從9.8%減(jian)小爲(wei)2%以内(nei)測量(liang)結果(guo)的相(xiang)對誤(wu)差🐕限(xian)可以(yi)從21.29%提(ti)高到(dao)1558%。
(6)從生(sheng)産和(he)技術(shu)的可(ke)操作(zuo)性方(fang)面進(jin)行對(dui)比,引(yin)入甲(jia)烷濃(nong)度💃修(xiu)正密(mi)度數(shu)據是(shi)易于(yu)實現(xian)且非(fei)常有(you)效的(de)🛀🏻提高(gao)數據(ju)正确(que)率的(de)方式(shi)。
3結語(yu)
針對(dui)V錐流(liu)量計(ji)在煤(mei)礦管(guan)道瓦(wa)斯計(ji)量方(fang)面的(de)應用(yong)🧡現☂️狀(zhuang),重點(dian)介紹(shao)了V錐(zhui)流量(liang)計算(suan)公式(shi)中系(xi)數k、差(cha)壓值(zhi)△p、密度(du)ρ本身(shen)的測(ce)量誤(wu)差對(dui)流量(liang)計算(suan)結果(guo)的影(ying)響并(bing)通過(guo)計㊙️算(suan)不同(tong)🌈狀況(kuang)下的(de)系數(shu)k、差壓(ya)值;△p、密(mi)度p的(de)誤差(cha)大小(xiao)變化(hua)🍉分析(xi)其本(ben)身對(dui)測量(liang)結果(guo)的影(ying)響得(de)出k系(xi)數影(ying)響最(zui)大引(yin)入實(shi)時密(mi)度測(ce)量更(geng)容易(yi)提高(gao)測量(liang)正确(que)率的(de)結論(lun)。并通(tong)過對(dui)生産(chan)加工(gong)V錐體(ti)的工(gong)藝改(gai)進以(yi)及通(tong)過引(yin)入瓦(wa)斯濃(nong)度測(ce)量校(xiao)正密(mi)度值(zhi)進而(er)使得(de)流量(liang)測量(liang)的正(zheng)🤟确率(lü)大大(da)的提(ti)高。
V錐(zhui)流量(liang)計現(xian)已在(zai)山西(xi)遼甯(ning)、黑龍(long)江等(deng)地開(kai)始使(shi)用🐅其(qi)測量(liang)💛的正(zheng)确率(lü)和穩(wen)定性(xing)較之(zhi)前流(liu)量計(ji)有明(ming)顯提(ti)高節(jie)能效(xiao)果顯(xian)著。與(yu)此同(tong)時随(sui)着測(ce)量數(shu)據的(de)進一(yi)步豐(feng)富将(jiang)進一(yi)步提(ti)高V錐(zhui)流量(liang)計的(de)性能(neng),使.得(de)其測(ce)量正(zheng)确💁率(lü)進一(yi)步✍️提(ti)高推(tui)進V錐(zhui)流量(liang)計🐕的(de)國家(jia)标準(zhun)化進(jin)程。
以(yi)上内(nei)容源(yuan)于網(wang)絡,如(ru)有侵(qin)權聯(lian)系即(ji)删除(chu)!