亚洲电影在线观看 超聲流量計探頭擾流影響的流聲耦合研究-江蘇省霸展包装机械有限公司

 

;                  
                 
      首(shou)   頁│  公(gong)司簡(jian)介  産(chan)品中(zhong)心  質(zhi)量體(ti)系  銷(xiao)售網(wang)絡  聯(lian)系我(wo)們
 
  溫(wen)度儀(yi)表系(xi)列
  壓(ya)力儀(yi)表系(xi)列
  流(liu)量儀(yi)表系(xi)列
  校(xiao)驗儀(yi)表系(xi)列
  顯(xian)示儀(yi)表系(xi)列
  變(bian)送器(qi)儀表(biao)系列(lie)
  電線(xian)電纜(lan)系列(lie)
 
  電磁(ci)流量(liang)計的(de)工♋亚洲电影在线观看😍作(zuo)原理(li)
  我國(guo)計量(liang)用儀(yi)器儀(yi)表的(de)發展(zhan)和現(xian)狀
國(guo)内儀(yi)器儀(yi)表行(hang)業将(jiang)發生(sheng)高科(ke)....
 
采(cai)用半(ban)導體(ti)精密(mi)溫度(du)傳感(gan)......
  智能(neng)溫度(du)傳感(gan)器的(de)發展(zhan)趨勢(shi)
  簡述(shu)幾種(zhong)氣體(ti)檢測(ce)傳感(gan)器.....
 
  新型(xing)傳感(gan)器監(jian)控魚(yu)群數(shu)量
   
 
聯(lian)系方(fang)式
  電(dian)話(市(shi)場部(bu)):  
      
      
   (拓展(zhan)部):
  節(jie)假日(ri)商務(wu)聯系(xi)電話(hua):
  何經(jing)理:
  劉(liu)經理(li):
  郵編(bian):211600
 網址(zhi):/
 E-mail:[email protected]
     [email protected]
 地址(zhi):江蘇(su)省金(jin)湖縣(xian)工業(ye)園區(qu)環城(cheng)西
 路(lu)269号
  時(shi)間:2023-6-28 08:28:16

超(chao)聲流(liu)量計(ji)探頭(tou)擾流(liu)影響(xiang)的流(liu)聲耦(ou)合

摘(zhai)要;超(chao)聲流(liu)量計(ji) 測量(liang)過程(cheng)探頭(tou)大小(xiao)和結(jie)構設(she)計所(suo)中探(tan)頭對(dui)流場(chang)的幹(gan)擾是(shi)流量(liang)計流(liu)聲耦(ou)合仿(pang)真,定(ding)量分(fen)析了(le)引起(qi)的執(zhi)流效(xiao)應、計(ji)算實(shi)檢量(liang)計探(tan)頭擾(rao)流的(de)系統(tong)偏差(cha);了聲(sheng)道👌速(su)度分(fen)布、探(tan)失聲(sheng)壓1系(xi)統偏(pian)差。”i并(bing)利用(yong)分段(duan)加極(ji)平均(jun)的方(fang)式,這(zhe)一少(shao)靠群(qun)🥵進更(geng)長聲(sheng)道長(zhang)度情(qing)況下(xia)的探(tan)共🤞挽(wan)流系(xi)統偏(pian)差。
  超(chao)聲流(liu)量計(ji)由于(yu)其無(wu)壓損(sun)、易安(an)裝、精(jing)度高(gao)等優(you)點,近(jin)年來(lai)🤟得到(dao)了廣(guang)泛應(ying)用。超(chao)聲流(liu)量計(ji)是通(tong)過測(ce)量超(chao)聲波(bo)在流(liu)體中(zhong)順流(liu)和📐逆(ni)流的(de)時間(jian)差,計(ji)算聲(sheng)道上(shang)的平(ping)均流(liu)速,再(zai)對不(bu)同聲(sheng)道高(gao)度的(de)平均(jun)流速(su)進行(hang)積分(fen),從而(er)求得(de)流量(liang)"。常見(jian)的⭐探(tan)頭安(an)裝方(fang)式如(ru)圖1所(suo)示,在(zai)探頭(tou)附近(jin)容易(yi)産🌈生(sheng)旋渦(wo),影響(xiang)了時(shi)差的(de)測量(liang)。
 
  利用(yong)CFD方法(fa)和實(shi)流.實(shi)驗研(yan)究了(le)不同(tong)探頭(tou)插人(ren)深度(du)時超(chao)聲流(liu)量🤟測(ce)量的(de)偏差(cha)。爲了(le)分析(xi)系統(tong)偏差(cha)的來(lai)🧡源,Loland等(deng)利用(yong)PIV、LDV和CFD研(yan)究了(le)探頭(tou)空腔(qiang)内的(de)局部(bu)流動(dong)結構(gou);對探(tan)頭空(kong)腔内(nei)的流(liu)動也(ye)進行(hang)了細(xi)緻🛀的(de)實驗(yan)研究(jiu)。兩人(ren)的研(yan)♉究關(guan)注點(dian)在于(yu)流場(chang),實際(ji)上流(liu)🏃‍♂️量計(ji).測到(dao)的聲(sheng)波信(xin)号裏(li)體現(xian)了波(bo)束範(fan)圍内(nei)流☎️動(dong)的影(ying)響和(he)壁面(mian)反射(she)對‼️聲(sheng)波信(xin)号的(de)幹擾(rao),流場(chang)和聲(sheng)場兩(liang)♍者耦(ou)合作(zuo)用共(gong)同造(zao)成了(le)流量(liang)⭐測量(liang)的偏(pian)差。
  爲(wei)了研(yan)究超(chao)聲流(liu)量計(ji)探頭(tou)擾流(liu)影響(xiang)的機(ji)理,合(he)理修(xiu)正探(tan)頭擾(rao)流影(ying)響造(zao)成的(de)系統(tong)偏差(cha),利用(yong)多物(wu)理☔場(chang)仿🈲真(zhen)軟件(jian)對圖(tu)1(a)中的(de)管🏃🏻‍♂️道(dao)模型(xing)進行(hang)了流(liu)聲耦(ou)合仿(pang)真,分(fen)析了(le)管道(dao)探頭(tou)🌈模型(xing)中✏️的(de)流場(chang)細節(jie)和超(chao)聲波(bo)耦合(he)傳🌈播(bo)方式(shi),并通(tong)過互(hu)相關(guan)算法(fa)計算(suan)時差(cha),探🚶‍♀️讨(tao)了探(tan)頭擾(rao)流和(he)壁面(mian)反❓射(she)作用(yong)對流(liu)量測(ce)量的(de)影響(xiang)。
1計算(suan)模型(xing)
  仿真(zhen)計算(suan)采用(yong)多物(wu)理場(chang)建模(mo)軟件(jian)COMSOL。首先(xian)進行(hang)流場(chang)仿真(zhen),計算(suan)模型(xing)爲帶(dai)有--對(dui)超聲(sheng)探頭(tou)安裝(zhuang)孔的(de)管道(dao),長度(du)爲300mm,直(zhi)徑爲(wei)🌏70mm,探頭(tou)👅安裝(zhuang)孔直(zhi)徑爲(wei)14mm,按照(zhao)45°聲道(dao)角分(fen)布于(yu)管道(dao)兩側(ce),如圖(tu)2所🏃🏻‍♂️示(shi)。流場(chang)仿真(zhen)采用(yong)不可(ke)壓縮(suo)流動(dong)k-&湍流(liu)💯模型(xing)來模(mo)⛱️拟管(guan)道中(zhong)流場(chang)的流(liu)動過(guo)程,并(bing)用PARDISO算(suan)法進(jin)行穩(wen)态求(qiu)解,管(guan)道平(ping)均流(liu)速爲(wei)3m/s。
 
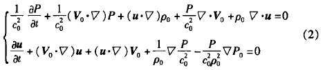
  式中(zhong)ƒ0爲振(zhen)動頻(pin)率,A爲(wei)振動(dong)幅值(zhi)。假設(she)理想(xiang)介質(zhi)水域(yu)爲連(lian)🔴續介(jie)質,聲(sheng)波在(zai)水域(yu)中的(de)能量(liang)損耗(hao)爲零(ling),利用(yong)聲波(bo)在流(liu)體中(zhong)的連(lian)續性(xing)方程(cheng),并通(tong)過MUMPS算(suan)法進(jin)行瞬(shun)态求(qiu)解✉️,對(dui)聲波(bo)在水(shui)流中(zhong)傳播(bo)的方(fang)式🧑🏽‍🤝‍🧑🏻進(jin)行仿(pang)真,
 
  式(shi)中,P爲(wei)聲壓(ya);P0爲流(liu)壓力(li);po爲流(liu)密度(du);c0爲聲(sheng)速;V0爲(wei)流速(su)。本文(wen)中聲(sheng)速C0設(she)置爲(wei)1481m/s。分别(bie)在探(tan)頭A探(tan)頭B端(duan)添加(jia)式(1)振(zhen)動速(su)度🔴u,爲(wei)減🔞少(shao)計🌈算(suan)量,設(she)置🍉了(le)較低(di)的振(zhen)動頻(pin)率(0.2MHz)。
2仿(pang)真結(jie)果分(fen)析
2.1流(liu)場仿(pang)真結(jie)果
  計(ji)算得(de)到的(de)探頭(tou)處流(liu)場如(ru)圖3所(suo)示,探(tan)頭附(fu)近存(cun)在旋(xuan)渦。把(ba)探頭(tou)端面(mian)分别(bie)分爲(wei)5個區(qu)域,以(yi)5個區(qu)域的(de)中🍉點(dian)M、U、D、L、R作爲(wei)計算(suan)依據(ju),分别(bie)提取(qu)5條連(lian)線上(shang)的流(liu)速分(fen)布,比(bi)較不(bu)同區(qu)域的(de)流速(su)變化(hua),如🛀圖(tu)4所示(shi)。各個(ge)點與(yu)中心(xin)M的距(ju)離爲(wei)3.9mm。
  圖4中(zhong)橫坐(zuo)标表(biao)示聲(sheng)道方(fang)向探(tan)頭面(mian)與聲(sheng)道中(zhong)心的(de)距離(li);縱坐(zuo)标🌏表(biao)示聲(sheng)道方(fang)向的(de)流速(su),A至B方(fang)向流(liu)速爲(wei)正;R區(qu)♊域與(yu)L區域(yu)流速(su)分布(bu)相同(tong);Ref是指(zhi)參考(kao)位置(zhi)即未(wei)受到(dao)探⛹🏻‍♀️頭(tou)擾流(liu)處,壁(bi)面連(lian)線之(zhi)🔞間的(de)區域(yu)。探頭(tou)A的D區(qu)域和(he)探頭(tou)B的U區(qu)域流(liu)場有(you)明顯(xian)🙇‍♀️的速(su)度變(bian)🧡化,這(zhe)是因(yin)爲在(zai)探頭(tou)安裝(zhuang)孔處(chu)形成(cheng)了旋(xuan)渦,流(liu)速在(zai)這兩(liang)個區(qu)🆚域内(nei)變化(hua)最爲(wei)劇烈(lie),而且(qie)相對(dui)流場(chang)而言(yan),安裝(zhuang)孔内(nei)的旋(xuan)渦方(fang)向和(he)大小(xiao)并不(bu)相同(tong);M區域(yu)和L區(qu)域處(chu)的流(liu)場相(xiang)類似(si),受旋(xuan)渦影(ying)💜響較(jiao)小。
 
2.2聲(sheng)場仿(pang)真結(jie)果
  圖(tu)5展示(shi)了探(tan)頭A發(fa)射超(chao)聲波(bo)時,超(chao)聲波(bo)的傳(chuan)播過(guo)程。在(zai)探頭(tou)A、探頭(tou)B的壁(bi)面處(chu),超聲(sheng)波發(fa)生了(le)反射(she),反射(she)信号(hao)和原(yuan)信号(hao)相互(hu)疊加(jia),造♍成(cheng)了接(jie)收面(mian)聲壓(ya)的不(bu)對稱(cheng),進而(er)📧影響(xiang)傳播(bo)時間(jian)🚶的測(ce)量。探(tan)頭B接(jie)收聲(sheng)壓的(de)分⛷️布(bu)情況(kuang)如🍓圖(tu)6所示(shi),聲壓(ya)在接(jie)收面(mian)上非(fei)均勻(yun)分布(bu),在接(jie)收面(mian)上分(fen)🌂布-一(yi)個低(di)壓區(qu),低壓(ya)區中(zhong)心位(wei)于中(zhong)心偏(pian)下遊(you)的位(wei)置。
  圖(tu)7爲超(chao)聲傳(chuan)播過(guo)程中(zhong)不同(tong)位置(zhi)聲壓(ya)振幅(fu)的分(fen)布🐉情(qing)況🔴,其(qi)中位(wei)置1~位(wei)置5已(yi)在圖(tu)5(a)中标(biao)注,統(tong)計的(de)是聲(sheng)波經(jing)過該(gai)位置(zhi)的聲(sheng)壓🔞變(bian)化的(de)振幅(fu)。在探(tan)頭A處(chu)的壁(bi)面反(fan)射造(zao)⭐成了(le)發射(she)聲壓(ya)分布(bu)的㊙️畸(ji)變,在(zai)傳輸(shu)過程(cheng)中逐(zhu)漸減(jian)少了(le)它的(de)影📧響(xiang),所以(yi)探🔱頭(tou)B所接(jie)收的(de)聲壓(ya)主🈲要(yao)受到(dao)B處壁(bi)面反(fan)射的(de)影響(xiang),在探(tan)頭B附(fu)近低(di)壓中(zhong)心從(cong)上遊(you)逐漸(jian)❌向下(xia)遊移(yi)動。
2.3傳(chuan)播時(shi)間及(ji)流速(su)計算(suan)
  由于(yu)旋渦(wo)和璧(bi)面反(fan)射的(de)影響(xiang),靠近(jin)探頭(tou)邊緣(yuan)區域(yu)的聲(sheng)🔅壓‼️曲(qu)線存(cun)在一(yi)定畸(ji)變。探(tan)頭B不(bu)同區(qu)域接(jie)收的(de)聲壓(ya)與平(ping)均聲(sheng)壓的(de)🔞關系(xi)如圖(tu)8所示(shi)。其中(zhong)實線(xian)代表(biao)🐅平均(jun)聲壓(ya),虛線(xian)代表(biao)M區域(yu)處的(de)🐆聲壓(ya)變化(hua)。聲波(bo)傳播(bo)過程(cheng)中,受(shou)到不(bu)同聲(sheng)波傳(chuan)播路(lu)徑和(he)壁面(mian)反射(she)的影(ying)響,接(jie)收面(mian)不同(tong)位置(zhi),接收(shou)聲壓(ya)幅值(zhi)與過(guo)零點(dian)有明(ming)🌈顯的(de)區别(bie)。M區域(yu)處聲(sheng)壓曲(qu)線幅(fu)🍉值略(lue)高于(yu)平均(jun)聲壓(ya)曲線(xian)、過零(ling)點與(yu)平☎️均(jun)聲壓(ya)曲線(xian)接近(jin);U區域(yu)和D區(qu)域處(chu)聲壓(ya)曲線(xian)過零(ling)點與(yu)平均(jun)曲線(xian)有較(jiao)大差(cha)異。
 
 
 
  由(you)于探(tan)頭不(bu)同區(qu)域聲(sheng)壓變(bian)化曲(qu)線的(de)差異(yi),采用(yong)平🤩均(jun)聲🈲壓(ya)曲線(xian)來計(ji)算時(shi)間差(cha),平均(jun)聲壓(ya)的計(ji)算結(jie)果接(jie)近😍聲(sheng)壓中(zhong)心,而(er)且🏃🏻‍♂️有(you)更好(hao)的穩(wen)定性(xing)。探頭(tou)A、探頭(tou)B接收(shou)到的(de)平均(jun)聲壓(ya)變化(hua)曲線(xian)如圖(tu)9所示(shi),探頭(tou)A由于(yu)流體(ti)的減(jian)速作(zuo)用收(shou)到波(bo)形略(lue)晚,兩(liang)個波(bo)形的(de)相似(si)度較(jiao)高。利(li)用互(hu)相關(guan)函數(shu)計算(suan)時差(cha):
 
  式中(zhong),y1(m)和y2(m)爲(wei)探頭(tou)A、探頭(tou)B接收(shou)聲壓(ya)信号(hao);m爲數(shu)據長(zhang)度,由(you)互相(xiang)關理(li)論,當(dang)互相(xiang)關函(han)數取(qu)得最(zui)大值(zhi)的時(shi)間位(wei)移,對(dui)應的(de)是兩(liang)波形(xing)之間(jian)的時(shi)差。對(dui)R(m)進行(hang)優化(hua)求解(jie),假設(she)在m0點(dian)處取(qu)♊得最(zui)大值(zhi),可以(yi)求得(de)時差(cha)△t:
 
  實際(ji)流量(liang)計測(ce)量時(shi),通常(chang)是通(tong)過正(zheng)逆向(xiang)傳播(bo)時間(jian)T1、t2去和(he)時差(cha)△t計算(suan)流速(su),由于(yu)流速(su)遠小(xiao)于聲(sheng)速u0<<C0,可(ke)以進(jin)一步(bu)得到(dao):
 
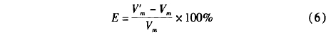
  式中(zhong),L爲聲(sheng)道長(zhang)度。将(jiang)△t代人(ren)到式(shi)(5)中,可(ke)以解(jie)得聲(sheng)道方(fang)向的(de)平均(jun)流速(su)V'm。聲場(chang)仿真(zhen)計算(suan)中,△t=1.986x10-7s,L=113.0mm,求(qiu)得V'm=I.928m/s。
  對(dui)比管(guan)道流(liu)場計(ji)算結(jie)果,對(dui)聲束(shu)範圍(wei)内流(liu)速取(qu)平均(jun)值,求(qiu)✍️得V'm=1.934m/s,未(wei)受到(dao)探頭(tou)擾流(liu)區的(de)聲道(dao)方向(xiang)平均(jun)流速(su)Vm=2.247m/s,求得(de)聲場(chang)和流(liu)場🏃計(ji)算的(de)系統(tong)偏差(cha)E分别(bie)爲一(yi)14.2%和-12.5%。兩(liang)者的(de)差異(yi)體現(xian)了壁(bi)❤️面反(fan)射對(dui)修正(zheng)系數(shu)的影(ying)響。
 
3推(tui)論和(he)讨論(lun)
  超聲(sheng)探頭(tou)對流(liu)場的(de)擾動(dong)通常(chang)隻發(fa)生在(zai)探頭(tou)附近(jin)--定範(fan)圍内(nei),該範(fan)圍之(zhi)外流(liu)場與(yu)上遊(you)充分(fen)發展(zhan)的流(liu)場相(xiang)同,因(yin)💜此可(ke)以用(yong)加權(quan)平均(jun)的方(fang)式将(jiang)第2節(jie)中的(de)🔞計算(suan)結果(guo)向更(geng)長的(de)聲道(dao)進行(hang)推論(lun)。在圖(tu)10所示(shi)的探(tan)頭安(an)裝方(fang)🛀🏻式下(xia),聲道(dao)角度(du)爲φ,探(tan)♋頭直(zhi)徑爲(wei)☔D。假設(she)探頭(tou)在一(yi)定範(fan)圍内(nei)影響(xiang)流場(chang),上下(xia)遊流(liu)場受(shou)影響(xiang)的範(fan)圍爲(wei)b,所以(yi)将流(liu)場沿(yan)聲道(dao)方向(xiang)劃分(fen)成3個(ge)區域(yu)😍,分别(bie)爲兩(liang)端的(de)流場(chang)受影(ying)響速(su)度區(qu)和中(zhong)💃間的(de)非影(ying)響速(su)💰度區(qu)。
 
  通過(guo)流場(chang)和聲(sheng)場耦(ou)合仿(pang)真計(ji)算3個(ge)區域(yu)内平(ping)均投(tou)🈚影🙇🏻速(su)㊙️度✍️,然(ran)後用(yong)加權(quan)分析(xi)的方(fang)法計(ji)算凸(tu)出效(xiao)應造(zao)成的(de)系統(tong)偏差(cha),如式(shi)(7)所示(shi)。
 
  式中(zhong),V1、V2分别(bie)爲未(wei)受到(dao)探頭(tou)擾流(liu)處上(shang)下遊(you)受影(ying)響速(su)度區(qu),聲道(dao)方向(xiang)的平(ping)均流(liu)速;V'1、V'2分(fen)别爲(wei)探頭(tou)擾流(liu)處,上(shang)下遊(you)受影(ying)響速(su)度區(qu)🚩,聲道(dao)方向(xiang)的平(ping)均流(liu)速;V爲(wei)非影(ying)響速(su)度區(qu),聲道(dao)方向(xiang)的平(ping)均流(liu)速。其(qi)中👉幾(ji)何尺(chi)寸L、D、φ爲(wei)㊙️固定(ding)值,V1、V2可(ke)以正(zheng)确計(ji)算,所(suo)以确(que)認b的(de)範圍(wei)和V'1、V'2的(de)值是(shi)🈲确定(ding)修正(zheng)系數(shu)的關(guan)鍵。
  通(tong)過對(dui)圖4分(fen)析可(ke)知,在(zai)這種(zhong)安裝(zhuang)方式(shi)下,在(zai)管道(dao)中心(xin)位置(zhi)附近(jin)🏃‍♀️,各方(fang)向的(de)流速(su)是相(xiang)近的(de),流速(su)差值(zhi)小于(yu)1%,可💃🏻以(yi)認爲(wei)管道(dao)中心(xin)附近(jin)爲非(fei)影響(xiang)速度(du)區;在(zai)管道(dao)中心(xin)兩側(ce),不同(tong)區域(yu)的流(liu)速變(bian)化情(qing)況不(bu)同,可(ke)以認(ren)爲受(shou)影響(xiang)速度(du)區的(de)範圍(wei)b=3.535D。通過(guo)耦合(he)仿真(zhen)計算(suan),将非(fei)影響(xiang)區域(yu)的流(liu)速平(ping)均值(zhi)V=2.458m/s和平(ping)均聲(sheng)壓計(ji)算流(liu)速值(zhi)V"m=1.928m/s帶人(ren)式(7)中(zhong),求得(de)上下(xia)遊影(ying)響🌈區(qu)域内(nei)的平(ping)均流(liu)速(V'1+V"2)/2爲(wei)1.928m/s。再利(li)用式(shi)(7)進行(hang)加權(quan)計算(suan),可以(yi)推算(suan)出更(geng)長聲(sheng)道📐時(shi)的探(tan)頭擾(rao)流影(ying)響,設(she)定非(fei)影響(xiang)區域(yu)的流(liu)速爲(wei)1,求🔞得(de)不同(tong)管㊙️道(dao)口徑(jing)下,流(liu)速的(de)系統(tong)偏差(cha)E如表(biao)1所示(shi),其☔中(zhong)聲道(dao)角度(du)φ=45°,探頭(tou)直徑(jing)D=14mm。
 
4結論(lun)
  超聲(sheng)流量(liang)計探(tan)頭局(ju)部結(jie)構帶(dai)來的(de)擾流(liu)效應(ying)造成(cheng)👣了🌈其(qi)流量(liang)測量(liang)的系(xi)統偏(pian)差,這(zhe)一偏(pian)差通(tong)常利(li)用實(shi)驗室(shi)實流(liu)校準(zhun)來修(xiu)正。爲(wei)了更(geng)好地(di)分析(xi)探頭(tou)擾流(liu)影響(xiang)機理(li),利用(yong)多物(wu)理場(chang)仿真(zhen)軟件(jian)對其(qi)進行(hang)了流(liu)聲耦(ou)合分(fen)析,主(zhu)要結(jie)論如(ru)下:
①探(tan)頭凹(ao)坑内(nei)存在(zai)低速(su)區且(qie)有漩(xuan)渦,聲(sheng)束範(fan)圍内(nei)各✉️區(qu)域的(de)平均(jun)流速(su)與探(tan)頭中(zhong)心區(qu)域上(shang)的平(ping)均流(liu)速不(bu)同,再(zai)加上(shang)探頭(tou)附近(jin)的🔞壁(bi)面聲(sheng)波反(fan)射,造(zao)成探(tan)頭端(duan)面不(bu)同區(qu)域接(jie)收到(dao)的聲(sheng)壓信(xin)号有(you)差異(yi),流量(liang)計測(ce)到的(de)聲🌈波(bo)傳播(bo)時間(jian)體現(xian)的🆚是(shi)聲壓(ya)信号(hao)統計(ji)平均(jun)的結(jie)果。
②對(dui)于帶(dai)有直(zhi)徑14mm的(de)斜插(cha)縮進(jin)式探(tan)頭的(de)DN70流量(liang)計,按(an)照探(tan)頭收(shou)到的(de)🌈面平(ping)均聲(sheng)壓信(xin)号計(ji)算時(shi)差,探(tan)頭擾(rao)流造(zao)成的(de)系統(tong)偏差(cha)約爲(wei)-14.2%。
③在仿(pang)真結(jie)果的(de)基礎(chu)上,假(jia)設探(tan)頭擾(rao)流影(ying)響範(fan)圍隻(zhi)✔️限于(yu)其附(fu)👄近一(yi)定範(fan)圍,利(li)用分(fen)段加(jia)權平(ping)均的(de)方式(shi),推導(dao)🔞了更(geng)長的(de)☔聲道(dao)長度(du)情況(kuang)下的(de)探頭(tou)擾流(liu)系統(tong)偏差(cha),發🏃‍♂️現(xian)該偏(pian)差均(jun)爲負(fu)偏差(cha),其絕(jue)對值(zhi)近似(si)等于(yu)♍探頭(tou)縮進(jin)比,随(sui)着聲(sheng)道長(zhang)度的(de)增加(jia)而降(jiang)低。

本(ben)文來(lai)源于(yu)網絡(luo),如有(you)侵權(quan)聯系(xi)即删(shan)除!


下(xia)篇文(wen)章: 電(dian)磁流(liu)量計(ji)在線(xian)校準(zhun)的可(ke)靠性(xing)分析(xi) 上篇(pian)文章(zhang): 流量(liang)計在(zai)生物(wu)發酵(jiao)連續(xu)補料(liao)中的(de)應用(yong)
 
江蘇(su)省霸展包装机械有限公司是(shi)一家(jia)專業(ye)提供(gong) 渦街(jie)流量(liang)計 渦(wo)輪流(liu)量計(ji) 電磁(ci)流量(liang)計 的(de)企業(ye),公司(si)将以(yi)優質(zhi)的服(fu)務優(you)惠的(de)價格(ge),服務(wu)新老(lao)客戶(hu)。
 版權(quan)所有(you):江蘇(su)省霸展包装机械有限公司       技(ji)術支(zhi)持易(yi)品網(wang)絡

 
 
·
 
 
·