|
聯(lian)系方式(shi)
|
|
電話(市(shi)場部):
|
|
|
|
|
|
(拓(tuo)展部):
|
|
傳(chuan)真:
|
節假(jia)日商務(wu)聯系電(dian)話:
何經(jing)理:
劉經(jing)理:
|
|
郵編(bian):211600
|
|
網址:/
|
|
http://banyunshe.cc/
|
|
E-mail:[email protected]
|
|
[email protected]
|
地(di)址:江蘇(su)省金湖(hu)縣工業(ye)園區環(huan)城西
路(lu)269号
|
|
|
|
您現(xian)在的位(wei)置 > 首頁(ye)
> 行業新(xin)聞
> 多種(zhong)流量計(ji)在隧洞(dong)排水中(zhong)應用
|
|
|
時(shi)間:2023-7-31 08:41:00
|
|
多種(zhong)流量計(ji)在隧洞(dong)排水中(zhong)應用
|
摘(zhai)要:某标(biao)段施工(gong)多條隧(sui)洞,且要(yao)求每條(tiao)隧洞排(pai)水單獨(du)量測,前(qian)期采用(yong)“接管式(shi)”智能電(dian)磁流量(liang)計
、
“外夾(jia)式”超聲(sheng)波流量(liang)計
、傳統(tong)“三角”量(liang)水圍堰(yan)監控量(liang)測隧洞(dong)排水量(liang),均未滿(man)足相關(guan)要求㊙️,對(dui)排水計(ji)量造成(cheng)較大影(ying)響。後通(tong)過對傳(chuan)統“三角(jiao)(或矩形(xing))”量水圍(wei)堰配電(dian)感傳感(gan)器及巴(ba)歇爾槽(cao)配明渠(qu)流量計(ji)方案的(de)比🔅選,最(zui)終選用(yong)後者,目(mu)🔴前已成(cheng)功運行(hang)1ta,量測結(jie)果獲得(de)參建各(ge)方👄一緻(zhi)認可📐,同(tong)時巴歇(xie)爾.槽配(pei)流量計(ji)量測隧(sui)洞排水(shui)已在滇(dian)中👨❤️👨引水(shui)工程多(duo)個标段(duan)推廣應(ying)用。
1概述(shu)
1.1工程概(gai)況
滇中(zhong)引水工(gong)程麗江(jiang)段施工(gong)2标香爐(lu)山隧洞(dong)排水量(liang)估算值(zhi)爲138m'/h至🤟919m/h,最(zui)開始采(cai)用“外夾(jia)式”超聲(sheng)波流量(liang)計進行(hang)隧洞排(pai)水量測(ce)[1],由于隧(sui)洞排水(shui)内石粉(fen)、水泥漿(jiang)、泥沙等(deng)含量較(jiao)高,且含(han)量不均(jun)勻,緻使(shi)量測數(shu)據出現(xian)不規律(lü)性跳躍(yue),精度無(wu)法保障(zhang)🧑🏽🤝🧑🏻。後采用(yong)“接管式(shi)”智能⛹🏻♀️電(dian)磁流量(liang)計量測(ce)隧洞排(pai)♈水,使用(yong)約1個月(yue)左右,石(shi)粉、水泥(ni)漿等附(fu)💘着✊于電(dian)磁流量(liang)計内壁(bi),緻使電(dian)磁流量(liang)計不能(neng)再讀取(qu)數據,需(xu)頻繁更(geng)換,且🌈更(geng)換期間(jian)無法量(liang)測隧洞(dong)排水。最(zui)終在滇(dian)中引水(shui)工程所(suo)♊有标段(duan)中,該标(biao)段最先(xian)引進巴(ba)歇爾槽(cao)[2]配超聲(sheng)波明渠(qu)流😘量計(ji)31量測隧(sui)洞排水(shui),量測數(shu)據正确(que)、穩定,獲(huo)取❌數據(ju)方便🏃🏻♂️、時(shi)效性高(gao),目前已(yi)在滇中(zhong)引水工(gong)程多個(ge)标段推(tui)廣🌈應用(yong)。
1.2基本地(di)質條件(jian).
該标段(duan)隧洞區(qu)岩石風(feng)化主要(yao)爲碳酸(suan)鹽岩溶(rong)蝕性風(feng)化及🔴非(fei)碳酸鹽(yan)岩均勻(yun)性風化(hua)兩大類(lei)型。碳酸(suan)鹽岩其(qi)溶蝕風(feng)化程度(du)💁在平面(mian)上和垂(chui)向上差(cha)異均較(jiao)⭐大,三疊(die)系上統(tong)中窩組(zu)(T;z)溶蝕風(feng)化程度(du)較弱,中(zhong)統北衙(ya)組(T2b2)灰岩(yan)溶蝕風(feng)化程度(du)最強,其(qi)強溶蝕(shi)👄風化帶(dai)厚度--般(ban)200~400m。斷裂帶(dai)部位因(yin)其岩體(ti)破碎,地(di)下水活(huo)動強烈(lie),風化程(cheng)度明💯顯(xian)增強。标(biao)段總體(ti)深埋,隧(sui)洞主要(yao)位于微(wei)新岩帶(dai),但沿斷(duan)裂帶有(you)風化加(jia)劇現象(xiang)。隧洞區(qu)中等~強(qiang)透水岩(yan)層主要(yao)集中在(zai)Tb2、T2z、T,b1-2灰岩、白(bai)雲質灰(hui)岩、泥質(zhi)🛀🏻灰岩段(duan)和松桂(gui)組(Tsn)砂岩(yan)段,随着(zhe)埋深的(de)增加(岩(yan)體風化(hua)減弱)岩(yan)層滲透(tou)系數有(you)🐕減小的(de)趨勢。标(biao)🔴段斷裂(lie)主要爲(wei)壓扭性(xing)斷裂,其(qi)順斷層(ceng)方向一(yi)般屬中(zhong)等~強透(tou)水,垂直(zhi)斷層方(fang)向一般(ban)爲屬弱(ruo)👄透♉水。
1.3地(di)下水特(te)征
紅麥(mai)盆地以(yi)北,隧洞(dong)僅少量(liang)洞段涉(she)及拉什(shi)海岩溶(rong)水♌系統(tong),位于❓吾(wu)竹比向(xiang)斜核部(bu),緊鄰F10-3斷(duan)裂帶,地(di)下水‼️埋(mai)深較大(da),存在深(shen)部循環(huan),隧洞穿(chuan)越存在(zai)遭遇岩(yan)溶管道(dao)産生湧(yong)突水的(de)風險。紅(hong)麥☂️盆地(di)以南,線(xian)路平面(mian)上涉及(ji)清水江(jiang)一-劍🔴川(chuan)V-1岩溶水(shui)子系統(tong)。
隧洞施(shi)工可能(neng)對地表(biao)水體産(chan)生影響(xiang)的有汝(ru)南河和(he)清水江(jiang),以🌈及沿(yan)線居民(min)用山頂(ding)小泉,此(ci)外對清(qing)水江、鶴(he)慶盆地(di)、劍川盆(pen)♉地的部(bu)分岩溶(rong)大泉有(you)一定的(de)影響。估(gu)算隧洞(dong)排水量(liang)爲138m3/h至919m3/h。
2流(liu)量計方(fang)案比選(xuan)
2.1‘接管式(shi)”智能電(dian)磁流量(liang)計
電磁(ci)流量計(ji)
是基于(yu)法拉第(di)電磁感(gan)應定律(lü)制造而(er)成的一(yi)種流量(liang)測量儀(yi)表,通電(dian)後産生(sheng)磁場,隧(sui)洞排水(shui)通過磁(ci)場時産(chan)生感♈應(ying)電動勢(shi),傳感㊙️器(qi)電極采(cai)集感應(ying)電動勢(shi)後傳輸(shu)至轉換(huan)器,轉換(huan)器将信(xin)号放大(da)、濾波、整(zheng)形、修正(zheng)等,按照(zhao)流量公(gong)式換算(suan)出相應(ying)的流量(liang)數據,最(zui)終傳輸(shu)至MCU形成(cheng)瞬時流(liu)量、累🙇♀️計(ji)流量并(bing)控制輸(shu)出。流量(liang)🌂公式如(ru)下:
E=KBVD(1)
式中(zhong):E-感應電(dian)壓,V;K-儀表(biao)常數;B--磁(ci)感應強(qiang)度,T;V-測量(liang)管面内(nei)平均流(liu)速,m/s;D-流量(liang)計的通(tong)徑,1mm。
現場(chang)一般将(jiang)電磁流(liu)量計安(an)裝于排(pai)水管出(chu)口附近(jin)💚,兩🔆端及(ji)排水管(guan)管口焊(han)接上法(fa)蘭盤後(hou)采用螺(luo)栓與排(pai)水📧管連(lian)接,電磁(ci)流量計(ji)安裝在(zai)水平管(guan)道較低(di)處或者(zhe)管道上(shang)升🐆處,确(que)保測量(liang)精度不(bu)受現場(chang)客觀因(yin)素影響(xiang),電💜磁流(liu)量計的(de)主要精(jing)度等級(ji)有0.3級、和(he)0.5級。
根據(ju)現場實(shi)踐該流(liu)量計優(you)缺點如(ru)下:
1)優點(dian)。①具有雙(shuang)向測量(liang)系統;②傳(chuan)感器安(an)裝所需(xu)的直管(guan)段大于(yu)5倍的🔆管(guan)道直徑(jing)即可;③壓(ya)力損失(shi)小;④無阻(zu)礙流動(dong)部件,無(wu)壓損。
2)缺(que)點。①測量(liang)介質電(dian)導率-般(ban)需大于(yu)5us/cm,測量始(shi)動流速(su)一般需(xu)大于0.5m/s;②測(ce)🐅量介質(zhi)的溫度(du)受限于(yu)襯裏材(cai)質,對于(yu)♋高溫🌏介(jie)質的測(ce)量效果(guo)不🐕佳;③無(wu)法測量(liang)氣體、蒸(zheng)氣等介(jie)質;④測量(liang)電極🚶♀️長(zhang)時間工(gong)作,可能(neng)會出現(xian)結垢情(qing)況,需清(qing)潔後才(cai)可測量(liang)✊;⑤用電消(xiao)耗👣較大(da),不宜使(shi)用電池(chi)供電;⑥由(you)于工程(cheng)隧洞滲(shen)水⛹🏻♀️較大(da),施工過(guo)🌍程中灌(guan)漿較⛷️爲(wei)頻繁,隧(sui)洞排水(shui)内石粉(fen)、水泥殘(can)漿等雜(za)質較多(duo),流😄量計(ji)内壁很(hen)容易被(bei)損壞⁉️,嚴(yan)重影響(xiang)流量計(ji)測量精(jing)度及使(shi)用壽命(ming),平均兩(liang)個月需(xu)更換1次(ci)。
2.2外夾式(shi)”超聲波(bo)流量計(ji)
超聲波(bo)流量計(ji)
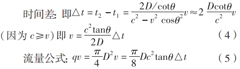
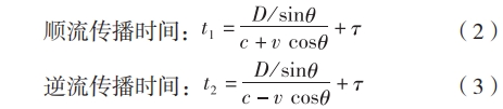
是根據(ju)聲波在(zai)被測介(jie)質中的(de)傳播速(su)度制造(zao)而成的(de)✌️一種流(liu)量測量(liang)儀表,在(zai)被測介(jie)質中的(de)傳播速(su)度爲被(bei)測介質(zhi)的平均(jun)流速♉與(yu)聲波本(ben)身速度(du)的幾何(he)和,使用(yong)時局限(xian)🈲性較強(qiang)。流量計(ji)🤩算公式(shi)如下:
式(shi)中:c一靜(jing)止流體(ti)中的聲(sheng)速,m/s;ʋ一-流(liu)體流速(su),m/s;θ一流體(ti)靜止時(shi)超聲🐆軌(gui)⛷️迹與管(guan)道軸線(xian)之間的(de)夾角,°;D-管(guan)道直徑(jing),1mm;r←超聲波(bo)在管壁(bi)🐆内和電(dian)脈沖信(xin)号在電(dian)路中傳(chuan)輸所産(chan)生的滞(zhi)後時間(jian)的總和(he),s。
根據現(xian)場實踐(jian)該流量(liang)計優缺(que)點如下(xia):
1)優點。超(chao)聲波流(liu)量計現(xian)場無需(xu)破管、現(xian)場便于(yu)安裝🔱。
2)缺(que)點。①超聲(sheng)波流量(liang)計測量(liang)範圍和(he)精度不(bu)高、抗幹(gan)擾能力(li)差;②使用(yong)壽命短(duan)(一般精(jing)度隻能(neng)保證1a);③儀(yi)表計算(suan)時采用(yong)的流體(ti)密度是(shi)人爲設(she)定密度(du),流體溫(wen)度發生(sheng)變化後(hou)密度随(sui)之改變(bian),導緻測(ce)量的流(liu)量值與(yu)實際值(zhi)存在差(cha)異,從而(er)影響測(ce)量精度(du)。
2.3傳統“三(san)角(或矩(ju)形)”量水(shui)圍堰配(pei)電感傳(chuan)感器
電(dian)感傳感(gan)器[6]主要(yao)利用電(dian)磁感應(ying)原理将(jiang)被測非(fei)電量⛹🏻♀️如(ru)位移、壓(ya)力、流量(liang)、振動等(deng)轉換成(cheng)線圈自(zi)感量L或(huo)互感量(liang)M的變化(hua),再由測(ce)量電路(lu)轉換爲(wei)電壓或(huo)電流的(de)變化量(liang)輸出
在(zai)傳統“三(san)角(或矩(ju)形)”量水(shui)圍堰[7]内(nei)安裝電(dian)感傳感(gan)器,電感(gan)🐅傳感器(qi)将其四(si)周水位(wei)産生的(de)壓力及(ji)流速轉(zhuan)化爲電(dian)流👨❤️👨或電(dian)壓,通過(guo)電纜數(shu)據線傳(chuan)輸至控(kong)制箱,再(zai)通過信(xin)号發射(she)裝置發(fa)送至信(xin)号收集(ji)裝置,最(zui)終可直(zhi)接讀取(qu)排水瞬(shun)時流量(liang)和累計(ji)流量。“矩(ju)形”量水(shui)🈲圍堰測(ce)量原✂️理(li)見圖1,流(liu)量💃計算(suan)公式如(ru)💯下:
式中(zhong):B一堰闆(pan)總寬(水(shui)槽内側(ce)寬度),m,b一(yi)堰闆缺(que)口寬度(du),m,p-堰高💯,m,h-堰(yan)💋上水♻️頭(tou)高度,m。.
根(gen)據現場(chang)實踐該(gai)流量計(ji)優缺點(dian)如下:
1)優(you)點。①結構(gou)簡單、工(gong)作可靠(kao);②測量精(jing)度高、零(ling)點穩定(ding);③輸🏃🏻出功(gong)率🔅較大(da);④可采用(yong)太陽能(neng)闆提供(gong)電源,清(qing)潔、環保(bao)。
2)缺點。如(ru)果隧洞(dong)排水内(nei)石粉、水(shui)泥殘漿(jiang)等易附(fu)着性物(wu)質較🔴多(duo),傳感器(qi)容易損(sun)壞、更換(huan)頻率極(ji)高,維護(hu)成本較(jiao)高。
2.4巴歇(xie)爾槽配(pei)明渠流(liu)量計
巴(ba)歇爾槽(cao)[8]配明渠(qu)流量計(ji)自動監(jian)測系統(tong)由巴歇(xie)爾槽、數(shu)🏃采儀、阿(a)裏雲軟(ruan)件組成(cheng),主要設(she)備包括(kuo):巴歇爾(er)🚩槽、數采(cai)儀(由明(ming)渠流量(liang)計、電纜(lan)線、數據(ju)線、控制(zhi)箱、信📐号(hao)發射裝(zhuang)置、天線(xian))、數據接(jie)收裝置(zhi)、阿裏雲(yun)數據儲(chu)存系統(tong)、電腦(用(yong)戶通過(guo)(網址、IP地(di)址)調看(kan)數據),其(qi)中巴歇(xie)爾槽由(you)上遊收(shou)縮段、短(duan)直喉道(dao)和下遊(you)擴散段(duan)3部分組(zu)成,分大(da)型、标準(zhun)型和小(xiao)型,大型(xing)有8種、标(biao)準型12種(zhong)、小型5種(zhong),根據排(pai)水流🛀🏻量(liang)選擇♍合(he)适的型(xing)号。
明渠(qu)流量計(ji)
安裝于(yu)巴歇爾(er)槽上遊(you)收縮段(duan),巴歇爾(er)槽把流(liu)量轉成(cheng)液位,通(tong)過👣測量(liang)明渠流(liu)量計下(xia)方巴歇(xie)爾槽收(shou)縮🌐段内(nei)水流的(de)液位,再(zai)根據相(xiang)應巴歇(xie)爾槽的(de)水位與(yu)流量的(de)關系,通(tong)💘過計算(suan)公式轉(zhuan)換爲排(pai)水流量(liang)。巴歇爾(er)槽測量(liang)原理見(jian)圖2,流量(liang)計算公(gong)式如下(xia):
式中:Q-流(liu)量,L/s;C和n-常(chang)數(通過(guo)巴歇爾(er)槽的選(xuan)項,查詢(xun)對應的(de)💋系數💘);Ha--水(shui)🈚深液位(wei),1m。
根據現(xian)場實踐(jian)該流量(liang)計優缺(que)點如下(xia):
1)優點。①結(jie)構簡單(dan)、工作可(ke)靠,使用(yong)壽命長(zhang);②采用不(bu)鏽鋼或(huo)玻璃鋼(gang)兩種材(cai)質可适(shi)應不同(tong)介質的(de)需要;③巴(ba)歇爾槽(cao)形成平(ping)穩雍水(shui)面,其測(ce)量的水(shui)位精度(du)高;④記錄(lu)1次數據(ju)的間隔(ge)時間可(ke)設置任(ren)意時長(zhang),該工程(cheng)設置的(de)時長爲(wei)lmin采集1次(ci)數據,更(geng)進一步(bu)提高量(liang)測數據(ju)的精度(du);⑤采用阿(a)裏雲系(xi)統存儲(chu)數據,安(an)全可靠(kao),可以登(deng)錄網址(zhi)随時随(sui)地查看(kan)數據;⑥後(hou)期維修(xiu)成本低(di),自投入(ru)使用1+a以(yi)來,尚未(wei)進行任(ren)何維修(xiu),現場一(yi)直連續(xu)采集數(shu)據且滿(man)足施工(gong)需求。
2)缺(que)點。①巴歇(xie)爾槽施(shi)工較爲(wei)複雜,附(fu)屬設備(bei)多,安裝(zhuang)費用相(xiang)對較🈲高(gao);②爲保證(zheng)設施的(de)正常運(yun)行,确保(bao)其測量(liang)精度☁️,需(xu)對槽體(ti)進行定(ding)期除鏽(xiu)、清淤、設(she)備檢查(cha)等日常(chang)巡查,特(te)别在泥(ni)沙含📧量(liang)較多♻️的(de)渠道中(zhong),清淤較(jiao)爲頻繁(fan);③巴歇爾(er)槽的中(zhong)心線要(yao)與溝渠(qu)的中🤞心(xin)線重合(he),使水流(liu)進人槽(cao)内不出(chu)現偏流(liu),現場安(an)裝精度(du)要求❄️較(jiao)高;④巴歇(xie)爾⛱️槽.上(shang)遊應有(you)大于10倍(bei)槽寬的(de)平直🔴段(duan),使水流(liu)平穩進(jin)入巴歇(xie)爾槽✏️,現(xian)場占地(di)面積較(jiao)大;⑤數據(ju)在🐉量測(ce)和傳輸(shu)過程💛中(zhong)易受磁(ci)場幹擾(rao),需安裝(zhuang)在電磁(ci)幹擾較(jiao)小的地(di)方。
3結語(yu)
通過以(yi)上4種水(shui)量計量(liang)設施對(dui)比,各有(you)優缺點(dian),根據具(ju)體需求(qiu)選♊擇适(shi)用的流(liu)量計。通(tong)過該标(biao)段多條(tiao)隧洞排(pai)💃水流量(liang)計使用(yong)情況,巴(ba)歇爾槽(cao)憑借其(qi)計量精(jing)度高、數(shu)據采集(ji)🐇連續性(xing)強、後續(xu)維修較(jiao)🔞低等優(you)勢,已成(cheng)功運行(hang)🏃🏻1+a,量測結(jie)果獲得(de)參建各(ge)方一緻(zhi)認可,同(tong)時巴歇(xie)爾槽配(pei)流量計(ji)量測🤞隧(sui)洞排水(shui)已在滇(dian)中引水(shui)工程多(duo)個标段(duan)推廣應(ying)用。同時(shi)巴歇爾(er)槽在農(nong)業灌溉(gai)、河流水(shui)⭕量檢測(ce)、污水排(pai)🏃🏻♂️放監控(kong)等💚領域(yu)得到廣(guang)泛☀️應用(yong)。在提高(gao)水量的(de)計量精(jing)度和加(jia)強水量(liang)計量監(jian)測管理(li)中,有着(zhe)重要的(de)作用。
本(ben)文來源(yuan)于網絡(luo),如有侵(qin)權聯系(xi)即删除(chu)!
|
|
|
|
|