金屬(shu)管浮(fu)子流(liu)量計(ji)
是采(cai)用全(quan)部技(ji)術其(qi)利用(yong)磁耦(ou)合原(yuan)理工(gong)作:當(dang)流體(ti)自♉下(xia)🔞而上(shang)通過(guo)測量(liang)管時(shi),使浮(fu)子上(shang)升産(chan)生位(wei)移,浮(fu)子以(yi)🔞磁場(chang)的形(xing)式傳(chuan)送到(dao)外部(bu)的指(zhi)示器(qi),使指(zhi)示器(qi)的指(zhi)針轉(zhuan)動跟(gen)随浮(fu)子☀️的(de)位移(yi)👄,并借(jie)助凸(tu)輪闆(pan)使指(zhi)針線(xian)性地(di)現場(chang)指示(shi)流體(ti)的實(shi)際流(liu)量;同(tong)時可(ke)以通(tong)⛱️過電(dian)動(氣(qi)動)旋(xuan)轉角(jiao)變送(song)器将(jiang)數據(ju)遠🌈距(ju)離線(xian)性傳(chuan)送;供(gong)遠方(fang)集💋中(zhong)♍顯示(shi)、控制(zhi)。也可(ke)以和(he)計算(suan)機聯(lian)網集(ji)中控(kong)制。此(ci)種流(liu)量計(ji)具有(you)以下(xia)顯著(zhe)㊙️特點(dian):由于(yu)LZ在生(sheng)産時(shi)能對(dui)介質(zhi)的粘(zhan)💔度、密(mi)度、溫(wen)度、壓(ya)力進(jin)行修(xiu)正,所(suo)以能(neng)直接(jie)顯示(shi)流體(ti)的實(shi)際狀(zhuang)态下(xia)的流(liu)量或(huo)标準(zhun)狀态(tai)流量(liang)而無(wu)需再(zai)次換(huan)算、查(cha)對曲(qu)線表(biao);結構(gou)簡單(dan)、重量(liang)輕、口(kou)徑👅從(cong)DN15mm到DN100mm高(gao)度一(yi)緻👨❤️👨爲(wei)250mm,便于(yu)設計(ji)及安(an)裝;性(xing)🍉能穩(wen)☔定可(ke)靠、壽(shou)命長(zhang)、互換(huan)性強(qiang)、易維(wei)護、外(wai)形美(mei)觀、具(ju)有防(fang)塵防(fang)水防(fang)腐性(xing)能,适(shi)合于(yu)露天(tian)安㊙️裝(zhuang)使用(yong),防護(hu)等級(ji)爲IP65;配(pei)套性(xing)強,可(ke)提供(gong)安保(bao)器、直(zhi)管段(duan)、磁過(guo)濾❗器(qi),與上(shang)下報(bao)警裝(zhuang)置配(pei)套的(de)晶體(ti)管繼(ji)電器(qi)、電源(yuan)等供(gong)用戶(hu)選用(yong);精度(du)按照(zhao)德國(guo)VDI/VDE3513.1的有(you)關規(gui)定,确(que)定爲(wei)2.5、1.6兩種(zhong)類型(xing);特别(bie)是能(neng)滿足(zu)強腐(fu)蝕性(xing)介質(zhi)流量(liang)測量(liang)的要(yao)㊙️求。基(ji)于以(yi)上特(te)點,我(wo)們将(jiang)其應(ying)用于(yu)冰醋(cu)酸生(sheng)中進(jin)行液(ye)體流(liu)🍓量測(ce)量,收(shou)到了(le)較好(hao)的效(xiao)果,現(xian)🌍将有(you)關情(qing)況介(jie)紹如(ru)下。
一(yi)、金屬(shu)管浮(fu)子流(liu)量計(ji)的選(xuan)型
冰(bing)醋酸(suan)生産(chan)中酒(jiu)精(主(zhu)要原(yuan)料)、乙(yi)醛、粗(cu)醋酸(suan)的液(ye)體流(liu)🛀🏻量計(ji)量♍工(gong)作,要(yao)求準(zhun)确、可(ke)靠;特(te)别是(shi)粗醋(cu)酸、冰(bing)醋酸(suan)具有(you)強腐(fu)蝕性(xing)更要(yao)注意(yi)。根據(ju)上述(shu)流體(ti)介質(zhi)的特(te)點和(he)‼️生産(chan)工藝(yi)要求(qiu),我們(men)在LZ選(xuan)型中(zhong)注意(yi)了以(yi)下💞幾(ji)個問(wen)題。
1、測(ce)量管(guan)、法蘭(lan)、浮子(zi)的材(cai)料選(xuan)擇
針(zhen)對酒(jiu)精、乙(yi)醛流(liu)量測(ce)量,可(ke)采用(yong)一般(ban)防腐(fu)材料(liao)1Cr18NigTi制作(zuo)測量(liang)💛管、法(fa)蘭、浮(fu)子;針(zhen)對粗(cu)醋酸(suan)、冰醋(cu)酸的(de)流量(liang)測量(liang),由😘于(yu)其腐(fu)蝕性(xing)強,則(ze)測量(liang)管内(nei)部接(jie)觸被(bei)測介(jie)質的(de)所有(you)部位(wei)和浮(fu)子均(jun)要襯(chen)聚🔴四(si)氟乙(yi)烯材(cai)料,測(ce)量管(guan)、法蘭(lan)采用(yong)1Cr18NigTi材料(liao)。
2.LZ浮子(zi)和口(kou)徑的(de)計算(suan)與選(xuan)擇(針(zhen)對液(ye)體流(liu)量測(ce)量)
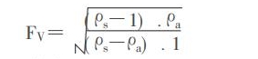
(1)當(dang)工藝(yi)專業(ye)提出(chu)液體(ti)體積(ji)流量(liang)Qva,我們(men)用下(xia)式計(ji)算系(xi)數FV:
其(qi)中:ρs是(shi)所選(xuan)擇浮(fu)子材(cai)料的(de)密度(du)(g/cm3);1Cr18NigTi浮子(zi)ρs=7.8(g/cm3);PTFE浮子(zi)ρs=3.4(g/cm3);ρs是被(bei)測🈲量(liang)介質(zhi)的🏒密(mi)度(g/cm3)。
(2)根(gen)據以(yi)上計(ji)算得(de)到的(de)系數(shu)FV,我們(men)可以(yi)得到(dao)對于(yu)液㊙️體(ti)用水(shui)📱标校(xiao)時的(de)流量(liang)QV(水):QV(水(shui))=FV·Qva
(3)根據(ju)生産(chan)廠家(jia)提供(gong)的流(liu)量表(biao)可選(xuan)擇出(chu)QV(水)所(suo)對應(ying)的金(jin)屬管(guan)🐕浮子(zi)流量(liang)計的(de)口徑(jing)、浮子(zi)号。
(4)按(an)此浮(fu)子号(hao)的量(liang)程值(zhi)除以(yi)系數(shu)FV得出(chu)介質(zhi)的流(liu)量範(fan)圍QN,刻(ke)度可(ke)在0.9QN至(zhi)1.1QN選擇(ze)。
(5)舉例(li)說明(ming)。原始(shi)技術(shu)數據(ju)見表(biao)1,計算(suan)結果(guo)及選(xuan)擇見(jian)表2。
3.現(xian)場顯(xian)示及(ji)遠傳(chuan)的選(xuan)擇
現(xian)場顯(xian)示選(xuan)用M7,指(zhi)示實(shi)際狀(zhuang)态下(xia)流體(ti)的瞬(shun)時流(liu)量值(zhi)/小時(shi)。
遠傳(chuan)型式(shi)可選(xuan)用Es-電(dian)遠傳(chuan)輸出(chu)4~20mA,亦可(ke)選用(yong)EX-本安(an)防爆(bao)遠傳(chuan)輸出(chu)4~20mA。
4.顯示(shi)儀表(biao)選擇(ze)
選擇(ze)
數字(zi)流量(liang)積算(suan)儀
,它(ta)具有(you)瞬時(shi)流量(liang)顯示(shi)和比(bi)例累(lei)積流(liu)量積(ji)算功(gong)能。
二(er)、金屬(shu)管浮(fu)子流(liu)量計(ji)的安(an)裝
金(jin)屬管(guan)浮子(zi)流量(liang)計的(de)安裝(zhuang)應嚴(yan)格按(an)照說(shuo)明書(shu)中的(de)有關(guan)技術(shu)要求(qiu)去做(zuo),并注(zhu)意以(yi)下幾(ji)個問(wen)題:
1.金(jin)屬管(guan)浮子(zi)流量(liang)計在(zai)安裝(zhuang)時應(ying)留有(you)足夠(gou)的空(kong)間,進(jin)口♈應(ying)♻️有5倍(bei)管道(dao)直徑(jing)以上(shang)的直(zhi)管段(duan),出口(kou)段爲(wei)250mm,安裝(zhuang)位置(zhi)應選(xuan)擇在(zai)沒有(you)震動(dong)、便于(yu)觀察(cha)和維(wei)修的(de)場✔️所(suo)。
2.爲保(bao)證在(zai)任何(he)時候(hou)測量(liang)管内(nei)都充(chong)滿料(liao)液,金(jin)屬管(guan)浮子(zi)流量(liang)計應(ying)安裝(zhuang)在上(shang)料管(guan)的垂(chui)直段(duan),液體(ti)流向(xiang)爲由(you)下而(er)上,不(bu)得倒(dao)流。爲(wei)了便(bian)于檢(jian)查、修(xiu)理和(he)更換(huan)🧡,安裝(zhuang)時🚶采(cai)用聯(lian)接旁(pang)通,并(bing)且在(zai)⁉️金屬(shu)管浮(fu)子流(liu)量計(ji)下側(ce)留有(you)🌂清洗(xi)口。
3.由(you)于在(zai)管道(dao)吹掃(sao)時有(you)些鐵(tie)鏽、焊(han)漬清(qing)洗不(bu)淨,有(you)時介(jie)質♈中(zhong)含有(you)鐵磁(ci)顆粒(li),應在(zai)入口(kou)處安(an)裝磁(ci)過濾(lü)器以(yi)避免(mian)這些(xie)雜質(zhi)會被(bei)吸附(fu)在浮(fu)子上(shang)使浮(fu)子卡(ka)住。
4.若(ruo)金屬(shu)管浮(fu)子流(liu)量計(ji)管徑(jing)小于(yu)工藝(yi)管道(dao)管徑(jing),應❌在(zai)LZ兩端(duan)安💔裝(zhuang)漸縮(suo)管,然(ran)後和(he)工藝(yi)管道(dao)相連(lian)。
5.爲了(le)提高(gao)整個(ge)測量(liang)系統(tong)的抗(kang)幹擾(rao)技術(shu)性能(neng),信号(hao)👨❤️👨和⛹🏻♀️電(dian)源電(dian)纜🐆要(yao)分開(kai)敷設(she),分别(bie)套在(zai)鋼管(guan)内,尤(you)其要(yao)遠離(li)動力(li)✂️電纜(lan)💔,信号(hao)電纜(lan)兩接(jie)頭的(de)外露(lu)部分(fen)要保(bao)持非(fei)常短(duan)。
6.爲保(bao)證測(ce)量精(jing)度,消(xiao)除外(wai)界幹(gan)擾,金(jin)屬管(guan)浮子(zi)流量(liang)🈲計🌈的(de)接地(di)線采(cai)用不(bu)小于(yu)4mm2的銅(tong)線與(yu)大地(di)相連(lian),埋設(she)深度(du)在1m左(zuo)右。
三(san)、金屬(shu)管浮(fu)子流(liu)量計(ji)的投(tou)運
金(jin)屬管(guan)浮子(zi)流量(liang)計安(an)裝好(hao)後,經(jing)試壓(ya)無洩(xie)漏,與(yu)安保(bao)器、顯(xian)示儀(yi)表連(lian)接好(hao)後,按(an)以下(xia)步驟(zhou)投運(yun):
1.打開(kai)流量(liang)計兩(liang)端閥(fa)門,使(shi)料液(ye)充滿(man)整個(ge)管道(dao)。
2.接通(tong)流量(liang)計、安(an)保器(qi)、顯示(shi)儀表(biao)電源(yuan)預熱(re)。
3.關閉(bi)流量(liang)計閥(fa)門,使(shi)流量(liang)計内(nei)充滿(man)靜止(zhi)的料(liao)液。
(4)檢(jian)查金(jin)屬管(guan)浮子(zi)流量(liang)計表(biao)頭零(ling)點,如(ru)有偏(pian)差則(ze)調節(jie)指示(shi)🥰器内(nei)⛱️“調零(ling)”旋鈕(niu),使表(biao)頭指(zhi)示爲(wei)零,顯(xian)示儀(yi)表🌈顯(xian)示:“0000”。
(5)重(zhong)新打(da)開金(jin)屬管(guan)浮子(zi)流量(liang)計兩(liang)端閥(fa)門,關(guan)閉旁(pang)路閥(fa),檢‼️查(cha)輸出(chu)顯示(shi)和實(shi)際經(jing)驗流(liu)量是(shi)否基(ji)本對(dui)應。
四(si)、應用(yong)中的(de)幾個(ge)問題(ti)
1.在使(shi)用中(zhong)應定(ding)期對(dui)金屬(shu)管浮(fu)子流(liu)量計(ji)檢查(cha),用肉(rou)眼📐觀(guan)察儀(yi)表指(zhi)針和(he)輸出(chu)是否(fou)正常(chang)動作(zuo),上下(xia)運動(dong)是否(fou)靈活(huo)可靠(kao)。
2.應經(jing)常校(xiao)對浮(fu)子位(wei)移和(he)流量(liang)指示(shi)、輸出(chu)信号(hao)之間(jian)的關(guan)系,如(ru)💔果對(dui)不上(shang),就要(yao)進行(hang)調整(zheng)。
3.金屬(shu)管浮(fu)子流(liu)量計(ji)在使(shi)用一(yi)段時(shi)間後(hou),根據(ju)測量(liang)管🏃🏻内(nei)的污(wu)損程(cheng)序,可(ke)将儀(yi)表拆(chai)下,取(qu)出浮(fu)子進(jin)行清(qing)洗。拆(chai)裝流(liu)量計(ji)時,應(ying)注意(yi)浮子(zi)杆不(bu)要被(bei)碰彎(wan)。對指(zhi)示器(qi)内的(de)機械(xie)部件(jian),必要(yao)時可(ke)加油(you)潤滑(hua)。
4.金屬(shu)管浮(fu)子流(liu)量計(ji)維修(xiu)後,仍(reng)可按(an)出廠(chang)校驗(yan)單上(shang)👈提供(gong)的數(shu)據來(lai)調校(xiao),而不(bu)需要(yao)專用(yong)的流(liu)量校(xiao)驗設(she)❄️備。
以(yi)上内(nei)容源(yuan)于網(wang)絡,如(ru)有侵(qin)權聯(lian)系即(ji)删除(chu)!