亚洲精品白浆高清久久久久久 氣體組分變化對熱式質量流量計影響-江蘇省霸展包装机械有限公司

 

;                  
               
  溫度儀(yi)表系列(lie)
  流量儀(yi)表系列(lie)
  校驗儀(yi)表系列(lie)
  顯示儀(yi)表系列(lie)
  變送器(qi)儀表系(xi)列
  電線(xian)電纜系(xi)列
  電磁(ci)流量計(ji)的工作(zuo)⁉️亚洲精品白浆高清久久久久久🧑🏽‍🤝‍🧑🏻原理
  氧(yang)化锆氧(yang)傳感器(qi)的原理(li)及應用(yong)
  有害氣(qi)體檢測(ce)報警儀(yi)選用原(yuan)則
  我國(guo)計量用(yong)儀器儀(yi)表的發(fa)展和現(xian)狀
  國内(nei)儀器儀(yi)表行業(ye)将發生(sheng)高科....
 
  采用半(ban)導體精(jing)密溫度(du)傳感......
  智(zhi)能溫度(du)傳感器(qi)的發展(zhan)趨勢
  簡(jian)述幾種(zhong)氣體檢(jian)測傳感(gan)器.....
  利用(yong)傳感器(qi)技術制(zhi)造智能(neng)服裝
  新(xin)型傳感(gan)器監控(kong)魚群數(shu)量
   
 
  電(dian)話(市場(chang)部):  
      
      
   (拓展(zhan)部):
     傳真(zhen):
  郵編:211600
 網(wang)址:/
    http://banyunshe.cc/
 E-mail:[email protected]
     [email protected]
 地址(zhi):江蘇省(sheng)金湖縣(xian)工業園(yuan)區環城(cheng)西
 路269号(hao)
  時間(jian):2022-9-12 08:37:13

氣體組(zu)分變化(hua)對熱式(shi)質量流(liu)量計影(ying)響

摘要(yao):混合氣(qi)體組分(fen)變化會(hui)造成其(qi)物性參(can)數變化(hua),進而對(dui)熱式氣(qi)體質量(liang)流量計(ji) 測量精(jing)度産生(sheng)影響。結(jie)合混合(he)氣體物(wu)性參數(shu)計算💁與(yu)💛誤🈲差傳(chuan)👅遞理論(lun)對氣體(ti)組分變(bian)化或組(zu)分設定(ding)不準确(que)時流量(liang)測量精(jing)度的影(ying)響進行(hang)了研究(jiu)與分析(xi),給出了(le)由物性(xing)參數變(bian)化引起(qi)質量流(liu)量誤差(cha)的定量(liang)計算公(gong)式。以最(zui)常見的(de)混合氣(qi)體一--空(kong)氣爲例(li)進行了(le)實例計(ji)算,并采(cai)用熱㊙️式(shi)氣體質(zhi)量流量(liang)計在氣(qi)體流量(liang)标準裝(zhuang)置.上進(jin)行實流(liu)🥵測試,在(zai)300~3000kg/h流量範(fan)圍内👈,空(kong)氣組分(fen)設定變(bian)化1%、5%、10%時對(dui)熱式流(liu)量測量(liang)依次産(chan)生0.56%、3.19%、4.94%的誤(wu)差,與定(ding)量計算(suan)🈲公式得(de)到的結(jie)果相比(bi)具有很(hen)好的一(yi)緻性,且(qie)在組分(fen)變化較(jiao)大時,由(you)組分變(bian)❓化造成(cheng)對質量(liang)流量的(de)誤差不(bu)可忽略(lue),并找到(dao)了組分(fen)變化不(bu)可忽略(lue)的臨界(jie)值約爲(wei)3%~5%,爲實際(ji)應用提(ti)供參考(kao)🌈。
0引言
  質(zhi)量流量(liang)能正确(que)的反映(ying)物理過(guo)程或化(hua)學過程(cheng),因此人(ren)們一直(zhi)希望可(ke)以對其(qi)直接進(jin)行測量(liang)。然而,大(da)多數流(liu)量測量(liang)技術是(shi)測量體(ti)積流量(liang)的,在中(zhong)低壓氣(qi)體流量(liang)測量技(ji)術中,熱(re)式氣體(ti)質量流(liu)量測量(liang)技術可(ke)行的直(zhi)接質量(liang)流量測(ce)量技術(shu)。該方📧法(fa)依托于(yu)被測氣(qi)體的動(dong)力粘度(du)、導熱系(xi)數、定壓(ya)比熱容(rong)等物性(xing)參數。不(bu)同的氣(qi)體具有(you)相異☔的(de)物性參(can)數,因⭐此(ci)當氣體(ti)組分🧑🏽‍🤝‍🧑🏻發(fa)生變化(hua)或者組(zu)分測量(liang)不正确(que)時必然(ran)會引人(ren)質量流(liu)量的測(ce)量誤差(cha)。
  在熱式(shi)氣體質(zhi)量流量(liang)測量及(ji)補償算(suan)法研究(jiu)中,利用(yong)恒溫差(cha)原❌理的(de)熱式質(zhi)量流量(liang)計,将物(wu)性參數(shu)分析與(yu)經驗公(gong)式相結(jie)合,提🈲出(chu)了一種(zhong)熱式氣(qi)體流量(liang)🐕計的組(zu)🐉分補償(chang)算法。該(gai)♌算法将(jiang)不同氣(qi)㊙️體組分(fen)引人流(liu)量計特(te)性曲線(xian)的組分(fen)補償🥰系(xi)數中,當(dang)被測氣(qi)體組分(fen)改變時(shi),改變上(shang)位機的(de)相關系(xi)數,完成(cheng)組份補(bu)👨‍❤️‍👨償。根據(ju)以往💰學(xue)者的研(yan)究,混合(he)氣體的(de)組分變(bian)化,會導(dao)緻熱式(shi)氣體質(zhi)🔞量流量(liang)計測量(liang)不準确(que),但是氣(qi)體組分(fen)變化或(huo)者組分(fen)設定不(bu)準确對(dui)熱式氣(qi)體質量(liang)流量計(ji)測🔴量精(jing)度影響(xiang)的定量(liang)分析尚(shang)未出現(xian)相關的(de)報道。
  本(ben)文針對(dui)以上問(wen)題展開(kai)研究,通(tong)過計算(suan)分析,推(tui)導出由(you)組分變(bian)化引起(qi)的誤差(cha)與質量(liang)流量誤(wu)差的定(ding)量關系(xi),并通過(guo)👅實驗得(de)以驗證(zheng)。本次研(yan)究還得(de)到組💘分(fen)變化影(ying)響質量(liang)流量誤(wu)差的臨(lin)界值🌈、優(you)選出适(shi)用于熱(re)式氣體(ti)質量流(liu)量計中(zhong)計算各(ge)相關混(hun)合氣體(ti)🍓物性參(can)數的方(fang)法,均爲(wei)實際工(gong)程應用(yong)提供了(le)一定🌈的(de)借鑒。
1熱(re)式氣體(ti)質量流(liu)量計的(de)基本原(yuan)理
  熱式(shi)流量測(ce)量技術(shu)最早起(qi)源于20世(shi)紀60年代(dai)熱線式(shi)傳🐅感器(qi)的應用(yong),其作爲(wei)流量測(ce)量技術(shu)的一個(ge)重要分(fen)支,是一(yi)種基于(yu)熱傳遞(di)原理的(de)直接式(shi)質量流(liu)量測量(liang)方法.利(li)用流動(dong)中的氣(qi)體💰與熱(re)源之間(jian)的熱量(liang)交換關(guan)系直接(jie)測量氣(qi)體的質(zhi)量流量(liang)。熱式氣(qi)體質量(liang)流量傳(chuan)感器的(de)原理如(ru)圖1所示(shi)。
熱式氣(qi)體質量(liang)流量傳(chuan)感器的(de)原理
 
  熱(re)式氣體(ti)質量流(liu)量傳感(gan)器由兩(liang)個探頭(tou)組成,分(fen)别稱💞爲(wei)測速探(tan)頭R。和測(ce)溫探頭(tou)R。測溫探(tan)頭測量(liang)氣體的(de)溫度。測(ce)速探頭(tou)被加熱(re)到高于(yu)被測氣(qi)體的溫(wen)度,當🔞氣(qi)體流過(guo)速度探(tan)頭,并❤️且(qie)達到穩(wen)定狀👅态(tai)後,根據(ju)牛頓冷(leng)卻公式(shi),加熱電(dian)💃🏻功率等(deng)于其表(biao)面對流(liu)換熱的(de)耗散熱(re)量,如式(shi)(1)所示,左(zuo)側是測(ce)速探頭(tou)加熱的(de)電功⛱️率(lü),右側是(shi)對流換(huan)熱量:
  式(shi)中:I爲測(ce)速探頭(tou)的供電(dian)電流;Rw爲(wei)速度探(tan)頭的電(dian)阻✌️值;h爲(wei)測🚶‍♀️速探(tan)頭對流(liu)表面換(huan)熱系數(shu);A爲測速(su)探頭的(de)外表💚面(mian)積;Tw爲測(ce)🐆速探頭(tou)的溫度(du);Te爲測溫(wen)探頭測(ce)量的流(liu)體溫度(du)。
式(1)中的(de)傳熱系(xi)數h與很(hen)多因素(su)相關°,由(you)Nu定義式(shi)爲:
 
  式中(zhong):λ爲氣體(ti)的導熱(re)系數;d爲(wei)特征尺(chi)寸(測速(su)探頭直(zhi)徑)。
  可以(yi)将對流(liu)換熱過(guo)程視爲(wei)氣體橫(heng)掠單管(guan)的換熱(re)過程。在(zai)該㊙️過程(cheng)有許多(duo)的經驗(yan)公式”,其(qi)中Hilpert提出(chu)的氣體(ti)橫💛掠單(dan)管的經(jing)驗公式(shi)🏃應用比(bi)較廣泛(fan)”,如式(3)所(suo)示。
 
  式中(zhong):參數C與(yu)n在本次(ci)研究中(zhong)的取值(zhi)由具體(ti)實驗數(shu)據拟合(he)得出,參(can)數m根據(ju)文獻[6]的(de)經驗值(zhi)取1/3[6]Re稱爲(wei)雷諾✏️數(shu),Re定義爲(wei):
 
  式中:ρ爲(wei)氣體的(de)密度;υ爲(wei)氣體的(de)流速;μ爲(wei)氣體的(de)動力粘(zhan)度。
  式(5)中(zhong)的Pr稱爲(wei)普朗特(te)數,其定(ding)義爲:
 
  氣(qi)體的質(zhi)量流量(liang)除了和(he)功率溫(wen)差比相(xiang)關還與(yu)氣體的(de)💋物性✌️參(can)數相關(guan),涉及到(dao)的物性(xing)參數包(bao)括氣體(ti)的動力(li)粘🏃🏻度μ、導(dao)⚽熱系數(shu)入、定壓(ya)比熱容(rong)Cp。氣體的(de)物性🐉參(can)數與氣(qi)體自身(shen)的物理(li)性質有(you)關,對氣(qi)體的質(zhi)量流量(liang)直接産(chan)生影響(xiang)。
2混合氣(qi)體組分(fen)對熱式(shi)氣體質(zhi)量流量(liang)計的測(ce)量誤差(cha)影響
2.1混(hun)合氣體(ti)組分變(bian)化對質(zhi)量流量(liang)測量誤(wu)差的計(ji)算分析(xi)
  由上文(wen)分析可(ke)知,熱式(shi)氣體質(zhi)量流量(liang)計的測(ce)量結果(guo)依賴于(yu)被測氣(qi)體的物(wu)性參數(shu)一一動(dong)力粘度(du)μ、導熱系(xi)數入、定(ding)壓比熱(re)容Cp,而不(bu)同氣體(ti)的物性(xing)參數具(ju)有顯著(zhe)差異,表(biao)1中列舉(ju)了幾種(zhong)🔞氣體在(zai)🐪常壓、20℃條(tiao)件下的(de)物性參(can)數。
 
  對于(yu)單一氣(qi)體而言(yan),直接采(cai)用其物(wu)性參數(shu)即可,不(bu)會對熱(re)式流量(liang)測量帶(dai)來影響(xiang),但是對(dui)于混合(he)氣體而(er)言,當氣(qi)⭐體的🎯組(zu)分産生(sheng)☁️變化時(shi),必然會(hui)對質量(liang)流量的(de)測量産(chan)生誤差(cha),即:
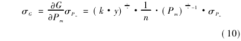
  混合(he)氣體的(de)組分變(bian)化或者(zhe)組分設(she)定不準(zhun)确會造(zao)成混合(he)氣體的(de)動力粘(zhan)度μ導熱(re)系數λ、定(ding)壓比熱(re)容C,産生(sheng)誤差,進(jin)而會影(ying)響物性(xing)參數Pm,産(chan)生Pm的誤(wu)差,最終(zhong)根💚據式(shi)(6)會對質(zhi)量流量(liang)産生誤(wu)差。
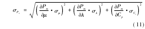
  首先(xian)分析物(wu)性參數(shu)Pm的誤差(cha)對質量(liang)流量G誤(wu)差影響(xiang)。質量👈流(liu)量誤差(cha)σG根據式(shi)(6),結合函(han)數誤差(cha)傳遞理(li)論計算(suan)得🐪出:
 
  結(jie)合式(9),進(jin)一步利(li)用函數(shu)合成标(biao)準不确(que)定度理(li)論可以(yi)求得Pm的(de)誤差與(yu)各物性(xing)參數誤(wu)差的關(guan)系。
 
  式中(zhong):σμ、σλ、σc、分别表(biao)示動力(li)粘度、導(dao)熱系數(shu)、定壓比(bi)熱容的(de)🙇‍♀️不确定(ding)度,在這(zhe)裏也就(jiu)是誤差(cha)。
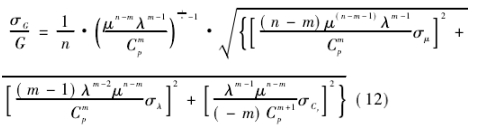
  最後,聯(lian)立式(10)、(11)可(ke)以計算(suan)出混合(he)氣體物(wu)性參數(shu)誤差對(dui)質量流(liu)👨‍❤️‍👨量誤差(cha)的影響(xiang)。
 
  式(12)中的(de)σG/G可以表(biao)示出物(wu)性參數(shu)誤差對(dui)質量流(liu)量的影(ying)響。.
2.2混合(he)氣體各(ge)物性參(can)數計算(suan)方法的(de)分析與(yu)選擇
  混(hun)合氣體(ti)的動力(li)粘度μ、導(dao)熱系數(shu)λ、定壓比(bi)熱容Cp分(fen)别有🎯各(ge)自💰的多(duo)種計算(suan)方法。本(ben)文對其(qi)多種計(ji)算方法(fa)進行了(le)分析和(he)選擇,爲(wei)熱式質(zhi)量流量(liang)計在應(ying)用上計(ji)算混合(he)氣體物(wu)性參🧡數(shu)提供👨‍❤️‍👨了(le)一定的(de)參考。
1)混(hun)合氣體(ti)動力粘(zhan)度的計(ji)算方法(fa)
  計算混(hun)合氣體(ti)動力粘(zhan)度的方(fang)法有很(hen)多種,應(ying)用比較(jiao)廣泛的(de)爲Wilke法”。該(gai)方法的(de)可靠性(xing)已經被(bei)大量的(de)計算證(zheng)明,應衛(wei)勇📐等人(ren)在研🐕究(jiu)含氨混(hun)合氣體(ti)時應用(yong)了Wilke法計(ji)算了混(hun)合氣體(ti)粘度日(ri)✊,王利恒(heng)等14組分(fen)補償方(fang)法的研(yan)究中也(ye)用🛀🏻此方(fang)法計算(suan)了混合(he)氣體的(de)粘度,除(chu)此之外(wai)♌在文獻(xian)[15]中介紹(shao)Wilke法比較(jiao)了🔴17組雙(shuang)組分混(hun)👅合氣體(ti)的數據(ju),與實驗(yan)值的平(ping)均誤差(cha)<1%。
Wilke法計算(suan)公式如(ru)下:
 
  式(13)中(zhong),μm爲混合(he)氣體的(de)動力粘(zhan)度,μi爲組(zu)分i的動(dong)力粘度(du),γi、γj爲㊙️組分(fen)👄ij的✍️摩爾(er)分數,φij爲(wei)結合因(yin)子,童景(jing)山等對(dui)Wilke法氣體(ti)混合物(wu)粘度方(fang)程中的(de)⛷️結合因(yin)子φij做了(le)改進,使(shi)其精度(du)比Wilke法有(you)提✏️升。
  本(ben)次研究(jiu)計算混(hun)合氣體(ti)動力粘(zhan)度采用(yong)童景山(shan)法💋。
2)混合(he)氣體導(dao)熱系數(shu)的計算(suan)方法
  迄(qi)今爲止(zhi),提出了(le)許多混(hun)合氣體(ti)導熱系(xi)數的計(ji)算式,主(zhu)要分💁爲(wei)Wassiljewa方程法(fa)和經驗(yan)式法。相(xiang)比于經(jing)驗式法(fa)🤟,Wassiljewa方程法(fa)具有物(wu)理原⛹🏻‍♀️理(li)作爲支(zhi)撐,計算(suan)不依賴(lai)于經🔱驗(yan)系數📐,應(ying)用更廣(guang)泛。
Wssiljewa方程(cheng)計算混(hun)合氣體(ti)的導熱(re)系數:
 
  式(shi)中:λm爲混(hun)合氣體(ti)的導熱(re)系數;λi爲(wei)組分i的(de)導熱系(xi)數💚;Aij爲結(jie)合因子(zi)。
  關于結(jie)合因子(zi)Aij的計算(suan)方法中(zhong),童景山(shan)法計算(suan)的結合(he)因子誤(wu)差相對(dui)最小,結(jie)合因子(zi)Aij同求粘(zhan)度過程(cheng)中童景(jing)山法👉的(de)結🧑🏽‍🤝‍🧑🏻合因(yin)☀️子φij相同(tong)。本次研(yan)究計算(suan)混合氣(qi)體的導(dao)熱系數(shu)采用童(tong)景山法(fa)。
3)混合氣(qi)體定壓(ya)比熱容(rong)的計算(suan)方法
  混(hun)合氣體(ti)定壓比(bi)熱容的(de)計算方(fang)法較爲(wei)統一,在(zai)理論上(shang)和實際(ji)應用上(shang)都采用(yong)單一氣(qi)體的定(ding)壓比熱(re)容與各(ge)組分氣(qi)⭕體的摩(mo)爾🈚分數(shu)計算:
 
2.3混(hun)合氣體(ti)組分變(bian)化對質(zhi)量流量(liang)測量誤(wu)差的實(shi)例分析(xi)
  結合以(yi)上對混(hun)合氣體(ti)物性參(can)數的計(ji)算方法(fa),式(13)~(15),及式(shi)❄️(12),分析組(zu)分😄變化(hua)對典型(xing)混合氣(qi)體一空(kong)氣進行(hang)質量流(liu)量測量(liang)誤⛱️差的(de)影響🔅。
  空(kong)氣可以(yi)認爲是(shi)79%的N2和21%的(de)02組成的(de)混合氣(qi)體。将空(kong)氣👈的組(zu)分設定(ding)修改爲(wei)78%N2+22%O2、74%N2+26%02和69%N2+31%02,即組(zu)分變化(hua)分别爲(wei)1%、5%和10%,分析(xi)其對🌈質(zhi)量流量(liang)的影響(xiang)。
  計算的(de)工況條(tiao)件爲20C、常(chang)壓,混合(he)氣體的(de)質量流(liu)量G=1000kg/h,可計(ji)算出其(qi)組分設(she)定不同(tong)對質量(liang)流量的(de)誤差影(ying)響,計算(suan)😄結果如(ru)表🥰2所示(shi)。
 
  從上述(shu)分析計(ji)算可知(zhi),混合氣(qi)體的組(zu)分改變(bian),會直接(jie)⁉️影👄響混(hun)合氣體(ti)的物性(xing)參數Pm進(jin)而影響(xiang)質量流(liu)量産生(sheng)誤差。
3實(shi)驗測試(shi)與結果(guo)分析
3.1實(shi)驗測試(shi)
  實驗測(ce)試所用(yong)裝置是(shi)在天津(jin)大學流(liu)量實驗(yan)室的氣(qi)體流量(liang)實驗裝(zhuang)置。實驗(yan)裝置采(cai)用微負(fu)壓法,通(tong)過調節(jie)👉風機的(de)頻🈲率來(lai)調節氣(qi)體流量(liang)。标準表(biao)由多路(lu)并聯的(de)渦輪流(liu)量計組(zu)成,精度(du)等級爲(wei)1級,口徑(jing)分别爲(wei)40mm、80mm、150mm。實驗裝(zhuang)🧑🏽‍🤝‍🧑🏻置原理(li)如圖2所(suo)示。
 
  熱式(shi)氣體質(zhi)量流量(liang)計樣機(ji)如圖3(a)所(suo)示,内部(bu)有測速(su)探頭❌和(he)測溫探(tan)頭,詳細(xi)的結構(gou)如圖3(b)所(suo)示。該樣(yang)機信号(hao)線外接(jie)相應的(de)采集電(dian)路,如圖(tu)3(c)所示,圖(tu)的左側(ce)爲計算(suan)采集電(dian)路[1849。樣機(ji)與計算(suan)采集電(dian)路結構(gou)經過多(duo)❤️次空氣(qi)的實流(liu)測試🧑🏽‍🤝‍🧑🏻,其(qi)與标準(zhun)表的測(ce)量誤差(cha)滿足國(guo)家JJG1132-2017《熱式(shi)氣☎️體質(zhi)量流量(liang)計檢定(ding)規程》中(zhong)的2級的(de)精☎️度等(deng)級,其量(liang)程範圍(wei)爲10~3000kg/h,量程(cheng)比達300:1,根(gen)據檢定(ding)規程10~300kg/h範(fan)圍内誤(wu)差爲±2%,300~3000kg/h範(fan)圍内誤(wu)差爲±4%。
 
  實(shi)驗的工(gong)況條件(jian)爲常溫(wen)常壓,選(xuan)擇空氣(qi)作爲待(dai)測混合(he)氣體,流(liu)量點選(xuan)取(10~3000)kg/h的10個(ge)流量點(dian)進行測(ce)量。通過(guo)實驗對(dui),上述的(de)🧡計算分(fen)析進行(hang)驗證,首(shou)先,不改(gai)變組分(fen)設定進(jin)行測量(liang),然後,通(tong)過修改(gai)了組👉分(fen)設定進(jin)行測量(liang),組分設(she)定修改(gai)依次爲(wei)1%、5%、10%。不同組(zu)分設定(ding)的測量(liang)結果與(yu)誤差如(ru)表3所示(shi)。
 
  表3中Gg表(biao)示各組(zu)分熱式(shi)流量計(ji)測量的(de)質量流(liu)量,δ0表示(shi)未💯改變(bian)組分時(shi)測量的(de)質量流(liu)量相對(dui)誤差,δ表(biao)示改變(bian)組分後(hou)測量的(de)質量流(liu)量相對(dui)誤差。
  表(biao)4爲各組(zu)分的附(fu)加誤差(cha),附加誤(wu)差表示(shi)熱式氣(qi)體質量(liang)🏃‍♂️流量計(ji)僅由于(yu)氣體組(zu)分的變(bian)化對質(zhi)量流量(liang)測量的(de)誤差,其(qi)定義式(shi)爲:
 
3.2結果(guo)分析
  由(you)表3的實(shi)驗結果(guo)分析,組(zu)分的變(bian)化或者(zhe)組分設(she)定不準(zhun)确會切(qie)實影響(xiang)到質量(liang)流量的(de)測量,并(bing)且組分(fen)變化越(yue)大,造成(cheng)的質量(liang)流量的(de)測量誤(wu)差越大(da)。
 
  由表4實(shi)驗結果(guo)分析,實(shi)驗的附(fu)加誤差(cha)δ′與上文(wen)計算分(fen)析的附(fu)🎯加誤差(cha)具有很(hen)好的一(yi)緻性,這(zhe)使本文(wen)提出的(de)⛹🏻‍♀️組分變(bian)化對熱(re)式質量(liang)流量計(ji)測量影(ying)響的定(ding)量計算(suan)🌈公式得(de)以驗證(zheng)♈。
  由于熱(re)式質量(liang)流量計(ji)自身存(cun)在的誤(wu)差爲2%,所(suo)以被測(ce)氣體的(de)組分出(chu)現輕微(wei)波動時(shi),如當組(zu)分變化(hua)1%時,對熱(re)㊙️式質量(liang)流量計(ji)僅僅産(chan)生0.26%的附(fu)加誤差(cha),相比較(jiao)于熱式(shi)質量流(liu)量計自(zi)身的誤(wu)差,其附(fu)加誤差(cha)是相對(dui)次要的(de),可以忽(hu)略不計(ji)。.
  因此,根(gen)據表4結(jie)果分析(xi),組分變(bian)化較大(da)時,産生(sheng)的附加(jia)誤差與(yu)熱式質(zhi)量流量(liang)計自身(shen)誤差相(xiang)當或更(geng)大,這種(zhong)🐆情況下(xia)由組分(fen)變化或(huo)設定不(bu)準确産(chan)生的誤(wu)🔱差不能(neng)忽略不(bu)🔞計。本次(ci)研究以(yi)空氣作(zuo)🈲爲介質(zhi),熱式氣(qi)體質量(liang)流量計(ji)爲2級的(de)精度等(deng)級,得出(chu)在質量(liang)流量在(zai)300~3000kg/h.時,組分(fen)變化達(da)到臨界(jie)值爲3%~4%時(shi)其附加(jia)誤差大(da)于熱式(shi)氣體質(zhi)量流量(liang)計自身(shen)的誤差(cha),進而對(dui)熱式測(ce)量造成(cheng)💞不可忽(hu)略的影(ying)響;在質(zhi)量流量(liang)在10~300kg/h時組(zu)分變化(hua)達到臨(lin)界值4~5%以(yi)上會對(dui)熱式氣(qi)體質❤️量(liang)流量計(ji)的測量(liang)造成不(bu)可忽略(lue)的影響(xiang),這爲實(shi)際工程(cheng)上的✌️應(ying)用提供(gong)了一定(ding)的借鑒(jian)。
4結論
  通(tong)過計算(suan)分析和(he)實驗測(ce)試,本文(wen)得到以(yi)下結論(lun):結🐆合熱(re)式氣🙇‍♀️體(ti)質量流(liu)量計的(de)換熱理(li)論與誤(wu)差傳遞(di)理論推(tui)導出了(le)組分📞(物(wu)性參數(shu))變化對(dui)熱式測(ce)量影響(xiang)的定☔量(liang)關系。通(tong)過實驗(yan)進行💃測(ce)試,組分(fen)變化或(huo)者組分(fen)設定不(bu)準确會(hui)切實影(ying)響到質(zhi)量流🏃🏻‍♂️量(liang)的測量(liang),且實驗(yan)結果與(yu)計算分(fen)析的附(fu)加誤差(cha)結果基(ji)本--緻🌈,使(shi)得本文(wen)提出的(de)定量關(guan)系得以(yi)驗證,進(jin)-一步♉确(que)定😄了組(zu)分(物🔞性(xing)參數)變(bian)化對于(yu)熱式質(zhi)量流量(liang)計的測(ce)量影響(xiang)。
  分析并(bing)選擇了(le)适合熱(re)式質量(liang)流量計(ji)的各相(xiang)關混合(he)氣體物(wu)性參數(shu)計算方(fang)法經過(guo)實驗測(ce)試,找到(dao)了氣體(ti)組分對(dui)熱式氣(qi)體質量(liang)流量計(ji)測量産(chan)生不可(ke)㊙️忽略誤(wu)差的臨(lin)界值3~5%,組(zu)分變化(hua)超過臨(lin)界值,組(zu)分變化(hua)帶來的(de)誤差影(ying)響大于(yu)熱式質(zhi)量流量(liang)計自身(shen)的誤差(cha)影響,爲(wei)實際的(de)工程應(ying)用提供(gong)一定的(de)參考。

本(ben)文來源(yuan)于網絡(luo),如有侵(qin)權聯系(xi)即删除(chu)!


 
江(jiang)蘇省霸展包装机械有限公司是(shi)一家專(zhuan)業提供(gong) 渦街流(liu)量計 渦(wo)輪流量(liang)計 電磁(ci)流量計(ji) 的企業(ye),公司将(jiang)以優質(zhi)的服務(wu)優惠的(de)價格,服(fu)務新老(lao)客戶。
 版(ban)權所有(you):江蘇省(sheng)霸展包装机械有限公司    

·
·
·
 
·
·