摘(zhai)要:
電磁流(liu)量計
、
超聲(sheng)流量計
已(yi)在廢水重(zhong)點排放口(kou)得到了廣(guang)泛應用,其(qi)準确與否(fou)直接影♈響(xiang)到環保自(zi)動監控數(shu)據的科學(xue)性和有效(xiao)性㊙️。因受其(qi)口✨徑及當(dang)地檢測機(ji)構的能力(li)限制,該類(lei)計量器具(ju)一般都依(yi)靠便攜式(shi)超聲流量(liang)計對其㊙️進(jin)行現場量(liang)值傳遞🏃♀️。通(tong)過總結🧑🏽🤝🧑🏻現(xian)場檢測中(zhong)遇到的各(ge)類問題,爲(wei)廢水監測(ce)流量計
現(xian)場檢測提(ti)供了依據(ju)和參考。
0引(yin)言
超聲流(liu)量計、電磁(ci)流量計已(yi)廣泛應用(yong)于固定污(wu)染❗源🌂廢水(shui)在線監測(ce)系統,主要(yao)測量污水(shui)處理廠、造(zao).紙廠及化(hua)工廠等企(qi)業的廢💋水(shui)排放量,由(you)于不易拆(chai)卸,目前大(da)多采用🐅便(bian)攜式超聲(sheng)流量計作(zuo)爲标準器(qi)對🚶♀️其進行(hang)量值傳遞(di)-2。便攜式超(chao)聲波流量(liang)計雖然可(ke)以🔴在不斷(duan)流、不破壞(huai)原有管線(xian)、不影響生(sheng)産的情況(kuang)下🍉測量流(liu)量,但是,如(ru)果在現場(chang)使用不當(dang),将直接影(ying)響測量的(de)精度,甚至(zhi)出現嚴🙇♀️重(zhong)偏差-。本文(wen)結合流量(liang)計工作原(yuan)理,針對現(xian)場🥵安裝使(shi)用中遇到(dao)的各種問(wen)題,給出了(le)解決方法(fa)。
1流量計的(de)工作原理(li)
1.1電磁流量(liang)計工作原(yuan)理
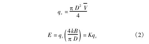
電磁流(liu)量計的基(ji)本原理是(shi)法拉第電(dian)磁感應定(ding)律,即🐇導體(ti)在磁場中(zhong)切割磁力(li)線運動時(shi)在其兩端(duan)産生感應(ying)電動勢。電(dian)磁流量計(ji)原理如圖(tu)1所示,導電(dian)性液體在(zai)垂直于磁(ci)場的🌈非磁(ci)性測量管(guan)内流動,與(yu)流動方向(xiang)垂直的方(fang)向.上産生(sheng)與🏃♂️流量成(cheng)比例的感(gan)應⛷️電勢,電(dian)動勢的方(fang)向按“弗來(lai)明右手規(gui)則”,其值見(jian)式💔(1)和式(2)
式(shi)中:E爲感應(ying)電動勢,即(ji)流量信号(hao),V;k爲系數;B爲(wei)磁感應強(qiang)度,T;D爲測⚽量(liang)管内徑,m;`V爲(wei)平均流速(su),m/s。
設液體的(de)體積流量(liang)爲:
式中:K爲(wei)儀表常數(shu)。
1.2超聲流量(liang)計(時差法(fa))工作原理(li)7-81.
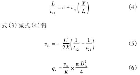
聲波在流(liu)體中傳播(bo),順流方向(xiang)聲波傳播(bo)速度會增(zeng)大,逆流🐉方(fang)向則減小(xiao),同一傳播(bo)距離就有(you)不同的傳(chuan)播時間。利(li)用傳💘播速(su)度之差與(yu)被測流體(ti)流速之關(guan)系求取流(liu)速,具體關(guan)系見式(3)~式(shi)(6)。
時差法原(yuan)理如圖2所(suo)示,超聲波(bo)逆流從換(huan)能器1送到(dao)✔️換能器2的(de)傳播速度(du)c被流體流(liu)速?m所減慢(man),爲
反之,超(chao)聲波順流(liu)從換能器(qi)2傳送到換(huan)器1的傳播(bo)速度則被(bei)流體流速(su)加快,爲
式(shi)中:L爲超聲(sheng)波在換能(neng)器之間傳(chuan)播路徑的(de)長度,m;X爲傳(chuan)播路徑的(de)軸向分量(liang),m;t12、t21分别爲從(cong)換能器1到(dao)換能器👅2和(he)從☎️換能器(qi)2到♍換能器(qi)1的傳播時(shi)間,s;c爲超聲(sheng)波在靜止(zhi)流體中的(de)傳播速度(du),m/s;?m爲流體通(tong)過換能器(qi)1、2之間聲⁉️道(dao)上平均流(liu)速,m/s;K爲流速(su)分布修正(zheng)系數,即聲(sheng)道上線平(ping)均流速Dm和(he)🐕面平均流(liu)速v之比,K=?m/?;DN爲(wei)管道内徑(jing),mm。
2現場檢測(ce)中需注意(yi)的問題及(ji)解決方法(fa)
1)如果條件(jian)允許,現場(chang)檢測前最(zui)好根據被(bei)檢表的口(kou)徑使用流(liu)量标準裝(zhuang)置對便攜(xie)式超聲流(liu)量計進行(hang)🈲标定,以保(bao)證其精度(du)符合🌈要求(qiu)回。
2)現場安(an)裝環境的(de)影響。進行(hang)檢測前,首(shou)先确認被(bei)測流量計(ji)🧡的種類,根(gen)據其工作(zuo)原理判斷(duan)其安裝是(shi)否符合要(yao)求。然後爲(wei)标準器找(zhao)到滿足要(yao)求的安裝(zhuang)位置,盡量(liang)遠離彎🈲頭(tou)、變徑❄️、閥門(men)。如果現場(chang)條件允許(xu),前後直管(guan)段應足夠(gou)長,以保障(zhang)被測流體(ti)的穩定性(xing).
3)被測流體(ti)流速。當管(guan)道的直徑(jing)雷諾數Re大(da)于2320爲層流(liu),小于2320時爲(wei)紊流。因此(ci),管道内的(de)流體狀态(tai)是影響測(ce)量精度的(de)關鍵因素(su)。現場檢測(ce)時被檢流(liu)量計必須(xu)運行在❄️下(xia)限以上時(shi)方可進行(hang),并且保證(zheng)被測流體(ti)充滿測量(liang)管道,從而(er)保證測量(liang)的精度。
4)管(guan)道參數的(de)設置。衆所(suo)周知,流量(liang)是流速與(yu)管道截🌈面(mian)🌈積的乘積(ji)。便攜式超(chao)聲波流量(liang)計測量的(de)是管道内(nei)流☔體的流(liu)速,而其管(guan)道截面積(ji)是操作者(zhe)由主機手(shou)動輸入的(de)管道參數(shu)計算出來(lai)的,這些參(can)數的準确(que)與否直🏃♂️接(jie)影響到測(ce)量結果。因(yin)此,檢測前(qian)要詳細了(le)解被檢管(guan)線的材質(zhi)、管道外徑(jing)尺寸、管道(dao)内壁厚📧度(du)、管道内襯(chen)裏的材質(zhi)及厚度、流(liu)體介質和(he)介👣質溫🐕度(du)等相關量(liang)的準确數(shu)值❌。需要現(xian)場🧑🏾🤝🧑🏼測量的(de)必須使用(yong)經過檢定(ding)或校準🥵的(de)标準器具(ju)進行,以🔞确(que)保所得.量(liang)值的正确(que)可靠。
5)換能(neng)器的安裝(zhuang)與定位的(de)影響。換能(neng)器的安裝(zhuang)是保♍證測(ce)量準确🌍的(de)重要前提(ti)。根據換能(neng)器安裝方(fang)式不同,分(fen)爲N型、W型、V型(xing)、Z型。無論采(cai)取哪種安(an)裝方式,都(dou)要沿着管(guan)道🔴平行地(di)移動兩㊙️個(ge)換能📧器,直(zhi)至在保證(zheng)安裝距離(li)符合要求(qiu)的情況下(xia)找到信号(hao)強度點。固(gu)定安🌈放點(dian)後再次确(que)認換能器(qi)的安裝距(ju)離是否符(fu)合要📞求。
6)其(qi)他需要注(zhu)意的事項(xiang)。爲了保證(zheng)超聲波流(liu)量計測量(liang)的👄精度,還(hai)需注意以(yi)下幾點:
a.去(qu)除管道外(wai)的保溫層(ceng)和防腐層(ceng)後進行表(biao)面打磨時(shi),要盡量避(bi)開凹陷和(he)凸起的部(bu)位;
b.換能器(qi)的安裝要(yao)盡量避開(kai)管道焊縫(feng);
c.管道内襯(chen)與管壁間(jian)不應存在(zai)間隙,污垢(gou)過厚的管(guan)道應先進(jin)行清洗;
d.超(chao)聲波流量(liang)計主機應(ying)遠離高頻(pin)、變頻等幹(gan)擾源,盡量(liang)使用原配(pei)🤟電纜;
e.選用(yong)導聲性能(neng)好、粘着力(li)強、耐熱性(xing)好的耦合(he)劑。
3結論
流(liu)量計的現(xian)場檢測實(shi)際,上是現(xian)場針對整(zheng)個流量測(ce)💃量系統👄(現(xian)場安裝條(tiao)件、流量計(ji)、被測介質(zhi)流動狀态(tai)等)的一📞個(ge)綜合檢測(ce)過程。目前(qian)并沒有國(guo)家檢定規(gui)程等其他(ta)技術規範(fan)作爲技術(shu)支撐,因此(ci),各類檢✉️測(ce)機構在現(xian)場檢測過(guo)程中要時(shi)刻保持操(cao)作的科學(xue)性、合理性(xing),提高檢測(ce)水平。在方(fang)便客戶的(de)同時亦要(yao)保證量值(zhi)傳⚽遞的可(ke)靠性。
以上(shang)内容源于(yu)網絡,如有(you)侵權聯系(xi)即删除!