亚洲av影院 V錐形流量計在浮式液化天然氣上運用-江蘇省霸展包装机械有限公司

 

;                
                 
 
  溫度儀表(biao)系列
  流量儀表(biao)系列
  校驗(yan)儀表系列(lie)
  顯示儀表(biao)系列
  電線電(dian)纜系列
 
  電(dian)磁流📐亚洲av影院♻️量計(ji)的工作原(yuan)理
  氧化锆(gao)氧傳感器(qi)的原理及(ji)應用
  有害(hai)氣體檢測(ce)報警儀選(xuan)用原則
  我(wo)國計量用(yong)儀器儀表(biao)的發展和(he)現狀
  國内(nei)儀器儀表(biao)行業将發(fa)生高科....
  西(xi)安交大研(yan)制出超高(gao)溫沖擊壓(ya)....
  智(zhi)能溫度傳(chuan)感器的發(fa)展趨勢
  利用(yong)傳感器技(ji)術制造智(zhi)能服裝
  新(xin)型傳感器(qi)監控魚群(qun)數量
 
聯系(xi)方式
  電話(hua)(市場部):  
      
      
   (拓(tuo)展部):
     傳真(zhen):
  郵(you)編:211600
 網址:/
 您現在的(de)位置 > 首頁(ye) > 行業新聞(wen) > V錐形流量(liang)計在浮式(shi)液化天然(ran)氣上運用(yong)
  時間:2023-2-23 08:30:52

摘要(yao):與孔闆、文(wen)丘裏管等(deng)傳統差壓(ya)式流量計(ji)相比,“邊⭕壁(bi)逐漸收縮(suo)式"V 錐流量(liang)計 在結構(gou)上具有優(you)勢。V錐流量(liang)計對安裝(zhuang)前後直管(guan)段🙇🏻的要求(qiu)低,且具有(you)壓力損失(shi)小、抗髒污(wu)、測量性能(neng)優等優點(dian)。因此,在空(kong)間緊湊💋的(de)FLNG裝置上,将(jiang)V錐流量計(ji)作爲流量(liang)☔計選型的(de)先考🌂量對(dui)象💔。
  V錐流量(liang)計具備錐(zhui)形管的特(te)殊結構,能(neng)夠對流經(jing)錐體的流(liu)體速度分(fen)布梯度進(jin)行調整,消(xiao)除漩渦二(er)次流,降低(di)V錐流量計(ji)前後直管(guan)段的要求(qiu)。V錐流量計(ji)安裝成本(ben)低、量程比(bi)寬.信号穩(wen)定、值範圍(wei)寬。
1V錐流量(liang)計的工作(zuo)原理和結(jie)構特點
1.1V錐(zhui)流量計的(de)工作原理(li)
  V錐流量計(ji)作爲1種差(cha)壓式流量(liang)計,其基本(ben)理論是可(ke)💚以在💁密閉(bi)管☀️道中進(jin)行能量相(xiang)互轉換的(de)伯努利原(yuan)理。結合流(liu)動連續性(xing)原理,可以(yi)推斷在穩(wen)定流場情(qing)況下,管道(dao)中的流速(su)與錐體前(qian)後差壓的(de)平方根呈(cheng)☁️正比例.函(han)數關系。測(ce)㊙️得錐體上(shang)💃下遊的壓(ya)力得出差(cha)壓即可實(shi)現流量測(ce)量。V錐流量(liang)計結構見(jian)圖1。
V錐流量(liang)計結構圖(tu) 
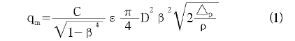
  體積流量(liang)與差壓的(de)關系由下(xia)式确定如(ru)式(1)所示。
 
  體(ti)積流量與(yu)差壓的關(guan)系如式2)所(suo)示。
 
式中:D一(yi)工況下測(ce)量管的内(nei)徑,m;
d一工況(kuang)下V錐體的(de)最大直徑(jing),m;
C一流出系(xi)數,無量綱(gang);
β一可膨脹(zhang)修正系數(shu),無量綱,對(dui)不可壓縮(suo)流體時β=1,當(dang)🔱流體是可(ke)壓縮流體(ti)時,β<1;
ρ一工作(zuo)狀态下,節(jie)流件上遊(you)處流體的(de)密度,kg/m³;
△p一差(cha)壓值,Pa;
P1一節(jie)流件上遊(you)導壓處壓(ya)力,Pa;
P2一節流(liu)件下遊導(dao)壓處壓力(li),Pa。
1.2V錐流量計(ji)與其他節(jie)流裝置的(de)比較
  V錐流(liu)量計将“流(liu)體收縮到(dao)管道中心(xin)”的概念改(gai)變爲“收縮(suo)💰到管道的(de)内邊壁”。當(dang)流體流經(jing)錐體與測(ce)量管道之(zhi)間的環形(xing)✨通道時,流(liu)體逐漸向(xiang)管内壁平(ping)滑收🧑🏾‍🤝‍🧑🏼縮,錐(zhui)體前後産(chan)生差壓,實(shi)現流量測(ce)量。錐體在(zai)管線中心(xin)位置的測(ce)壓點的流(liu)量速度剖(pou)面最佳,可(ke)以在不考(kao)慮上遊流(liu)動狀況的(de)情況下,獲(huo)得精度高(gao)、可靠好的(de)流量測量(liang)。
  孔闆采用(yong)“中心突然(ran)收縮式”的(de)節流方式(shi)。流體流經(jing)節流件時(shi),未對速度(du)割面進行(hang)整形,在管(guan)道中心線(xian)✨附近突然(ran)性的形成(cheng)局部🚶收縮(suo)。孔闆是帶(dai)有同心或(huo)偏心圓形(xing)開孔的一(yi)塊金屬薄(bao)闆。當流體(ti)流經圓形(xing)開孔時,管(guan)🔅道橫截面(mian)積的突然(ran)減小使流(liu)體局部收(shou)縮,在孔闆(pan)下遊形成(cheng)幅度較大(da)的漩渦⛹🏻‍♀️。因(yin)爲測壓點(dian)🧡需要位于(yu)流💰體流場(chang)較穩定的(de)區域以保(bao)證其測量(liang)精度和重(zhong)複性,在安(an)裝時對直(zhi)管段長度(du)要求(一般(ban)前10D、後5D)。另外(wai),漩渦會造(zao)🐪成差壓信(xin)号中的㊙️噪(zao)聲增大,量(liang)㊙️程比縮小(xiao),測量精度(du)降低,由能(neng)量守恒可(ke)知,漩渦會(hui)增大壓損(sun)。孔闆的結(jie)構特點還(hai)會使孔闆(pan)前極易積(ji)污,對内孔(kong)銳角線磨(mo)損從而🚶難(nan)以保證精(jing)度,使流出(chu)💘系數🙇🏻不穩(wen)定。
  文丘裏(li)管采用“中(zhong)心逐漸收(shou)縮式”的節(jie)流方式。即(ji)流體流經(jing)節流件時(shi),在收縮段(duan)逐漸收縮(suo)後,才會流(liu)經管道中(zhong)心線附:近(jin)的喉道✏️,通(tong)過擴散段(duan)逐漸擴大(da)的管道流(liu)出。文丘裏(li)管先逐漸(jian)收縮而後(hou)逐漸擴大(da)的特點,能(neng)夠對流體(ti)速度分布(bu)梯🥰度有效(xiao)整流,壓損(sun)較小,流出(chu)系數接近(jin)1。但是文㊙️丘(qiu)裏管在使(shi)用過程中(zhong)喉部的磨(mo)損嚴‼️重,無(wu)法長期保(bao)持測量精(jing)度。而且文(wen)丘裏管漸(jian)縮漸擴的(de)結構特點(dian),對上下遊(you)直管段具(ju)有要😍求,在(zai)測量濕氣(qi)體、冷凝物(wu)以及固液(ye)兩相介質(zhi)的流量時(shi)容易被堵(du)塞。
  孔闆、文(wen)丘裏管等(deng)老式差壓(ya)式流量計(ji)由于其結(jie)構上的缺(que)陷👈,無🔱法滿(man)足FLNG領域流(liu)量測量的(de)需求。而V錐(zhui)流量計是(shi)對傳統節(jie)流式流量(liang)計改進完(wan)善後的器(qi)件,其結構(gou)特點不✏️僅(jin)解決已有(you)差壓式流(liu)量計的缺(que)陷💋,而且還(hai)有其他測(ce)量🐇原理的(de)流量計不(bu)具🌏備的優(you)點。
2V錐流量(liang)計的性能(neng)特點
2.1V錐流(liu)量計的優(you)勢
  流體在(zai)接近V錐體(ti)流動時産(chan)生扁平的(de)流态分布(bu),V錐流量計(ji)🐆可以比其(qi)他差壓流(liu)量計更接(jie)近上遊擾(rao)動處工作(zuo)。V錐♊流量計(ji)的建議安(an)裝距離爲(wei)上遊直管(guan)段⛷️直徑的(de)0~3倍和下遊(you)直管☀️段直(zhi)徑的0~1倍。單(dan)個或雙個(ge)彎頭在同(tong)一平面或(huo)接🚶‍♀️近儀表(biao)上遊時,V錐(zhui)流量計仍(reng)然可以産(chan)生扁平流(liu)态。當不同(tong)流态接近(jin)錐體時,始(shi)終會産生(sheng)一個可❄️預(yu)測的流态(tai),保證儀表(biao)測量。
  V錐一(yi)次元件的(de)精度可以(yi)達到士0.5%。V錐(zhui)一-次元件(jian)的重複性(xing)🔴高達0.1%。可以(yi)測量較低(di)雷諾數範(fan)圍(Re≥8000)的流量(liang)。典型V錐流(liu)量計🧡的量(liang)程比爲10:1。選(xuan)擇合适的(de)參數時,可(ke)以達到更(geng)高的量程(cheng)👄。
  V錐一次元(yuan)件的精度(du)可以達到(dao)±0.5%。V錐一次元(yuan)件的重複(fu)性🔞高達0.1%。可(ke)以測量較(jiao)低雷諾數(shu)範圍(Re≥8000)的流(liu)量。典型V錐(zhui)流量計的(de)量程比爲(wei)10:1。選擇合适(shi)的參數時(shi),可以達到(dao)💘更高的量(liang)程。
  錐體的(de)輪廓形狀(zhuang)将流體方(fang)向限制爲(wei)朝向管道(dao)的🐪内邊壁(bi),不💯清潔的(de)流體不會(hui)對錐體邊(bian)界層産生(sheng)沖⛱️擊,并且(qie)不易磨✊損(sun)邊緣。其♈β值(zhi)長期不變(bian),流量計不(bu)需要重複(fu)标定,具有(you)長期的精(jing)度穩定性(xing)🌈。
  流體在流(liu)經節流件(jian)時,會産生(sheng)“一卡曼旋(xuan)渦”現象,在(zai)流量穩定(ding)條件下,對(dui)差壓檢測(ce)産生幹擾(rao)而形成“信(xin)号波🚶動”。孔(kong)闆流量計(ji)會在孔闆(pan)下遊處形(xing)成渦流,呈(cheng)高幅低🥵頻(pin)的孔🤞闆信(xin)号🙇‍♀️,影響流(liu)量計的☂️讀(du)數。而V錐流(liu)量計的結(jie)構是邊壁(bi)逐漸收縮(suo)💘節流,與錐(zhui)體後部産(chan)生的幹擾(rao)流❌大小相(xiang)同方向相(xiang)反而相‼️互(hu)抵消,對信(xin)号擾動很(hen)小,在💁低壓(ya)流場也能(neng)夠呈現高(gao)頻低幅的(de)🏒壓力脈動(dong),且噪聲小(xiao)、信号穩定(ding)。
  V錐流量計(ji)可以在低(di)差壓力下(xia)正常運行(hang),永久壓力(li)損失低。V錐(zhui)流量計的(de)結構特點(dian)允許有很(hen)寬的比範(fan)圍。标🆚準的(de)比範圍爲(wei)🏃‍♂️0.45.0.55.0.65.0.75和0.85。V錐☀️流量(liang)計“掠過型(xing)”的設計理(li)念,會對流(liu)體中的殘(can)渣、凝結物(wu)或顆粒形(xing)成吹掃沖(chong)刷作用,因(yin)此可以保(bao)持錐體長(zhang)🌏期清潔。
  上(shang)述短渦流(liu)使V錐下遊(you)的流體完(wan)全混合,在(zai)很多需要(yao)🌈即時和👅完(wan)全混合的(de)應用中,V錐(zhui)常被用作(zuo)靜态混🔞合(he)器。
2.2V錐流量(liang)計的局限(xian)性
  V錐流量(liang)計檢測元(yuan)件是錐體(ti),流量計的(de)流出系數(shu)受👈錐角大(da)小、下遊取(qu)壓口位置(zhi)、錐體最大(da)截面處軸(zhou)向長度等(deng)參數的直(zhi)接影響,但(dan)是目前各(ge)個廠家尚(shang)未形成統(tong)⚽一規範,V錐(zhui)流量計仍(reng)需遵循逐(zhu)台實流标(biao)定的原則(ze)。但是标準(zhun)節流裝置(zhi)(标準孔闆(pan)、标準噴嘴(zui)和😄标準文(wen)丘裏管)能(neng)夠達到✉️國(guo)際标準ISO-5167,按(an)照國際标(biao)準♋進行設(she)計、制造、安(an)裝和使用(yong)。
  錐體的結(jie)構特點使(shi)得其無法(fa)滿足雙向(xiang)流的流量(liang)測量🙇🏻要❄️求(qiu)。與标準節(jie)流裝置相(xiang)比,V錐流量(liang)計用料更(geng)多,加♋工工(gong)藝要求嚴(yan)格,逐👉台标(biao)定費用高(gao),使其售價(jia)較高。但🔞綜(zong)合考慮并(bing)權衡節流(liu)裝置購買(mai)價及安裝(zhuang)費用、維護(hu)💋費用、因壓(ya)損造成的(de)💞能量損失(shi)等因素,V錐(zhui)流量計的(de)總體費用(yong)是更⭐合理(li)的。
3.V錐流量(liang)計在FLNG裝置(zhi)上的應用(yong)優勢
  陸上(shang)工廠擁有(you)大量空間(jian),對儀表占(zhan)地要求不(bu)高,但是在(zai)📐空間♌擁擠(ji)的海上,需(xu)要盡可能(neng)地減少空(kong)間的使用(yong)。FLNG裝置設計(ji)緊湊,實際(ji)工作環境(jing)還涉及颠(dian)簸、腐蝕等(deng)諸多問題(ti),因此甲闆(pan)上的生産(chan)裝置詳細(xi)設計與陸(lu)地同😄規模(mo)工廠的設(she)計完全不(bu)同。V錐流量(liang)計隻需極(ji)短的直管(guan)段就能取(qu)🔱得測量值(zhi),其直管段(duan)要求如下(xia):
(1)氣體測量(liang),雷諾數範(fan)圍(Re)>200000,V錐流量(liang)計測量氣(qi)體的上遊(you)和下遊的(de)最小直管(guan)長度見表(biao)1。若≥0.65,表中的(de)直管段長(zhang)度需要增(zeng)加1D。
 
(2)液體測(ce)量,雷諾數(shu)範圍(Re)>200000,V錐流(liu)量計測量(liang)液體的上(shang)遊和下遊(you)的最小直(zhi)管長度見(jian)🚩表2。若≥0.65,表中(zhong)的直管段(duan)長度需要(yao)增加1D.。
 
  V錐流(liu)量計的使(shi)用流體非(fei)常廣泛,低(di)、高流速的(de)流體均可(ke)以測🌈量🌈;V錐(zhui)流量計規(gui)格齊全,适(shi)用口徑DN15(1/2")~DN3000(120"),公(gong)稱壓力0~25001b,工(gong)作溫度-200~800℃;且(qie)安裝方式(shi)靈活,可以(yi)選擇管道(dao)法蘭式、直(zhi)接焊接式(shi)、方管式安(an)裝。V錐流量(liang)計在惠生(sheng)海工爲Exmar以(yi)EPCIC模式總承(cheng)包建設的(de)FLNG(設計液化(hua)能力約50萬(wan)t/a的LNG)中得到(dao)了成功應(ying)用,在惠生(sheng)🌏海工的FLNG标(biao)準化項目(mu)(設計液化(hua)能力300萬t/a的(de)LNG)也有選型(xing)應用。
  需要(yao)将液體和(he)氣體流量(liang)計放在近(jin)海平台、浮(fu)式生産儲(chu)油和卸油(you)的船、海底(di)裝置這些(xie)場所時,具(ju)有自調節(jie)功能的V錐(zhui)近海⭕流量(liang)計所需要(yao)的運行直(zhi)管段比其(qi)他流量計(ji)少70%,可以産(chan)生不動産(chan)和安裝成(cheng)本乃面的(de)巨大節省(sheng),節省的成(cheng)本能夠超(chao)過儀表本(ben)身的成本(ben)。
4結語
  V錐流(liu)量計具有(you)精度高、自(zi)清潔功能(neng)、實用性強(qiang)、運行穩💞定(ding)♊可靠🔞、長期(qi)穩定性好(hao),方便了生(sheng)産,滿足生(sheng)産計㊙️量的(de)需要。且.V錐(zhui)流量計的(de)結構決定(ding)其不需要(yao)長的運行(hang)直😍管段或(huo)者流量調(diao)節儀表,安(an)裝條件的(de)局限少,在(zai)空間緊缺(que)的FLNG裝置上(shang)是流量測(ce)量儀表選(xuan)型的🤩重要(yao)參考因素(su)。

本文來源(yuan)于網絡,如(ru)有侵權聯(lian)系即删除(chu)!


下篇文章(zhang): 電磁流量(liang)計接地問(wen)題的研究(jiu)與設置 上(shang)篇文章: 固(gu)井泥漿渦(wo)輪流量計(ji)的設計與(yu)優化
 
江蘇(su)省霸展包装机械有限公司是一家(jia)專業提供(gong) 渦街流量(liang)計 渦輪流(liu)量計 電磁(ci)流量計 的(de)企業,公司(si)将以優質(zhi)的服務優(you)惠的價格(ge),服務新老(lao)客戶。
 版權(quan)所有:江蘇(su)省霸展包装机械有限公司       技術支(zhi)持易品網(wang)絡

 
 
·
·