亚州av 上遊旋渦流對孔闆流量計性能影響-江蘇省霸展包装机械有限公司

 

;                  
               
        首   頁(ye)│  公司(si)簡介(jie)  質量(liang)體系(xi)  銷售(shou)網絡(luo)  聯系(xi)我們(men)
 
  電(dian)磁流(liu)量計(ji)的工(gong)作原(yuan)理
  氧(yang)化锆(gao)氧傳(chuan)感器(qi)的原(yuan)理及(ji)應用(yong)
  有害(hai)氣體(ti)檢測(ce)報警(jing)儀選(xuan)用原(yuan)則
  我(wo)國計(ji)量用(yong)儀器(qi)儀表(biao)的發(fa)展和(he)現狀(zhuang)
國内(nei)儀器(qi)儀表(biao)行業(ye)将發(fa)生高(gao)科....
  西(xi)安交(jiao)大研(yan)制出(chu)超高(gao)溫沖(chong)擊壓(ya)....
  采用(yong)半導(dao)體精(jing)密溫(wen)度傳(chuan)感......
  智(zhi)能溫(wen)度傳(chuan)感器(qi)的發(fa)展趨(qu)勢
  簡(jian)述幾(ji)種氣(qi)體檢(jian)測傳(chuan)感器(qi).....
利用(yong)傳感(gan)器技(ji)術制(zhi)造智(zhi)能服(fu)裝
  新(xin)型傳(chuan)感器(qi)監控(kong)魚群(qun)數量(liang)
 
 
聯系(xi)方式(shi)
  電話(hua)(市場(chang)部):  
      
      
   (拓(tuo)展部(bu)):
     傳真(zhen):
  節假(jia)日商(shang)務聯(lian)系電(dian)話:
  何(he)經理(li):
  劉經(jing)理:
  郵(you)編:211600
 網(wang)址:/
    http://banyunshe.cc/
 E-mail:[email protected]
     [email protected]
 您現(xian)在的(de)位置(zhi) > 首頁(ye) > 行業(ye)新聞(wen) > 上遊(you)旋渦(wo)流對(dui)孔闆(pan)流量(liang)計性(xing)能影(ying)響
  時(shi)間:2023-2-15 08:24:45

摘要(yao):本文(wen)介紹(shao)旋渦(wo)流對(dui)孔闆(pan)流量(liang)計 性(xing)能影(ying)響的(de)結果(guo)。主要(yao)對β值(zhi)和旋(xuan)渦強(qiang)度進(jin)行了(le)分析(xi)。該項(xiang)工作(zuo)生要(yao)基于(yu)流動(dong)圖形(xing)測試(shi)法、IDA激(ji)光多(duo)普勒(le)測速(su)和管(guan)壁壓(ya)力測(ce)量法(fa),借助(zhu)一個(ge)流體(ti)動力(li)學裝(zhuang)置完(wan)成的(de)。另外(wai),還對(dui)管内(nei)流動(dong)與△p差(cha)壓測(ce)量之(zhi)間的(de)關系(xi)進行(hang)了FENXI 。
概(gai)述
  該(gai)工作(zuo)的主(zhu)要目(mu)的,一(yi)方面(mian)是更(geng)好地(di)了解(jie)孔闆(pan)兩側(ce)的穩(wen)定流(liu)和不(bu)穩定(ding)流現(xian)象,另(ling)一方(fang)面是(shi)确定(ding)上遊(you)流動(dong)幹擾(rao)對内(nei)部流(liu)動特(te)性和(he)對流(liu)量測(ce)量的(de)實際(ji)影響(xiang)。爲了(le)達到(dao)上述(shu)目的(de),采用(yong)了多(duo)種試(shi)驗和(he)數值(zhi)計算(suan)方法(fa)。
  在試(shi)驗中(zhong),采用(yong)了流(liu)動圖(tu)像法(fa),激光(guang)多普(pu)勒測(ce)速儀(yi)(L.D.V)測量(liang)二維(wei)速度(du)和管(guan)壁差(cha)壓測(ce)量法(fa)。
  試驗(yan)時,選(xuan)取了(le)2個β值(zhi)(0.4和0.7)。雷(lei)諾數(shu)(Uv·D/v)在104~2×105之(zhi)間。
二(er)、試驗(yan)設備(bei)
1.試驗(yan)裝置(zhi)
  圖1爲(wei)試驗(yan)裝置(zhi),主要(yao)由水(shui)平試(shi)驗管(guan)路及(ji)一台(tai)離心(xin)泵組(zu)成。該(gai)離心(xin)泵通(tong)常在(zai)過壓(ya)狀态(tai)下運(yun)行。試(shi)驗時(shi),由離(li)心泵(beng)将水(shui)箱A(容(rong)積爲(wei)1m³)中的(de)水抽(chou)出,其(qi)最大(da)排量(liang)爲140m³/h,輸(shu)出相(xiang)對壓(ya)力爲(wei)20m水柱(zhu)。由泵(beng)輸送(song)的水(shui),一部(bu)分通(tong)過主(zhu)試驗(yan)管路(lu)的試(shi)驗段(duan),另-部(bu)分經(jing)旁通(tong)管路(lu)返回(hui)到原(yuan)來的(de)水箱(xiang)中。主(zhu)試驗(yan)管路(lu)是一(yi)段口(kou)徑爲(wei)125mm的直(zhi)管段(duan),一台(tai)标準(zhun)電磁(ci)流量(liang)計安(an)裝在(zai)該直(zhi)管段(duan)上,其(qi)準确(que)度爲(wei)1%。該直(zhi)管段(duan)的末(mo)端與(yu)密閉(bi)水箱(xiang)B相連(lian),這樣(yang)可以(yi)消除(chu)由離(li)心泵(beng)引起(qi)的任(ren)何脈(mo)動流(liu)影響(xiang)。在水(shui)箱B的(de)出口(kou)裝有(you)口徑(jing)爲100mm的(de)直管(guan)段,其(qi)中測(ce)試段(duan)就安(an)裝在(zai)此直(zhi)菅段(duan)上。試(shi)驗中(zhong),水返(fan)回到(dao)水箱(xiang)A或者(zhe)被排(pai)出。另(ling)外,試(shi)驗時(shi)還可(ke)向水(shui)中注(zhu)人染(ran)料。利(li)用2個(ge)并聯(lian)安裝(zhuang)在試(shi)驗段(duan)下遊(you)的控(kong)制閥(fa)來調(diao)節通(tong)過試(shi)驗段(duan)的水(shui)流量(liang)。爲了(le)避免(mian)試驗(yan)過程(cheng)中水(shui)介質(zhi)的溫(wen)度上(shang)升,設(she)置了(le)一台(tai)循環(huan)水式(shi)換熱(re)器。在(zai)環路(lu)中冷(leng)卻水(shui)的流(liu)量采(cai)用伺(si)服控(kong)制,其(qi)溫度(du)偏差(cha)在±0.5C範(fan)圍内(nei)。試驗(yan)段上(shang)遊口(kou)徑100mm直(zhi)管段(duan)的長(zhang)度爲(wei)4m,在其(qi)人口(kou)安裝(zhuang)了一(yi)台管(guan)束式(shi)整流(liu)器。試(shi)驗段(duan)由孔(kong)闆兩(liang)側分(fen)開,分(fen)爲上(shang)遊和(he)下遊(you)試驗(yan)段。試(shi)驗管(guan)段采(cai)用有(you)機玻(bo)璃透(tou)明管(guan)段,以(yi)便觀(guan)測流(liu)型和(he)激光(guang)多普(pu)勒測(ce)速。由(you)于在(zai)空氣(qi)和有(you)機玻(bo)璃管(guan)段之(zhi)間存(cun)在讀(du)數偏(pian)差,爲(wei)了避(bi)免有(you)機玻(bo)璃管(guan)段産(chan)生的(de)折射(she),而将(jiang)有機(ji)玻璃(li)管段(duan)的外(wai)壁做(zuo)成平(ping)面。爲(wei)了更(geng)好地(di)觀察(cha)孔闆(pan)兩邊(bian)的流(liu)動狀(zhuang)态,孔(kong)闆兩(liang)側的(de)法蘭(lan)是經(jing)過特(te)殊的(de),盡量(liang)保證(zheng)爲0.15D。孔(kong)闆上(shang)、下遊(you)的直(zhi)管段(duan)長度(du)爲0.5m。這(zhe)樣就(jiu)可完(wan)成孔(kong)闆兩(liang)側回(hui)流區(qu)的試(shi)驗:甚(shen)至β值(zhi)爲0.4也(ye)可以(yi)。
 
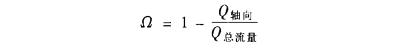
2.旋渦(wo)流發(fa)生器(qi)
  旋渦(wo)流是(shi)由一(yi)種切(qie)向流(liu)發生(sheng)器産(chan)生的(de),如圖(tu)2所示(shi)。部分(fen)流體(ti)從其(qi)人口(kou)沿着(zhe)與軸(zhou)線成(cheng)切線(xian)方向(xiang)進人(ren),從而(er)産生(sheng)旋轉(zhuan)流。旋(xuan)渦強(qiang)度的(de)确定(ding)借助(zhu)于軸(zhou)向流(liu)量Q軸(zhou)向和(he)總流(liu)量Q總(zong)流量(liang)之間(jian)的關(guan)系來(lai)定。即(ji)用無(wu)量綱(gang)旋流(liu)系數(shu)Q表達(da),其變(bian)化範(fan)圍爲(wei)0(無旋(xuan)流)至(zhi)1(最大(da)旋流(liu)),數字(zi)表達(da)式爲(wei):
 
  據有(you)關文(wen)獻介(jie)紹,旋(xuan)渦強(qiang)度也(ye)可用(yong)旋渦(wo)數量(liang)s來表(biao)示,即(ji)通過(guo)平均(jun)軸向(xiang)分布(bu)U(r)和平(ping)均切(qie)向分(fen)布W(r)計(ji)算出(chu)來,表(biao)達式(shi)爲:
 
  該(gai)旋流(liu)系數(shu)n可以(yi)通過(guo)試驗(yan)與經(jing)典的(de)旋流(liu)數S用(yong)線性(xing)關系(xi)聯系(xi)起來(lai)。
 
三、試(shi)驗結(jie)果
  在(zai)試驗(yan)過程(cheng)中,β值(zhi)爲0.7和(he)0.4,雷諾(nuo)數爲(wei)100000。
1.流動(dong)狀态(tai)觀測(ce)
  在與(yu)管道(dao)同直(zhi)徑的(de)孔闆(pan)的邊(bian)緣處(chu)設置(zhi)2個毛(mao)細管(guan),并且(qie)與管(guan)道的(de)軸線(xian)對稱(cheng)。試驗(yan)時,向(xiang)兩根(gen)毛細(xi)管中(zhong)注人(ren)示蹤(zong)劑(氣(qi)體或(huo)液體(ti)),觀測(ce)孔闆(pan)下遊(you)的流(liu)動狀(zhuang)态。爲(wei)了清(qing)晰地(di)觀察(cha)流動(dong)狀态(tai),在透(tou)明管(guan)段上(shang)遊放(fang)置一(yi)照明(ming)設備(bei),其光(guang)束可(ke)以與(yu)軸線(xian)平行(hang)或垂(chui)直。
  觀(guan)察結(jie)果表(biao)明,旋(xuan)渦流(liu)使得(de)射流(liu)擴大(da)而回(hui)流區(qu)減小(xiao)。而且(qie),當旋(xuan)流系(xi)數n較(jiao)大和(he)β值較(jiao)小時(shi),孔闆(pan)下遊(you)處有(you)明顯(xian)的射(she)流沖(chong)擊,使(shi)得作(zuo)用在(zai)管壁(bi)上的(de)壓力(li)産生(sheng)很大(da)的波(bo)動。.
2.速(su)度測(ce)量
  試(shi)驗中(zhong),使用(yong)了一(yi)台二(er)維激(ji)光多(duo)普勒(le)測速(su)儀。在(zai)旋流(liu)強度(du)Ω爲0.2和(he)0.5時,進(jin)行了(le)測試(shi)。
3.上遊(you)流動(dong)狀态(tai)
  圖3示(shi)出了(le)在孔(kong)闆上(shang)遊1D處(chu)測得(de)的平(ping)均軸(zhou)向速(su)度U和(he)切向(xiang)速度(du)W的分(fen)布情(qing)況。
  從(cong)中可(ke)以看(kan)出,随(sui)着旋(xuan)渦強(qiang)度的(de)增加(jia),軸向(xiang)速度(du)U分布(bu)趨于(yu)變平(ping)。
 
  從切(qie)向速(su)度分(fen)布圖(tu)中可(ke)以看(kan)出,旋(xuan)轉以(yi)管道(dao)軸線(xian) 爲中(zhong)心并(bing)分爲(wei)兩個(ge)區域(yu)。在管(guan)道的(de)中心(xin)(0≤r/D<0.25)爲“強(qiang)旋渦(wo)型”區(qu),在該(gai)區内(nei)切向(xiang)速度(du)W與 半(ban)徑r成(cheng)正比(bi)。接近(jin)于管(guan)壁時(shi),出現(xian)了一(yi)個由(you)于摩(mo)擦 使(shi)得旋(xuan)轉速(su)度降(jiang)低的(de)區域(yu)。
  利用(yong)上述(shu)的速(su)度分(fen)布圖(tu),可以(yi)計算(suan)出旋(xuan)渦數(shu)s和旋(xuan)渦角(jiao)θs。因此(ci),當Ω=0.2時(shi),S=0.1、θs=9°;當Ω=0.5時(shi),S=0.5、θs=36°。
4,下遊(you)流動(dong)狀态(tai)
(1)沿管(guan)道軸(zhou)線的(de)軸向(xiang)速度(du)展開(kai)圖
  當(dang)β值爲(wei)0.4時,得(de)到的(de)曲線(xian)如圖(tu)4所示(shi)。從圖(tu)中可(ke)以清(qing)楚地(di)看出(chu),旋轉(zhuan)流不(bu)僅可(ke)以導(dao)緻孔(kong)闆附(fu)近處(chu).速度(du)增加(jia),而且(qie)還可(ke)導緻(zhi)由于(yu)下遊(you)稍遠(yuan)處因(yin)旋轉(zhuan)運動(dong)射流(liu)的擴(kuo)展使(shi)得速(su)度迅(xun)速地(di)減小(xiao)。當下(xia)遊旋(xuan)轉運(yun)動較(jiao)強(上(shang)遊旋(xuan)流較(jiao)大和(he)低β值(zhi))時,該(gai)旋轉(zhuan)的影(ying)響就(jiu)更大(da)。
 
(2)在孔(kong)闆下(xia)遊0.5D時(shi)測得(de)的速(su)度分(fen)布圖(tu)
  圖5示(shi)出了(le)當β值(zhi)爲0.7時(shi),孔闆(pan)下遊(you)的平(ping)均軸(zhou)向速(su)度U和(he)切向(xiang)速度(du)W的速(su)度分(fen)布圖(tu)。
 
  從圖(tu)中看(kan)出,當(dang)Ω值較(jiao)小時(shi),射流(liu)形狀(zhuang)完全(quan)與無(wu)旋流(liu)時的(de)結果(guo)相同(tong)。換句(ju)話說(shuo),随着(zhe)旋流(liu)強度(du)的增(zeng)加,射(she)流區(qu)域消(xiao)失了(le)。
 
  圖6示(shi)出了(le)在剪(jian)切區(qu)内軸(zhou)向速(su)度的(de)波動(dong)量明(ming)顯增(zeng)加。從(cong)流動(dong)圖像(xiang)看出(chu),這個(ge)不穩(wen)定流(liu)現象(xiang)與射(she)流的(de)沖擊(ji)相一(yi)緻。對(dui)于一(yi)個給(gei)定的(de)幅射(she)狀态(tai),這種(zhong)現象(xiang)使得(de)局部(bu)速度(du)交替(ti)地與(yu)在環(huan)流區(qu)觀察(cha)到的(de)或射(she)流中(zhong)心區(qu)觀察(cha)到的(de)一緻(zhi)。
  當β值(zhi)爲0.4時(shi),雖然(ran)這種(zhong)現象(xiang)被強(qiang)化了(le),但結(jie)果完(wan)全類(lei)似。
  角(jiao)動量(liang)軸向(xiang)流量(liang)計算(suan)式:
 
  上(shang)式表(biao)明在(zai)上遊(you)和下(xia)遊測(ce)量點(dian)之間(jian),φlang是減(jian)小的(de)。Murakami和Kito所(suo)得的(de)結果(guo)與其(qi)相同(tong)。
(3)靠近(jin)管壁(bi)附近(jin)的軸(zhou)向速(su)度分(fen)布:回(hui)流區(qu)平均(jun)長度(du)的确(que)定.
  圖(tu)7示出(chu)了平(ping)均縱(zong)向速(su)度分(fen)布的(de)所有(you)結果(guo)。對這(zhe)些縱(zong)向速(su)度分(fen)布,平(ping)均再(zai)附壁(bi)點與(yu)速度(du)正負(fu)符号(hao)的變(bian)化相(xiang)一緻(zhi)。
 
  從圖(tu)7中可(ke)清楚(chu)地看(kan)出,旋(xuan)渦流(liu)可導(dao)緻回(hui)流區(qu)尺寸(cun)減小(xiao)。因此(ci),當旋(xuan)流強(qiang)度較(jiao)低(Ω=0.2)時(shi),平均(jun)再附(fu)壁點(dian)大約(yue)在8.7h位(wei)置,而(er)在無(wu)擾動(dong)及在(zai)相同(tong)雷諾(nuo)數時(shi),則大(da)約在(zai)10h位置(zhi)。當Ω=0.5時(shi),回流(liu)區長(zhang)度減(jian)小到(dao)4.9h(β=0.7時)和(he)2.9h(β=0.4時)。
這(zhe)種現(xian)象在(zai)攝錄(lu)的流(liu)動圖(tu)像錄(lu)像中(zhong)可以(yi)十分(fen)清楚(chu)地看(kan)到。這(zhe)種現(xian)象與(yu)射流(liu)的迅(xun)速膨(peng)脹有(you)關,而(er)與離(li)心力(li)的作(zuo)用無(wu)關。
(4)差(cha)壓測(ce)量
  在(zai)D和D/2配(pei)置中(zhong)旋渦(wo)流對(dui)差壓(ya)測量(liang)的影(ying)響。試(shi)驗過(guo)程中(zhong),在雷(lei)諾數(shu)爲10000及(ji)相同(tong)總流(liu)量的(de)條件(jian)下,改(gai)變旋(xuan)流強(qiang)度相(xiang)對應(ying)的旋(xuan)流系(xi)數Ω.Ω從(cong)0~1範圍(wei)内變(bian)化。
  圖(tu)8示出(chu)了流(liu)出系(xi)數的(de)變化(hua),其定(ding)義式(shi)爲:
 
  式(shi)中p和(he)np分别(bie)表示(shi)有擾(rao)動和(he)無擾(rao)動條(tiao)件)流(liu)出系(xi)數是(shi)旋流(liu)系數(shu)的函(han)數。
 
  從(cong)圖8可(ke)看出(chu),當旋(xuan)流系(xi)數Ω低(di)于0.2時(shi),所産(chan)生的(de)誤差(cha)可以(yi)忽略(lue)不計(ji)。這與(yu)Ω值爲(wei)0.2時流(liu)動.研(yan)究結(jie)果相(xiang)吻合(he)。該結(jie)果表(biao)明,在(zai)射流(liu)起始(shi)階段(duan),平均(jun)流量(liang)幾乎(hu)不變(bian)。這表(biao)明,即(ji)使不(bu)忽略(lue)旋轉(zhuan)運動(dong)對靜(jing)壓橫(heng)向梯(ti)度的(de)影響(xiang),至少(shao)上遊(you)和下(xia)遊也(ye)應等(deng)效。.
  當(dang)Ω值大(da)于0.2時(shi),可以(yi)看出(chu)随着(zhe)被測(ce)試孔(kong)闆.的(de)不同(tong),其性(xing)能也(ye)不同(tong)。對于(yu)最大(da)的孔(kong)闆(β=0.7),當(dang)Ω值達(da)到0.7時(shi),流出(chu)系數(shu)的最(zui)大偏(pian)差可(ke)達27%。超(chao)出這(zhe)個值(zhi)後,系(xi)數CD急(ji)劇下(xia)降。當(dang)Ω值大(da)于0.82時(shi),流出(chu)系數(shu)的偏(pian)差變(bian)爲負(fu)值。當(dang)Ω=1時,CD的(de)偏差(cha)爲-14%。
  對(dui)于Ω值(zhi)爲0.4的(de)孔闆(pan),流出(chu)系數(shu)的偏(pian)差總(zong)是正(zheng)值,并(bing)且随(sui)着旋(xuan)流強(qiang)度增(zeng)加而(er)增大(da)。當Ω=1時(shi),其最(zui)大誤(wu)差可(ke)達25%。
  通(tong)過定(ding)性研(yan)究分(fen)析,一(yi)些學(xue)者(Lugt、Murakami、Kito和(he)McHugh等)得(de)到了(le)性質(zhi)相同(tong)的結(jie)果。例(li)如,當(dang)β值較(jiao)高時(shi),流出(chu)系數(shu)趨向(xiang)變化(hua),反過(guo)來也(ye)是一(yi)樣。通(tong)常,這(zhe)種特(te)性變(bian)化取(qu)決于(yu)β值,這(zhe)可以(yi)用對(dui)于差(cha)壓測(ce)量中(zhong)有兩(liang)個相(xiang)互反(fan)作用(yong)的物(wu)理現(xian)象來(lai)解釋(shi)。這兩(liang)個現(xian)象是(shi):一方(fang)面由(you)于離(li)心力(li)作用(yong)使得(de).上遊(you)速度(du)分布(bu)逐漸(jian)變平(ping),也使(shi)得下(xia)遊射(she)流更(geng)加明(ming)顯地(di)收縮(suo)。另-方(fang)面由(you)于旋(xuan)轉運(yun)動的(de)作用(yong),使得(de)射流(liu)變寬(kuan)。除此(ci)之外(wai)還有(you)旋轉(zhuan)流對(dui)孔闆(pan)上、下(xia)遊橫(heng)向靜(jing)壓力(li)梯度(du)的影(ying)響。因(yin)此,當(dang)β值較(jiao)低時(shi),通過(guo)孔闆(pan)的旋(xuan)轉流(liu)沒有(you)很大(da)的加(jia)速,此(ci)時第(di)一種(zhong)現象(xiang)起主(zhu)要作(zuo)用,導(dao)緻測(ce)量的(de)差壓(ya)值增(zeng)大,而(er)流出(chu)系數(shu)降低(di)。反之(zhi),當β值(zhi)較高(gao)時,射(she)流變(bian)平的(de)影響(xiang)減弱(ruo),而通(tong)過孔(kong)闆的(de)流體(ti)加速(su)旋轉(zhuan)導緻(zhi)射流(liu)進一(yi)步擴(kuo)大,此(ci)時差(cha)壓降(jiang)低。
  這(zhe)些通(tong)常的(de)解釋(shi)并不(bu)總是(shi)可以(yi)得到(dao)驗證(zheng)的。我(wo)們已(yi)經指(zhi)出,上(shang)述結(jie)論中(zhong)的上(shang)遊速(su)度變(bian)平的(de)影響(xiang)及由(you)于幹(gan)擾影(ying)響射(she)流收(shou)縮的(de)變化(hua)等現(xian)象都(dou)不能(neng)用試(shi)驗來(lai)驗證(zheng)。關于(yu)射流(liu)擴展(zhan)引起(qi)的旋(xuan)流影(ying)響結(jie)果見(jian)圖4。從(cong)中明(ming)顯地(di)看出(chu),在射(she)流起(qi)始段(duan)内,位(wei)于管(guan)道中(zhong)心的(de)軸向(xiang)速度(du)随着(zhe)旋流(liu)強度(du)增加(jia)而增(zeng)大。
  根(gen)據空(kong)氣動(dong)力學(xue)的研(yan)究結(jie)果,利(li)用積(ji)分求(qiu)和法(fa)可以(yi)确定(ding)相應(ying)的測(ce)量誤(wu)差。這(zhe)種方(fang)法将(jiang)在下(xia)面計(ji)算孔(kong)闆.上(shang)、下遊(you)差壓(ya)時進(jin)行描(miao)述。由(you)于旋(xuan)流作(zuo)用,不(bu)但要(yao)考慮(lü)流體(ti)沿着(zhe)管道(dao)軸向(xiang)流動(dong)的縱(zong)向加(jia)速度(du),而且(qie)還要(yao)考.慮(lü)上、下(xia)遊管(guan)道橫(heng)截面(mian)上的(de)橫向(xiang)靜壓(ya)力梯(ti)度。鑒(jian)于上(shang)述兩(liang)種現(xian)象,其(qi)差壓(ya)公式(shi)爲:
 
  我(wo)們已(yi)将β值(zhi)爲0.7的(de)孔闆(pan)和兩(liang)個旋(xuan)渦強(qiang)度應(ying)用.到(dao)我們(men)自己(ji)的試(shi)驗結(jie)果中(zhong),所得(de)結果(guo)見表(biao)1。
 
  通過(guo)将使(shi)用該(gai)方法(fa)得到(dao)的結(jie)果與(yu)實際(ji)試驗(yan)結果(guo)相對(dui)比,可(ke)以看(kan)出存(cun)在明(ming)顯的(de)不同(tong)。當然(ran),這主(zhu)要是(shi)由于(yu)計算(suan)軸線(xian)和管(guan)壁之(zhi)間差(cha)壓時(shi)計算(suan)簡化(hua)而造(zao)成的(de)。。Murakami和Kito以(yi)前使(shi)用類(lei)似的(de)方法(fa)得到(dao)的觀(guan)測結(jie)果也(ye)是如(ru)此。
  有(you)關更(geng)加完(wan)整的(de)信息(xi),尤其(qi)對于(yu)橫向(xiang)靜壓(ya)梯度(du)的計(ji)算可(ke)使用(yong)等人(ren)的流(liu)動模(mo)型。
  如(ru)果把(ba)我們(men)所得(de)結果(guo)與以(yi)前引(yin)用過(guo)的試(shi)驗結(jie)果相(xiang)比較(jiao),則可(ke)看出(chu)測出(chu)的流(liu)出系(xi)數的(de)變化(hua)率有(you)很大(da)差别(bie)。結果(guo)表明(ming),這些(xie)差别(bie)主要(yao)由于(yu).上遊(you)旋轉(zhuan)流性(xing)質的(de)不同(tong)而造(zao)成的(de)。
  對于(yu)有關(guan)平均(jun)流量(liang)的最(zui)初解(jie)釋還(hai)應附(fu)加上(shang)非穩(wen)定流(liu)現象(xiang)的附(fu)加說(shuo)明。本(ben)文針(zhen)對測(ce)量結(jie)果表(biao)明,由(you)于旋(xuan)渦流(liu)作用(yong),差壓(ya)的巨(ju)大波(bo)動與(yu)旋流(liu)所引(yin).起的(de)流動(dong)的不(bu)穩定(ding)有關(guan)。
  這些(xie)現象(xiang)與旋(xuan)渦流(liu)量計(ji)使用(yong)中的(de)情況(kuang)類似(si)。當初(chu)始的(de)旋流(liu)強度(du)最強(qiang)和β值(zhi)最低(di)時,這(zhe)個影(ying)響最(zui)大。
四(si)、結論(lun)
  在本(ben)文中(zhong)介紹(shao)了依(yi)據流(liu)動狀(zhuang)态的(de)圖像(xiang)化、二(er)維激(ji)光多(duo)普勒(le)測速(su)(L.D.A)和平(ping)均管(guan)壁壓(ya)力結(jie)果。在(zai)不同(tong)的旋(xuan)流強(qiang)度下(xia),對旋(xuan)渦流(liu)的影(ying)響進(jin)行了(le)分析(xi),尤其(qi)注意(yi)到了(le)孔闆(pan)下遊(you)射流(liu)的擴(kuo)展和(he)回流(liu)區域(yu)長度(du)的明(ming)顯減(jian)少。β值(zhi)越小(xiao)和上(shang)遊旋(xuan)轉流(liu)越強(qiang),這些(xie)現象(xiang)就越(yue)明顯(xian)。
  因此(ci),當旋(xuan)流強(qiang)度較(jiao)低時(shi),接近(jin)孔闆(pan)處的(de)平均(jun)流量(liang)不會(hui)受到(dao)較大(da)的影(ying)響。流(liu)動圖(tu)像化(hua)和管(guan)壁壓(ya)力的(de)測量(liang)充分(fen)揭示(shi)了不(bu)穩定(ding)流的(de)現象(xiang)。
  通過(guo)試驗(yan),已将(jiang)β值和(he)旋流(liu)強度(du)對測(ce)量誤(wu)差的(de)影響(xiang)進行(hang)了驗(yan)證。把(ba)我們(men)所得(de)的結(jie)果與(yu)其他(ta)作者(zhe)獲得(de)的結(jie)果相(xiang)對比(bi)表明(ming),隻知(zhi)道旋(xuan)渦數(shu)量還(hai)不足(zu)以預(yu)測儀(yi)表的(de)測量(liang)誤差(cha)。這一(yi)結論(lun)與ReaderHaris的(de)結論(lun)相吻(wen)合。通(tong)過對(dui)試驗(yan)數據(ju)的分(fen)析表(biao)明,速(su)度場(chang)和差(cha)壓測(ce)量之(zhi)間的(de)關系(xi)式隻(zhi)能通(tong)過數(shu)學模(mo)型來(lai)确定(ding)。

本文(wen)來源(yuan)于網(wang)絡,如(ru)有侵(qin)權聯(lian)系即(ji)删除(chu)!


下篇(pian)文章(zhang): 渦街(jie)流量(liang)計選(xuan)型及(ji)回收(shou)裝置(zhi)中應(ying)用

  
··
·
·
··