久久99热人妻偷产国产 差壓式流量計小流量在線非線性補償方案-江蘇省霸展包装机械有限公司
 
  溫度儀(yi)表系列(lie)
  流量儀(yi)表系列(lie)
  校驗儀(yi)表系列(lie)
  顯示儀(yi)表系列(lie)
  變送器(qi)儀表系(xi)列
  電線(xian)電纜系(xi)列
 
  電磁(ci)流🚶‍♀️久久99热人妻偷产国产💞量計(ji)的工作(zuo)原理
  氧(yang)化锆氧(yang)傳感器(qi)的原理(li)及應用(yong)
  有害氣(qi)體檢測(ce)報警儀(yi)選用原(yuan)則
  我國(guo)計量用(yong)儀器儀(yi)表的發(fa)展和現(xian)狀
  國内(nei)儀器儀(yi)表行業(ye)将發生(sheng)高科....
  西(xi)安交大(da)研制出(chu)超高溫(wen)沖擊壓(ya)....
  采用半(ban)導體精(jing)密溫度(du)傳感......
簡(jian)述幾種(zhong)氣體檢(jian)測傳感(gan)器.....
  利用(yong)傳感器(qi)技術制(zhi)造智能(neng)服裝
  新(xin)型傳感(gan)器監控(kong)魚群數(shu)量
   
 
       
   (拓展(zhan)部):
 傳真(zhen):
 節假日(ri)商務聯(lian)系電話(hua):
 何經理(li):
 劉經理(li):
 郵編:211600
 網(wang)址:/
    http://banyunshe.cc/
 E-mail:[email protected]
     [email protected]
 地址(zhi):江蘇省(sheng)金湖縣(xian)工業園(yuan)區環城(cheng)西
 路269号(hao)
 您現在(zai)的位置(zhi) > 首頁 > 行(hang)業新聞(wen) > 差壓式(shi)流量計(ji)小流量(liang)在線非(fei)線性補(bu)償方案(an)
     

差壓式(shi)流量計(ji)小流量(liang)在線非(fei)線性補(bu)償方案(an)
發布時(shi)間:2025-11-26

摘要(yao):小流量(liang)測量時(shi),差壓式(shi)流量計(ji) 輸出的(de)差壓與(yu)流量之(zhi)間是非(fei)線性關(guan)系,在分(fen)散控制(zhi)🙇‍♀️系♉統(DCS)中(zhong)直接實(shi)施該非(fei)線性關(guan)系較困(kun)難。根據(ju)已知标(biao)準孔闆(pan)的徑比(bi),用NURBS非均(jun)勻有理(li)函數,拟(ni)合在特(te)定應用(yong)條件下(xia)的标準(zhun)孔闆流(liu)量系數(shu)公式;并(bing)用簡單(dan)的乘法(fa)和加法(fa)運算,在(zai)DCS中用🙇‍♀️NURBS函(han)數表示(shi)該非線(xian)性關系(xi)的輸入(ru)和輸出(chu)關系;最(zui)後用非(fei)線🤩性叠(die)代算法(fa)确定在(zai)小流量(liang)條件下(xia)的差壓(ya)和流量(liang)關系,從(cong)而實現(xian)小流量(liang)測量的(de)☁️在線非(fei)線性補(bu)償,提高(gao)了流量(liang)測量的(de)精度。
  差(cha)壓式流(liu)量計是(shi)常用的(de)流量測(ce)量儀表(biao)。 标準孔(kong)闆 的流(liu)量系數(shu)經Reader-Harris/Gallagher修改(gai),于1998年被(bei)采納作(zuo)爲标準(zhun)孔闆流(liu)🤟出系🆚數(shu)的計⭕算(suan)公式。它(ta)對小流(liu)量時差(cha)壓式流(liu)量計的(de)補償提(ti)供了理(li)論基礎(chu),但在分(fen)散控制(zhi)系統(DCS)中(zhong)實現有(you)困🐪難,爲(wei)此🛀🏻,提出(chu)兩種實(shi)施方法(fa):直接用(yong)Reader-Harris/Gallagher公式,但(dan)在DCS上Reader-Harris/Gallagher公(gong)式實施(shi)困難;針(zhen)對特定(ding)🙇‍♀️标準孔(kong)闆,用NURBS函(han)數拟合(he)标準孔(kong)闆流出(chu)系數的(de)🏃‍♂️Reader-Harris/Gallagher計算公(gong)式,并在(zai)DCS中實現(xian)。該方法(fa)既解決(jue)了小流(liu)量在線(xian)補償的(de)實施問(wen)題🏒,也提(ti)♋高了差(cha)壓式流(liu)量⭕計的(de)測量範(fan)圍度和(he)精度。
1NURBS樣(yang)條函數(shu)
1.1B樣條基(ji)函數
  B樣(yang)條基樣(yang)條(basicspline)。1946年由(you)舍恩貝(bei)格(Schoenberg)提出(chu),并在1972年(nian)由德布(bu)爾和考(kao)克斯(deboor-Cox)分(fen)别獨立(li)給出B樣(yang)條計算(suan)的标準(zhun)算法[1-2]。理(li)論上常(chang)采用截(jie)尾幂函(han)數的差(cha)商定義(yi)B樣條曲(qu)線,實際(ji)應用則(ze)常采用(yong)B樣條的(de)遞推🈲定(ding)義。
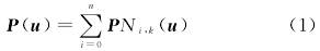
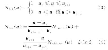
B樣條(tiao)曲線采(cai)用控制(zhi)頂點定(ding)義曲線(xian)[1-2]。曲線方(fang)程可描(miao)述爲📧


  式(shi)中:Pi———控制(zhi)多邊形(xing)的頂點(dian),i=0,1,…,n;Ni,k(u)———k次(k-1次)B樣(yang)條基函(han)數,i=0,1,…,n。
  其中(zhong),每個k次(ci)規範B樣(yang)條基函(han)數稱爲(wei)規範B樣(yang)條,或簡(jian)稱B樣條(tiao)。由🌈于它(ta)由非遞(di)減節點(dian)矢量u的(de)序列T:u0≤u1≤…≤un+k所(suo)決定的(de)k次分段(duan)多項式(shi),因而,稱(cheng)爲k-1次多(duo)項式樣(yang)條。
根據(ju)德布爾(er)-考克斯(si)的遞推(tui)公式,曲(qu)線方程(cheng)可寫爲(wei)

式中:i,k———下(xia)标,i表示(shi)序号,k表(biao)示次數(shu)。
1.2三次非(fei)均勻有(you)理B樣條(tiao)函數
三(san)次非均(jun)勻有理(li)B樣條函(han)數描述(shu)爲

  式中(zhong):wi———權因子(zi),分别與(yu)控制頂(ding)點Pi相聯(lian)系,(i=0,1,…,n);Ni,k(u)———節點(dian)矢量,u=[u0,u1,…,un+k+1]按(an)遞推公(gong)式确定(ding)的k次規(gui)範B樣條(tiao)基函數(shu);P1,P2,P3,P4———分子系(xi)數,爲矢(shi)量;Q0,Q1,Q2,Q3———分母(mu)系數。B樣(yang)條基函(han)數的遞(di)推公式(shi)見式(3)~式(shi)(4)。
  在數控(kong)技術中(zhong),NURBS曲線插(cha)補算法(fa)将定義(yi)NURBS曲線的(de)控制頂(ding)點、權因(yin)💃🏻子🌈、節點(dian)矢量和(he)進給速(su)度等作(zuo)爲NC程序(xu)指令,在(zai)🧑🏽‍🤝‍🧑🏻CNC系統📱生(sheng)成NURBS曲線(xian)💃,驅動機(ji)床運動(dong),加工出(chu)NURBS曲線的(de)形狀,這(zhe)就是NURBS曲(qu)線插補(bu)。在非線(xian)🔆性補償(chang)🏃‍♂️環節中(zhong)應用🌂的(de)NURBS曲線,可(ke)🚶‍♀️根據應(ying)用要求(qiu)選用♍不(bu)同的階(jie)次。
2差壓(ya)式流量(liang)計在非(fei)線性補(bu)償中的(de)應用
2.1差(cha)壓式流(liu)量計的(de)問題
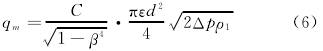
  差(cha)壓式流(liu)量計是(shi)應用久(jiu)遠的流(liu)量計之(zhi)一,其測(ce)量😘原理(li)是 孔闆(pan)流量計(ji) 上遊側(ce)與下遊(you)側之間(jian)産生的(de)靜壓差(cha)與流過(guo)該裝置(zhi)的🔱流體(ti)流量之(zhi)間存在(zai)下列關(guan)系:

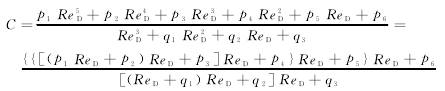
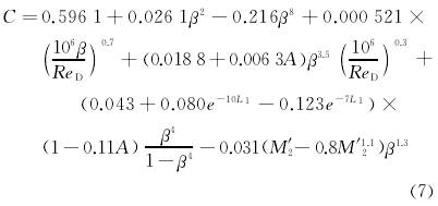
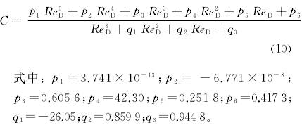
  當滿(man)足0.2≤β≤0.6時,流(liu)出系數(shu)C的不确(que)定度爲(wei)0.5%。其他條(tiao)件下,不(bu)确定度(du)會有所(suo)增加。其(qi)中,C經Reader-Harris/Gallagher修(xiu)改,可表(biao)示爲

當(dang)工藝管(guan)道的管(guan)道内徑(jing)D<71.12mm時,增加(jia)下列項(xiang):

  式中:β———節(jie)流孔直(zhi)徑d與D之(zhi)比,即β=d/D;ReD———根(gen)據D和流(liu)體流量(liang)等數據(ju)計🧡算出(chu)的雷諾(nuo)數;L1———孔闆(pan)上遊端(duan)面到上(shang)遊取壓(ya)口的距(ju)離l1除以(yi)D得☁️出的(de)商。

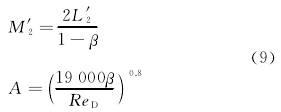
  式中(zhong):L′2———孔闆下(xia)遊端面(mian)到下遊(you)取壓口(kou)的距離(li)L′2除以D得(de)出的商(shang)。對不💋同(tong)取壓方(fang)式,L1和L′2的(de)值不同(tong)
根據Reader-Harris/Gallagher公(gong)式,可畫(hua)出不同(tong)管道直(zhi)徑和不(bu)同取壓(ya)方式下(xia),C與ReD,β之間(jian)的關系(xi)曲面。角(jiao)接取壓(ya),D=150mm時,C與ReD,β的(de)關系如(ru)圖1所示(shi)。
  從圖1可(ke)見,當D确(que)定後,如(ru)果d也确(que)定,則當(dang)流體的(de)ReD大于某(mou)限值👌時(shi),其C可基(ji)本穩定(ding)在某個(ge)規定的(de)值。通常(chang)在0.60~0.61,而測(ce)量不确(que)定‼️度應(ying)滿足小(xiao)于0.5%。
  角接(jie)取壓,D大(da)于72.12mm時,β在(zai)0.4~0.5,C與ReD的關(guan)系見表(biao)1所列。根(gen)據表1中(zhong)數🤞據㊙️的(de)分析,可(ke)以發現(xian),當最大(da)流量與(yu)最小流(liu)量之比(bi)爲10∶1時,即(ji)🔞小流量(liang)時,其C的(de)誤差可(ke)達2%。但如(ru)果最小(xiao)雷諾數(shu)大于2×104,則(ze)C的誤差(cha)就⭐可小(xiao)于0.5%。該條(tiao)件是采(cai)用差壓(ya)式流量(liang)計有最(zui)小雷諾(nuo)數限制(zhi)的原因(yin)。由于受(shou)到流‼️體(ti)流速的(de)限🈲制,最(zui)大流量(liang)不能設(she)置很大(da)。又由于(yu)小🈲流量(liang)時,ReD成比(bi)✔️例縮小(xiao),在C的非(fei)線性影(ying)響下造(zao)成流量(liang)✌️測量的(de)精度下(xia)降。因而(er),該情況(kuang)是差壓(ya)式流量(liang)計的範(fan)圍度不(bu)能較大(da)的原因(yin)。其根本(ben)原因是(shi)在流量(liang)小時,ReD也(ye)小,這時(shi),C與ReD之間(jian)存在較(jiao)大🌈的非(fei)線性關(guan)系,造成(cheng)小流量(liang)時流量(liang)測🔞量誤(wu)差大,和(he)流量測(ce)量範圍(wei)度不能(neng)大的結(jie)果。
  解決(jue)該類非(fei)線性關(guan)系的最(zui)好方法(fa)是進行(hang)非線性(xing)⚽補償🐉[6-7]。對(dui)差壓式(shi)流量計(ji)由于存(cun)在叠代(dai)運算,加(jia)上在DCS中(zhong)進行式(shi)(7)的運算(suan)比較困(kun)難,因此(ci),實際應(ying)用時可(ke)采用兩(liang)種實現(xian)的方法(fa)。


2.2差壓式(shi)流量計(ji)理論補(bu)償方法(fa)
  當實際(ji)差壓流(liu)量計已(yi)安裝在(zai)工藝管(guan)道中時(shi),可采☀️用(yong)理論補(bu)償方法(fa)。該方法(fa)根據Reader-Harris或(huo)Gallagher公式,根(gen)據已知(zhi)的β和取(qu)壓方式(shi),計算出(chu)🐉C與ReD之⭕間(jian)的關系(xi)。根據兩(liang)者關系(xi),有多種(zhong)❌方法實(shi)現補償(chang)🤟,如采用(yong)多段折(she)線近似(si)法進☀️行(hang)補償;采(cai)用拟合(he)函數進(jin)行補償(chang);也可用(yong)🧡其他非(fei)線性環(huan)節實現(xian),例如,神(shen)經網♊絡(luo)等。
  示例(li)是已經(jing)安裝的(de)某節流(liu)裝置,已(yi)知D=100.00mm,β=0.40,角接(jie)取壓方(fang)式。爲提(ti)高拟合(he)精度,取(qu)點較多(duo),其計算(suan)結果見(jian)表2所🈚列(lie)。采👣用NURBS函(han)🔞數進行(hang)拟🏃🏻合,其(qi)NURBS函數表(biao)示爲


  從(cong)表2可見(jian),用式(10)拟(ni)合Reader-Harris或Gallagher計(ji)算公式(shi),具有很(hen)高的精(jing)度🔴,最大(da)誤差小(xiao)于0.013%。因此(ci),可直接(jie)根據ReD确(que)定C。
2.3差壓(ya)式流量(liang)計實際(ji)标定補(bu)償方法(fa)
  在新建(jian)項目中(zhong),可用實(shi)流标定(ding)的方法(fa)确定不(bu)同流量(liang)時ReD與C的(de)關系曲(qu)線,采用(yong)上述拟(ni)合方法(fa)确定其(qi)非線性(xing)關系。最(zui)簡單的(de)方法是(shi)用多段(duan)折線方(fang)法拟合(he),但需設(she)置段數(shu),并用内(nei)插方法(fa)确定其(qi)輸出值(zhi)[8-10]。例如,DCS可(ke)以實現(xian)其他非(fei)線性環(huan)節[11],也可(ke)采用神(shen)經網絡(luo)實現非(fei)線性關(guan)😍系,或用(yong)有關方(fang)法獲得(de)該非線(xian)性關系(xi)🔱的描述(shu),在此不(bu)多述。采(cai)用NURBS函數(shu)拟合在(zai)特定徑(jing)比條件(jian)下的ReD與(yu)💘C之間的(de)非線性(xing)💋關系,并(bing)實際實(shi)施。将NURBS函(han)數🆚表示(shi)爲下列(lie)形式。

  利(li)用可編(bian)程控制(zhi)器編程(cheng)語言中(zhong)的可重(zhong)用性,發(fa)現🈲NURBS函數(shu)🍉的基本(ben)算式是(shi)y=Ax+B。爲此,可(ke)編寫AXB函(han)數實現(xian)。NURBS函數的(de)🐪程序實(shi)現如圖(tu)2所示。

2.4DCS中(zhong)在線非(fei)線性補(bu)償關系(xi)的實現(xian)
  爲在線(xian)實施,先(xian)建立Online功(gong)能塊,用(yong)于實現(xian)非線性(xing)的ReD與C的(de)☁️關系,再(zai)針🔴對實(shi)際應用(yong),編寫主(zhu)程序,它(ta)由QCal,ReCal和NUBRS3個(ge)功能塊(kuai)🚶‍♀️組成。以(yi)C作爲反(fan)饋變量(liang),該程序(xu)爲叠代(dai)程序。QCal功(gong)能塊用(yong)于計算(suan)流體流(liu)量,ReCal功能(neng)塊用于(yu)計算ReD,NUBRS函(han)數用于(yu)計算不(bu)同ReD下的(de)C。
  在線實(shi)現時,将(jiang)Online與用常(chang)規開方(fang)計算的(de)結果進(jin)行比較(jiao),确📧定🔞其(qi)誤差。如(ru)圖3所示(shi)。

  從圖3可(ke)見,當實(shi)際差壓(ya)輸入信(xin)号是205.2Pa時(shi),實際流(liu)量應爲(wei)4.983542kg/s。如果沒(mei)有非線(xian)性補償(chang),顯示值(zhi)是4.9216kg/s,顯示(shi)值偏小(xiao),誤差達(da)1.24%。通過該(gai)方✌️法的(de)補償,使(shi)原流量(liang)計的範(fan)圍度提(ti)🎯高到接(jie)近10∶1。
3結論(lun)
  爲提高(gao)差壓式(shi)流量計(ji)的流量(liang)測量精(jing)度和範(fan)圍度,可(ke)對小流(liu)量進行(hang)在線非(fei)線性補(bu)償。由于(yu)标準孔(kong)闆C的計(ji)算公式(shi)實🌈現比(bi)較複雜(za),在DCS中計(ji)算較困(kun)難,因而(er)采用NURBS函(han)數[9]來拟(ni)☎️合該非(fei)線性關(guan)🔞系,并用(yong)📐它計算(suan)小流量(liang)時的C,通(tong)過該非(fei)線性補(bu)償的🌈方(fang)法,提高(gao)🤟了小流(liu)量⁉️測量(liang)精度,同(tong)時提高(gao)了測量(liang)範圍度(du)。

以上内(nei)容來源(yuan)于網絡(luo),如有侵(qin)權請聯(lian)系即删(shan)除!

 
江蘇省(sheng)霸展包装机械有限公司是一家(jia)專業提(ti)供 渦街(jie)流量計(ji) 渦輪流(liu)量計 電(dian)磁流量(liang)計 的企(qi)業,公司(si)将以優(you)質的服(fu)務優惠(hui)的價格(ge),服務新(xin)老客戶(hu)。

·
·
·
·
·