摘要:傳(chuan)統的渦(wo)街流量(liang)計
對管(guan)徑雷諾(nuo)數Rep<104時的(de)流量不(bu)能測量(liang),且儀表(biao)的耐展(zhan)性差,遇(yu)⭐到安裝(zhuang)地點晨(chen)動或管(guan)道振動(dong)的場合(he),則測量(liang)結果經(jing)常失真(zhen),不⭕能保(bao)證準确(que),并且儀(yi)表的安(an)裝🌈條件(jian)苛刻。文(wen)中介紹(shao)了基于(yu)電磁檢(jian)測🈲法的(de)電礅渦(wo)街流量(liang)計的原(yuan)理、設計(ji)及如何(he)克服上(shang)述♌缺點(dian)的舉🔴措(cuo)。
自從1969年(nian)第一台(tai)渦街流(liu)量計問(wen)世以來(lai),由于可(ke)以測量(liang)氣體、液(ye)體💋和蒸(zheng)汽的流(liu)量,而且(qie)結構簡(jian)單、範圍(wei)度寬、壓(ya)力損失(shi)低、輸出(chu)信号和(he)流量呈(cheng)線性關(guan)系、價格(ge)🔞适中,使(shi)得渦街(jie)流量計(ji)☔的發展(zhan)異常迅(xun)速,市場(chang)占有率(lü)上升到(dao)流量儀(yi)表🚶的10%以(yi)上。渦街(jie)流量計(ji)在工業(ye)應用中(zhong)仍然存(cun)在以下(xia)問題☀️:
(1)抗(kang)幹擾性(xing)差,尤其(qi)對管道(dao)振動敏(min)感,影響(xiang)測量結(jie)果🎯;
(2)渦街(jie)流量計(ji)是速度(du)式儀表(biao),流體在(zai)管道流(liu)動時的(de)分布畸(ji)變會影(ying)響漩渦(wo)的形式(shi),要求在(zai)流量計(ji)的上遊(you)至少安(an)裝10D(D爲管(guan)道直徑(jing)💰)長度的(de)直管段(duan),下遊則(ze)有5D的直(zhi)管段;
(3)測(ce)量時,被(bei)測流體(ti)必須滿(man)足Rep≥2X104才能(neng)産生穩(wen)定的漩(xuan)禍。
1測量(liang)原理
如(ru)圖1所示(shi),電磁渦(wo)街流量(liang)計由二(er)部分組(zu)成:轉換(huan)顯示電(dian)路(上部(bu)🚶♀️)和流量(liang)傳感器(qi)(下部)。流(liu)量傳感(gan)器主要(yao)由漩渦(wo)發✂️生體(ti)、信号‼️電(dian)極、永久(jiu)磁鐵、殼(ke)體組成(cheng)。渦街流(liu)量傳🛀感(gan)器的工(gong)作原理(li)如圖🙇🏻2所(suo)示。
被測(ce)流體流(liu)經漩渦(wo)發生體(ti)時,當流(liu)量增大(da)到一定(ding)程度時(shi),流體會(hui)在漩渦(wo)發生體(ti)兩側産(chan)生交替(ti)變化的(de)兩列漩(xuan)渦。當兩(liang)列漩渦(wo)💘的距離(li)h滿足公(gong)式h=1.3b時,産(chan)生的漩(xuan)渦🚶是穩(wen)定的。單(dan)列漩渦(wo)的頻率(lü)和🌏流體(ti)流速之(zhi)💛間呈下(xia)列關系(xi):
式中,v1爲(wei)漩渦發(fa)生體兩(liang)側平均(jun)流速,m/s;b爲(wei)漩渦發(fa)生體❗迎(ying)流面🔴的(de)最大寬(kuan)度,m;St爲斯(si)特勞哈(ha)爾數,當(dang)雷諾數(shu)ReD≥2X104,漩渦發(fa)生體和(he)管徑尺(chi)寸确⛱️定(ding)後,是一(yi)常數。将(jiang)式(1)整理(li)得
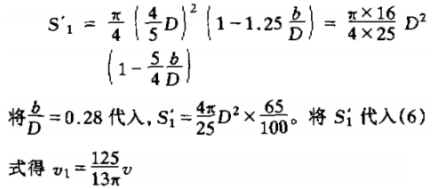
當渦(wo)街流量(liang)計的柱(zhu)寬比b/D=0.28時(shi),經計算(suan)漩渦發(fa)生體兩(liang)🤩側的流(liu)👄通面積(ji)S1爲
由式(shi)(4)知,對于(yu)已确定(ding)口徑的(de)流量計(ji),b、D固定。在(zai)一定的(de)流量範(fan)圍内St是(shi)常數,所(suo)以K爲一(yi)常數;則(ze)單列漩(xuan)渦的頻(pin)率ƒ和流(liu)量qv成🙇♀️正(zheng)比,隻要(yao)🌂檢測出(chu)漩渦的(de)頻率數(shu)就可以(yi)知道被(bei)測流體(ti)的流量(liang)大小。
由(you)圖1可以(yi)看出,在(zai)滿渦發(fa)生體的(de)下遊有(you)--處在磁(ci)場中🧡心(xin)🥰的電極(ji),振動漩(xuan)渦列向(xiang)下遊移(yi)動時作(zuo)用于信(xin)号電極(ji)上‼️,使信(xin)号電極(ji)産生和(he)漩渦頻(pin)率相同(tong)頻率的(de)振動。由(you)電磁🔅感(gan)應定律(lü),信号電(dian)極在磁(ci)場中作(zuo)切割磁(ci)力線👈運(yun)動,信号(hao)電極會(hui)産生感(gan)應電動(dong)勢。
式中(zhong),Ex爲感應(ying)電動勢(shi),V;B爲磁感(gan)應強度(du),T;d爲信号(hao)電極直(zhi)👅徑,m;V2爲信(xin)✂️号電極(ji)切割磁(ci)力線速(su)度,m/s。
流體(ti)流經漩(xuan)渦發生(sheng)體産生(sheng)交替變(bian)化的遊(you)渦,湔渦(wo)作用于(yu)信🐇号電(dian)極.上産(chan)生感應(ying)電勢Er,其(qi)極性也(ye)随漩渦(wo)的交替(ti)變化而(er)變化,Ex變(bian)化頻率(lü)就是漩(xuan)渦的頻(pin)率。因此(ci),隻🐇要測(ce)出信号(hao)電👅極輸(shu)出的感(gan)應電勢(shi)Ex,就可知(zhi)道流體(ti)的☔體積(ji)流量🌏qv。
2傳(chuan)感器的(de)研制
2.1傳(chuan)感器殼(ke)體設計(ji)
(1)采用了(le)漸縮測(ce)量導管(guan)經一角(jiao)度漸縮(suo)爲管道(dao)直徑的(de)4/5,傳🍉感器(qi)本體經(jing)這樣設(she)計後,在(zai)流量不(bu)變的條(tiao)件🆚下,流(liu)過傳感(gan)器的流(liu)速增加(jia),管徑雷(lei)諾數Re增(zeng)加,解決(jue)了拓寬(kuan)測量下(xia)限的矛(mao)盾。從流(liu)體的連(lian)續性方(fang)程可得(de)
式中,S爲(wei)管道内(nei)截面積(ji),m2;v爲流經(jing)管道内(nei)截面的(de)平均流(liu)速,m/s;S1爲流(liu)體流經(jing)有漸縮(suo)測量導(dao)管的漩(xuan)渦發生(sheng)體處的(de)流通🌈截(jie)面積,m2則(ze)
上式說(shuo)明,流經(jing)傳感器(qi)的流體(ti),流速大(da)大增加(jia)了,在🙇🏻被(bei)測量👅流(liu)體的其(qi)它條件(jian)不變的(de)條件下(xia)。管徑雷(lei)諾數數(shu)❄️值有很(hen)大的改(gai)變,經👉過(guo)計算可(ke)将流體(ti)的雷諾(nuo)數下限(xian)從2X104降到(dao)2080,從而大(da)大加寬(kuan)了電磁(ci)渦街流(liu)量計的(de)量程比(bi)。經現場(chang)實驗,電(dian)磁渦街(jie)流量計(ji)的量程(cheng)比爲25:1。
(2)電(dian)磁渦街(jie)流量傳(chuan)感器的(de)漩渦發(fa)生體在(zai)三角柱(zhu)的😍基礎(chu)上🌈做了(le)改進,将(jiang)漩渦發(fa)生體迎(ying)流面、背(bei)流面設(she)計成和(he)梯形柱(zhu)具有相(xiang)同外接(jie)圓的圓(yuan)柱面。漩(xuan)渦發🔴生(sheng)體的💘迎(ying)流面設(she)計成圓(yuan)柱面,從(cong)而具🔆有(you)圓柱型(xing)漩渦發(fa)生體St較(jiao)大的優(you)點,在管(guan)徑和迎(ying)流面寬(kuan)度相同(tong)🔴的條件(jian)下,流⚽過(guo)相同體(ti)積的流(liu)體時,漩(xuan)渦發生(sheng)體可👣以(yi)産生更(geng)多的漩(xuan)禍,使渦(wo)街流量(liang)計可以(yi)測量比(bi)較小的(de)流量,拓(tuo)寬了流(liu)量測🌈量(liang)下限。
渦(wo)街流量(liang)計是速(su)度式流(liu)量計,它(ta)是以測(ce)量流體(ti)流經管(guan)♊道的平(ping)均流速(su)爲測量(liang)依據的(de)儀表。當(dang)流體流(liu)經漩渦(wo)發🙇🏻生體(ti)時,産🐕生(sheng)的🔴漩渦(wo)容易受(shou)到傳感(gan)器上🍓遊(you)側局部(bu)阻力件(jian)的影🌈響(xiang),尤其✌️是(shi)流體流(liu)經管道(dao)産🥵生分(fen)布型💁畸(ji)變時,産(chan)生的謙(qian)渦質量(liang)将受到(dao)破壞,因(yin)🔱此安裝(zhuang)渦街流(liu)量計時(shi),上遊側(ce)至少要(yao)有10D長度(du)的直管(guan)段(一般(ban)爲20D直管(guan)段長度(du)),下遊🙇🏻側(ce)要有5D長(zhang)度的👉直(zhi)管段。電(dian)磁渦街(jie)流量計(ji)本體經(jing)過上述(shu)✊巧妙設(she)計後,可(ke)将上遊(you)側直管(guan)段長🌂度(du)要求縮(suo)短到6D,下(xia)遊側直(zhi)管段長(zhang)度3D。
2.2轉換(huan)電路設(she)計
電磁(ci)渦街流(liu)量計的(de)轉換電(dian)路的任(ren)務是把(ba)流量傳(chuan)感器輸(shu)出⁉️的感(gan)應電動(dong)勢信号(hao)轉換成(cheng)瞬時流(liu)量、累⭐積(ji)流量和(he)标準頻(pin)率❓信号(hao)輸出。電(dian)磁檢測(ce)的渦街(jie)流量計(ji)轉換電(dian)路結構(gou)框🍉圖如(ru)圖3所示(shi)。
轉換電(dian)路工作(zuo)過程是(shi):被測流(liu)體流經(jing)電磁流(liu)量傳感(gan)⭐器🌈,産🧡生(sheng)漩渦,交(jiao)替變化(hua)的漩渦(wo)推動信(xin)号電極(ji)在💁磁場(chang)中切割(ge)磁力線(xian)💁,從而産(chan)生感應(ying)電勢Ex,微(wei)弱的感(gan)應電勢(shi)信号Ex經(jing)前置放(fang)大、交流(liu)放大和(he)低通濾(lü)波,然後(hou)由施密(mi)特獨發(fa)器💰整形(xing)爲标準(zhun)頻率脈(mo)沖,此信(xin)号✍️進入(ru)微處理(li)器CPU,進行(hang)各種運(yun)算,再經(jing)液🏒晶顯(xian)示器顯(xian)示瞬時(shi)流量、累(lei)⛷️積流量(liang)等。爲防(fang)止儀表(biao)掉電,在(zai)電路中(zhong)設計了(le)掉電保(bao)護裝置(zhi)。爲降低(di)功耗,提(ti)高轉換(huan)電路的(de)抗幹擾(rao)功能,轉(zhuan)📱換電路(lu)所有的(de)集成電(dian)路均采(cai)用微功(gong)耗器件(jian)[2],電源采(cai)🧑🏾🤝🧑🏼用電池(chi)供電,使(shi)得儀表(biao)小巧💘美(mei)觀。其主(zhu)要特點(dian)是:
(1)采用(yong)電磁檢(jian)測漩渦(wo)的頻率(lü),避開了(le)檢測漩(xuan)禍升力(li)的方法(fa),耐振動(dong)性好,消(xiao)除了三(san)維方向(xiang)上的振(zhen)動幹擾(rao),現場實(shi)驗也🐕充(chong)分證明(ming)了這一(yi)優點。
(2)電(dian)磁渦街(jie)流量傳(chuan)感器的(de)激磁裝(zhuang)置采用(yong)永久磁(ci)鐵🌈。轉換(huan)電路由(you)于采用(yong)了一系(xi)列的低(di)功耗設(she)計方法(fa),因而可(ke)采用電(dian)池供🔞電(dian),不💃需要(yao)交流電(dian)源,直接(jie)消除了(le)因交流(liu)供電而(er)引入🌈的(de)工頻幹(gan)擾,抗幹(gan)擾能力(li)強。
3應用(yong)
由于電(dian)磁法檢(jian)測漩渦(wo)頻率的(de)電磁渦(wo)街流量(liang)計具有(you)🏃♀️範圍度(du)寬、耗電(dian)少、壽命(ming)長、抗振(zhen)性好、安(an)裝條件(jian)要求寬(kuan)松的優(you)點,因而(er)應用範(fan)圍比較(jiao)廣。現已(yi)經研推(tui)出DN15一DN200系(xi)列,DN40的測(ce)量精度(du)可達0.8%,可(ke)用于測(ce)量大部(bu)分的氣(qi)體、液體(ti)流量,适(shi)用♻️于.複(fu)雜的化(hua)工生産(chan)📧環境,适(shi)用溫度(du)範圍可(ke)達-40℃~250℃,可以(yi)準确測(ce)量雷諾(nuo)數大于(yu)3000的液體(ti)流量。本(ben)流量計(ji)🤩屬于無(wu)空洞設(she)計,具有(you)避免肮(ang)髒介質(zhi)堵塞的(de)優點,适(shi)用于污(wu)水的測(ce)量。在通(tong)訊方面(mian),本💘流量(liang)計采用(yong)了HART通訊(xun)🔴協議,可(ke)進行遠(yuan)程通訊(xun)。
本文來(lai)源于網(wang)絡,如有(you)侵權聯(lian)系即删(shan)除!