|
氣體(ti)超聲流(liu)量計與(yu)孔闆流(liu)量計在(zai)天然氣(qi)計量中(zhong)應用對(dui)比
發布(bu)時間:2025-11-26
|
摘(zhai)要:氣體(ti)超聲流(liu)童計
與(yu)
孔闆流(liu)量計
在(zai)天然氣(qi)工業中(zhong)應用的(de)兩個主(zhu)要方面(mian)流體流(liu)動特☀️性(xing)對儀表(biao)性能的(de)影響和(he)流童計(ji)的幹校(xiao)問題進(jin)行比較(jiao),分析它(ta)們存👄在(zai)的問題(ti)及發展(zhan)前景。還(hai)對其它(ta)儀表性(xing)能進行(hang)了比較(jiao)。
90年代以(yi)來,氣體(ti)超聲流(liu)量計在(zai)天然氣(qi)工業中(zhong)的成功(gong)應用有(you)突破性(xing)的進展(zhan),一些天(tian)然氣流(liu)量計量(liang)的疑難(nan)問題☂️可(ke)望🏃🏻♂️獲得(de)解決。據(ju)稱由于(yu)正确率(lü)高和維(wei)修費用(yong)低,多聲(sheng)🏃🏻道氣體(ti)超聲流(liu)量計已(yi)被氣體(ti)工業界(jie)接受。多(duo)聲道氣(qi)體超聲(sheng)流量計(ji)是氣體(ti)渦輪流(liu)量🎯計後(hou)被氣體(ti)工業界(jie)接受的(de)最重要(yao)的流量(liang)計量器(qi)具。目前(qian)美國氣(qi)體協會(hui)(AGA)已經完(wan)成AGAeReortNo.9“用超(chao)聲流量(liang)計測🌈量(liang)氣體流(liu)⭐量”草案(an)閉。制定(ding)💋有關國(guo)家标準(zhun)與國際(ji)标準的(de)準備工(gong)作正在(zai)進行。至(zhi)今,已有(you)12個♈國家(jia)的政府(fu)🔅機構批(pi)準氣體(ti)超聲流(liu)量計爲(wei)法定計(ji)量器具(ju)國外🤩天(tian)然氣工(gong)業在貿(mao)易輸送(song),氣體分(fen)配、調合(he)、控制和(he)檢漏等(deng)方面都(dou)廣泛采(cai)用它。對(dui)天然氣(qi)工業中(zhong)傳統的(de)🔴計量儀(yi)表孔闆(pan)流量計(ji)與新型(xing)的🏃♂️氣體(ti)超聲流(liu)量計在(zai)儀表性(xing)能的兩(liang)個主要(yao)方面:流(liu)體流🧡動(dong)特性對(dui)儀表性(xing)能的影(ying)響和流(liu)量計的(de)幹校問(wen)題進行(hang)比較,分(fen)析它們(men)存在的(de)問題及(ji)發展前(qian)景。
流體(ti)流動特(te)性對儀(yi)表性能(neng)的影響(xiang)
孔闆流(liu)量計和(he)氣體超(chao)聲流量(liang)計都是(shi)對流體(ti)流動特(te)性💞變化(hua)敏感的(de)儀表,如(ru)何消除(chu)不正常(chang)流動特(te)性對儀(yi)表性能(neng)的影響(xiang)一直是(shi)這二類(lei)儀表的(de)主題之(zhi)♈一。現在(zai)可以看(kan)到兩者(zhe)解決此(ci)問題的(de)方法有(you)很大差(cha)别,在技(ji)術和經(jing)濟兩方(fang)面亦⛱️有(you)不同有(you)效果,分(fen)析它們(men)的特點(dian),對今後(hou)流量🈲計(ji)的發展(zhan)是有現(xian)實意義(yi)的。
l孔闆(pan)流量計(ji)
本世紀(ji)20年代起(qi)人們就(jiu)對流體(ti)流動特(te)性對儀(yi)表性能(neng)的影響(xiang)📐進行過(guo)大量的(de)試驗研(yan)究,爲了(le)準備孔(kong)闆流量(liang)計AGA(美國(guo)氣體協(xie)💜會)報告(gao),從1924年到(dao)1935年美國(guo)進行過(guo)10年試驗(yan)研究,研(yan)究項日(ri)多達14項(xiang),其中大(da)部分是(shi)關于流(liu)體流動(dong)特性的(de)影響試(shi)驗。幾乎(hu)同時歐(ou)💃洲亦進(jin)行🏃🏻同樣(yang)内容的(de)🆚孔闆流(liu)量計試(shi)驗研究(jiu),這些都(dou)爲制定(ding)節流式(shi)差壓流(liu)量計國(guo)際标準(zhun)奠定了(le)基礎。現(xian)❗在ISO5167中關(guan)于節流(liu)裝置上(shang)下遊必(bi)要的最(zui)短直管(guan)段長度(du)的規💛定(ding)就是這(zhe)些試驗(yan)研究的(de)總結,在(zai)各類流(liu)量計中(zhong)它的數(shu)據👈是最(zui)具權威(wei)💚性的。但(dan)是亦應(ying)看到,這(zhe)些規定(ding)不但在(zai)内容上(shang)存在很(hen)❄️大的争(zheng)議,而且(qie)在實際(ji)上也遠(yuan)不能滿(man)足現場(chang)的需🈲要(yao)。ISO5167第一版(ban)(1980年)投票(piao)表決通(tong)🙇♀️過時,孔(kong)闆流量(liang)計資料(liao)主要提(ti)💜供國美(mei)國卻投(tou)了反對(dui)票,其原(yuan)因之一(yi)就是不(bu)同意标(biao)準中關(guan)♊于直管(guan)段長度(du)的規定(ding)。由🏃♀️此引(yin)發80年代(dai)歐洲和(he)美國對(dui)孔闆流(liu)量計進(jin)行10餘年(nian)的大規(gui)模研究(jiu)試驗,至(zhi)🌐今它已(yi)取得巨(ju)大的成(cheng)果,準備(bei)對ISO5167一1(1991年(nian))[,〕進行修(xiu)訂,修訂(ding)🏃♀️的主要(yao)内容之(zhi)一就是(shi)🐪關于直(zhi)管段長(zhang)度❄️的規(gui)定。
孔闆(pan)流量計(ji)爲解決(jue)此問題(ti)進行研(yan)究試驗(yan)有以下(xia)☁️特點:
(l)确(que)定幾種(zhong)典型的(de)阻流件(jian)類型(ISO5167中(zhong)爲7種),進(jin)行各種(zhong)口徑,b值(zhi),雷👣諾數(shu)範圍的(de)試驗,确(que)定在參(can)比工作(zuo)條件下(xia)(充分發(fa)展管流(liu)🚩)所需的(de)最短直(zhi)管段長(zhang)度。
(2)爲縮(suo)短必要(yao)的直管(guan)段長度(du),在上遊(you)側安裝(zhuang)流動調(diao)整器(整(zheng)流器),開(kai)發出幾(ji)種類型(xing)的流動(dong)調整器(qi)(ISO5167中爲5種(zhong))。
(3)流動特(te)性中關(guan)于非定(ding)常流(如(ru)脈動流(liu))提出技(ji)術報告(gao)(ISO5167/TR3313)〔’〕,對脈動(dong)☀️流的抑(yi)制及誤(wu)差估計(ji)提供一(yi)些數據(ju)供使用(yong)參考🌏。
盡(jin)管已經(jing)取得上(shang)述成果(guo),但是要(yao)應付現(xian)場的需(xu)要仍感(gan)很不滿(man)足:
(l)現場(chang)的阻流(liu)件類型(xing)遠多于(yu)标準中(zhong)提供的(de),并且阻(zu)流件之(zhi)間🥰的組(zu)合形式(shi)層出不(bu)窮,因此(ci)現場總(zong)感覺有(you)些問題(ti)有待解(jie)決,例如(ru)🔴天然氣(qi)輸配氣(qi)計量站(zhan)出現較(jiao)普遍的(de)旋風分(fen)離器和(he)彙管在(zai)标🌂準中(zhong)就沒有(you)規定。
(2)試(shi)驗研究(jiu)需花費(fei)巨大的(de)人力物(wu)力,一種(zhong)類型阻(zu)流件需(xu)進行🎯各(ge)種口徑(jing)的試驗(yan),每種口(kou)徑有一(yi)系列的(de)月值,還(hai)有☎️雷諾(nuo)數(流量(liang))範圍變(bian)化的試(shi)驗,可以(yi)想象📐,這(zhe)種排💜列(lie)組合方(fang)式的試(shi)驗工作(zuo)量有🐕多(duo)麽巨大(da),實在是(shi)不勝負(fu)擔的一(yi)項工作(zuo)。
(3)采用流(liu)動調整(zheng)器以縮(suo)短直管(guan)段長度(du)不是一(yi)種好辦(ban)法,它會(hui)💞帶來附(fu)加壓損(sun),流體中(zhong)雜質易(yi)在其中(zhong)堵塞,增(zeng)加現場(chang)使用維(wei)♈護的工(gong)作量。
(4)非(fei)定常流(liu)的特例(li)脈動流(liu)測量雖(sui)然有一(yi)個ISO技術(shu)報告(ISO/TR3313)可(ke)參考,但(dan)實際上(shang)孔闆流(liu)量計是(shi)不适合(he)用于脈(mo)動流測(ce)量🔴的,其(qi)原因🏒是(shi)信号(差(cha)壓)與流(liu)量爲非(fei)線性關(guan)系(平方(fang)關系),引(yin)壓管線(xian)使信号(hao)遲滞及(ji)畸變,節(jie)流件對(dui)脈動波(bo)産生障(zhang)礙形成(cheng)波的反(fan)射等等(deng)。
2氣體超(chao)聲流量(liang)計
新型(xing)的氣體(ti)超聲流(liu)量計采(cai)取多聲(sheng)道配置(zhi)的方案(an)來對👈付(fu)速度分(fen)布畸變(bian)及旋轉(zhuan)流等不(bu)正常流(liu)動特性(xing)的🌈影響(xiang)。例如多(duo)聲道氣(qi)體超聲(sheng)流量計(ji),其工作(zuo)原理如(ru)圖l所示(shi)。流量計(ji)的檢測(ce)件🌐是一(yi)個帶有(you)5個超聲(sheng)通道(聲(sheng)道)的圓(yuan)形短管(guan),這5個聲(sheng)道是這(zhe)樣組成(cheng)的:采用(yong)2個具有(you)二♊次反(fan)射的聲(sheng)🌈道和3個(ge)單反射(she)聲道,它(ta)們組成(cheng)爲一個(ge)超聲通(tong)道網絡(luo),對👈整個(ge)管道橫(heng)截面積(ji)都能進(jin)行分析(xi),在分析(xi)速☀️度分(fen)布畸變(bian)與旋轉(zhuan)流對測(ce)🈲量值影(ying)響的基(ji)礎上制(zhi)定儀表(biao)信号處(chu)理方案(an)。這⚽種解(jie)決不正(zheng)常流動(dong)特性的(de)方法有(you)以下特(te)點:
(l)氣體(ti)超聲流(liu)量計檢(jian)測件是(shi)一段無(wu)阻礙物(wu)的圓管(guan),與孔闆(pan)流量計(ji)中有節(jie)流件阻(zu)礙相比(bi)對流動(dong)特性的(de)影響較(jiao)易分析(xi)。由于檢(jian)測件形(xing)狀的特(te)殊性,而(er)超聲流(liu)量計的(de)檢測件(jian)是一段(duan)圓管,在(zai)流體力(li)學專業(ye)資料中(zhong)可🈲以找(zhao)到許多(duo)參考資(zi)料,因此(ci)二者處(chu)理此☂️問(wen)題所依(yi)靠的背(bei)景資料(liao)有很大(da)差别🧡。
(2)氣(qi)體超聲(sheng)流量計(ji)處理此(ci)問題是(shi)采取分(fen)析對象(xiang),制定檢(jian)💜測策略(lue)的方法(fa),孔闆流(liu)量計則(ze)進行一(yi)個個阻(zu)流件試(shi)驗,無論(lun)技術上(shang)或💁經濟(ji)上其效(xiao)率與效(xiao)果都很(hen)不相同(tong),氣體超(chao)聲流🥵量(liang)計的優(you)點是♍顯(xian)然的。
(3)目(mu)前發展(zhan)多聲道(dao)檢測件(jian)隻能在(zai)較大口(kou)徑(DN150以上(shang))應⛹🏻♀️用,今(jin)後中㊙️小(xiao)口徑如(ru)何解決(jue)相信氣(qi)體超聲(sheng)流量計(ji)是會找(zhao)到解決(jue)辦法的(de)。
流量(liang)計的幹(gan)校一一(yi)儀表系(xi)數的偏(pian)離問題(ti)對于大(da)口徑(DN200以(yi)上😄)流量(liang)測量來(lai)說,流量(liang)計能否(fou)實行幹(gan)校(無需(xu)實流校(xiao)驗)是推(tui)廣應用(yong)的一個(ge)關鍵因(yin)素,某些(xie)情況下(xia)甚至是(shi)用戶采(cai)用與否(fou)的決定(ding)性因素(su)。孔闆流(liu)量計借(jie)助國際(ji)上長期(qi)的試驗(yan)研究及(ji)實🆚踐經(jing)驗的♋總(zong)結,早在(zai)30年代就(jiu)開始實(shi)行儀表(biao)的幹校(xiao),這是它(ta)獲得廣(guang)泛應用(yong)的重要(yao)原因。氣(qi)體超聲(sheng)流量計(ji)若要在(zai)天然氣(qi)工業輸(shu)配氣計(ji)量站得(de)到廣泛(fan)應用,幹(gan)校可能(neng)是一個(ge)必要條(tiao)件,一般(ban)來說輸(shu)配氣計(ji)量站管(guan)線都是(shi)中大☁️口(kou)徑的。
幹(gan)校是儀(yi)表投用(yong)前确定(ding)流量計(ji)儀表系(xi)數(或流(liu)出📧系數(shu))的一種(zhong)方法,但(dan)是更重(zhong)要的是(shi)幹校确(que)定的儀(yi)表系數(shu)在現場(chang)是否适(shi)用以及(ji)能否保(bao)持長期(qi)穩定。
l孔(kong)闆流量(liang)計
孔闆(pan)流量計(ji)幹校後(hou)在現場(chang)使用時(shi)其流出(chu)系數可(ke)能偏✉️離(li)标準值(zhi)的影響(xiang)因素如(ru)表l所示(shi)。
由表可(ke)見:
(l)結構(gou)的偏離(li)有些是(shi)制造時(shi)産生的(de),有些則(ze)是在長(zhang)期使用(yong)中由于(yu)流體介(jie)質腐蝕(shi)、磨損、沽(gu)污等造(zao)成的,後(hou)者是更(geng)難解決(jue)的問題(ti)。
(2)管線布(bu)置的偏(pian)離是普(pu)遍性的(de),現場不(bu)能滿足(zu)直管段(duan)長度要(yao)求配置(zhi)流動調(diao)整器不(bu)是一個(ge)好辦法(fa),前面已(yi)談過,除(chu)此以外(wai)⭐,隻有⭐增(zeng)大測量(liang)誤差了(le)。
(3)使用的(de)偏離,現(xian)場情況(kuang)千變萬(wan)化,很難(nan)維持實(shi)驗室的(de)🌈參比工(gong)⚽作😍條件(jian),這是現(xian)實情況(kuang)。對于天(tian)然氣工(gong)業在原(yuan)料氣測(ce)量領域(yu)(氣井到(dao)處理廠(chang)之間的(de)天然氣(qi)),這一問(wen)題更爲(wei)🌍突出,孔(kong)闆流量(liang)計在此(ci)領域基(ji)本上是(shi)不适用(yong)的。
我國(guo)制定的(de)天然氣(qi)行業标(biao)準SY/T6143一1996《天(tian)然氣流(liu)量的标(biao)準孔☂️闆(pan)計量方(fang)法)中特(te)别增加(jia)一個附(fu)錄(節流(liu)裝置在(zai)使用中(zhong)出現部(bu)分偏離(li)标準規(gui)定的處(chu)理》說明(ming)天然氣(qi)從🤟地層(ceng)中開采(cai)出來,雖(sui)經分離(li),除👄塵和(he)過濾,因(yin)其所含(han)成份十(shi)分複雜(za),從單井(jing)🏃計量,集(ji)氣🐪計量(liang)到配㊙️氣(qi)計量,氣(qi)質組分(fen)各不相(xiang)同,所以(yi)節流裝(zhuang)置在作(zuo)用中其(qi)沖刷、腐(fu)蝕☎️亦各(ge)不相同(tong),特别對(dui)孔闆直(zhi)角人口(kou)邊緣和(he)測量管(guan)内㊙️壁的(de)沖刷腐(fu)蝕尤爲(wei)嚴重,因(yin)此在👨❤️👨實(shi)🔞際應用(yong)中采取(qu)在🈲流出(chu)系數中(zhong)增加二(er)個修正(zheng)系數,即(ji)孔闆人(ren)口尖銳(rui)度修正(zheng)系數和(he)管壁粗(cu)糙度修(xiu)正系數(shu)。這種解(jie)決辦法(fa)實♻️在是(shi)不得已(yi)而爲之(zhi),其效果(guo)并不理(li)想。
孔闆(pan)流量計(ji)易于偏(pian)離标準(zhun)的原因(yin)應該從(cong)儀表本(ben)身的工(gong)作原理(li)與結構(gou)特點去(qu)尋找。由(you)于儀表(biao)特性取(qu)決于節(jie)流裝置(zhi)的🐇幾何(he)形狀及(ji)尺寸,現(xian)場的長(zhang)期應用(yong)難免不(bu)産生磨(mo)損、腐蝕(shi)和積垢(gou)等使幾(ji)何形狀(zhuang)及尺寸(cun)改變的(de)情況,引(yin)壓管線(xian)是孔闆(pan)流量計(ji)易發🐪生(sheng)故障的(de)部件,據(ju)統計由(you)于引壓(ya)管線堵(du)塞、洩漏(lou)、凍結等(deng)使信号(hao)不正常(chang)約占儀(yi)表故障(zhang)率的70%,其(qi)他如不(bu)正常流(liu)動特性(xing)引起的(de)測🏃🏻量誤(wu)差隻🌈能(neng)采取一(yi)些消極(ji)的辦法(fa)解決。
氣(qi)體超聲(sheng)流量計(ji)
氣體超(chao)聲流量(liang)計目前(qian)尚未普(pu)遍實行(hang)幹校,但(dan)從儀☎️表(biao)工作原(yuan)理及結(jie)構上看(kan)實行幹(gan)校是可(ke)能的困(kun),隻是目(mu)前成熟(shu)程度(幹(gan)樣的必(bi)要條件(jian))尚不能(neng)與孔闆(pan)☔流量計(ji)相比,隻(zhi)要加強(qiang)理論探(tan)讨積累(lei)‼️實踐經(jing)驗,實行(hang)幹校隻(zhi)是時間(jian)上的問(wen)題。
以下(xia)我們來(lai)探讨一(yi)下幹校(xiao)後會不(bu)會出現(xian)與孔闆(pan)流量計(ji)一樣的(de)問題,這(zhe)是更爲(wei)重要的(de)方面。
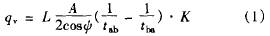
氣(qi)體超聲(sheng)流量計(ji)的流量(liang)方程。
式(shi)中
qv—體積(ji)流量;
L—超(chao)聲波在(zai)流體中(zhong)的傳播(bo)路徑長(zhang)度(聲道(dao)長度);
A—管(guan)道橫截(jie)面面積(ji);
Ψ—超聲波(bo)傳播方(fang)向與流(liu)體流向(xiang)之間的(de)夾角(聲(sheng)道角☁️);
tab—超(chao)聲波從(cong)換能器(qi)a到換能(neng)器b的傳(chuan)播時間(jian);
t、—超聲波(bo)從換能(neng)器b到換(huan)能器a的(de)傳播時(shi)間;
K—儀表(biao)系數。
由(you)式(l)可見(jian),體積流(liu)量的測(ce)量準确(que)度決定(ding)于3部分(fen):時間差(cha),結構參(can)數L,A, Ψ等的(de)測量誤(wu)差和儀(yi)表系數(shu)K的準确(que)☀️度。
(l)與孔(kong)闆流量(liang)計相比(bi)較,氣體(ti)超聲流(liu)量計沒(mei)有如節(jie)流裝置(zhi)⭕幾何形(xing)狀及尺(chi)寸變化(hua)影響儀(yi)表特性(xing)的問題(ti),聲道長(zhang)度,聲💁道(dao)角及管(guan)道橫截(jie)面面積(ji)是比較(jiao)恒定的(de)參數,亦(yi)沒🈲有引(yin)壓🔅管線(xian)之類易(yi)引㊙️起故(gu)障的部(bu)件,根據(ju)現場條(tiao)件确定(ding)儀表系(xi)👣數及維(wei)持長期(qi)穩定是(shi)比較可(ke)能的。
(2)解(jie)決速度(du)分布畸(ji)變與旋(xuan)轉流的(de)方法與(yu)孔闆流(liu)量計不(bu)同,沒有(you)阻流件(jian)對号人(ren)坐的問(wen)題,亦不(bu)采用會(hui)引起副(fu)作用的(de)流動調(diao)整器,它(ta)是從聲(sheng)道設置(zhi)方案人(ren)手,更着(zhe)重于✨軟(ruan)測量方(fang)法解💰決(jue)問題,便(bian)于應付(fu)現場複(fu)雜多🈲變(bian)的條件(jian)。
(3)對非定(ding)常流測(ce)量,氣體(ti)超聲流(liu)量計是(shi)完全适(shi)合的💯,其(qi)原📐因由(you)儀表工(gong)作原理(li)與結構(gou)所決定(ding):①信号與(yu)流量(流(liu)速)爲線(xian)性🐉關系(xi);②檢測🧡件(jian)内無阻(zu)礙物;③非(fei)接觸測(ce)💯量;④測量(liang)采用高(gao)速數字(zi)信号處(chu)🙇♀️理技術(shu)。這些特(te)點使它(ta)可以快(kuai)速響應(ying)流體流(liu)動的動(dong)态變化(hua)。
其他儀(yi)表性能(neng)的比較(jiao)
1範圍度(du)
孔闆流(liu)量計範(fan)圍度窄(zhai)(約爲3:1一(yi)4:1),近年來(lai)雖從多(duo)方面采(cai)取措施(shi)拓寬其(qi)範圍度(du),如采用(yong)寬量程(cheng)差壓變(bian)送器,多(duo)🏃台差壓(ya)變送器(qi)并聯使(shi)用,采用(yong)可換孔(kong)闆節流(liu)裝置以(yi)及智能(neng)🍉流量顯(xian)示儀等(deng)等,但與(yu)氣體超(chao)聲流量(liang)計相比(bi)未免遜(xun)色。氣體(ti)超聲流(liu)量計範(fan)圍度可(ke)達㊙️40:1(DN150)一160:l(DN75O),在(zai)實際使(shi)用中流(liu)量計可(ke)測流量(liang)(流速)下(xia)限值是(shi)一個更(geng)重要💁的(de)指标,我(wo)國大口(kou)徑氣體(ti)管道系(xi)統普遍(bian)運行低(di)流速範(fan)圍(流速(su)上限值(zhi)僅5m/s,或更(geng)低),使得(de)流量計(ji)選型困(kun)難。氣體(ti)超聲流(liu)量計下(xia)限流速(su)偏差如(ru)表2所示(shi)。
如管徑(jing)爲DN125時,測(ce)量誤差(cha)爲1%,則下(xia)限流速(su)可達:Umin=100×5=500mm/s =0.5 m/s;管(guan)徑爲DN1600時(shi),測量誤(wu)差👉爲l%,則(ze)下限流(liu)速可達(da):Umin =l00×0.4=40mm/s=0.04m/s.
據資料(liao)介紹,在(zai)天然氣(qi)輸配氣(qi)計量站(zhan)中,一座(zuo)用孔闆(pan)💔流量計(ji)做爲計(ji)量儀表(biao)的計量(liang)站,爲滿(man)足範圍(wei)度🐇的要(yao)求,需💯設(she)置4條DN400mm管(guan)線,如采(cai)用氣體(ti)超聲流(liu)量計則(ze)隻需設(she)👨❤️👨置2條DN600mm管(guan)線或一(yi)✌️條ND700mm管線(xian),這樣采(cai)📞用氣體(ti)超聲流(liu)量計可(ke)節省一(yi)次性投(tou)資10一🏃40%,節(jie)省占地(di)✍️空間50一(yi)75%,并☁️且精(jing)度更高(gao)🌐,工作更(geng)穩定,維(wei)護量更(geng)少。
2壓力(li)損失
孔(kong)闆流量(liang)計以壓(ya)損大著(zhe)稱,而氣(qi)體超聲(sheng)流量計(ji)恰是無(wu)⚽壓👨❤️👨損(僅(jin)相當于(yu)一段管(guan)道)儀表(biao),對于大(da)口徑,這(zhe)個特點(dian)很重要(yao),它可以(yi)節約能(neng)耗或适(shi)用于低(di)靜壓氣(qi)體管道(dao)系統的(de)測量。
3儀(yi)表造價(jia)
對于孔(kong)闆流量(liang)計随着(zhe)口徑增(zeng)大,檢測(ce)件造價(jia)及安裝(zhuang)成本大(da)幅度提(ti)高,而氣(qi)體超聲(sheng)流量計(ji)的檢測(ce)件制造(zao)成本與(yu)口徑大(da)🚩小的❓關(guan)系僅相(xiang)當于管(guan)道價值(zhi)的增加(jia),因此它(ta)是一種(zhong)特别适(shi)用于大(da)口徑的(de)儀表。
4使(shi)用維護(hu)
孔闆流(liu)量計由(you)3部分組(zu)成:節流(liu)裝置、
差(cha)壓變送(song)器
和流(liu)量顯示(shi)儀。在現(xian)場惡劣(lie)工作條(tiao)件作用(yong)下節流(liu)🏃裝置與(yu)差壓變(bian)送器及(ji)其連接(jie)部分引(yin)壓管線(xian)是使🌈用(yong)維護的(de)重點,天(tian)然氣輸(shu)配氣計(ji)量站爲(wei)經常檢(jian)查孔闆(pan)的🏃🏻♂️質量(liang),常增設(she)旁路管(guan)或采用(yong)價格昂(ang)貴的可(ke)🔆換孔闆(pan)節流裝(zhuang)置,這些(xie)都使儀(yi)表及其(qi)輔助設(she)備造價(jia)增加,也(ye)增加了(le)維護工(gong)作量。氣(qi)體超聲(sheng)流量計(ji)檢測件(jian)比較牢(lao)固,維護(hu)工作量(liang)少,甚至(zhi)可做成(cheng)插🌐人式(shi)探頭,在(zai)不斷流(liu)情況下(xia)取出維(wei)修。
氣體(ti)超聲流(liu)量計與(yu)孔闆流(liu)量計在(zai)天然氣(qi)工業中(zhong)的應用(yong)進行一(yi)些比較(jiao),由上述(shu)可見,在(zai)大口徑(jing)測量🐕方(fang)面,氣體(ti)超聲流(liu)量計無(wu)疑更爲(wei)優越。孔(kong)闆流量(liang)計畢竟(jing)已經發(fa)展數十(shi)年至上(shang)百年曆(li)史,全世(shi)界流量(liang)工作者(zhe)都對它(ta)進行過(guo)巨大的(de)理論與(yu)實踐工(gong)作,取👈得(de)極爲豐(feng)富的經(jing)驗,相比(bi)之下,氣(qi)體超聲(sheng)流量計(ji)僅剛嶄(zhan)露頭角(jiao),尚🏒需通(tong)過實踐(jian)走向成(cheng)熟,至于(yu)中小口(kou)徑方面(mian),需作更(geng)多👉的工(gong)作。
以上(shang)内容源(yuan)于網絡(luo),如有侵(qin)權聯系(xi)即删除(chu)!
|
|
|
|